Abstract
Key message
Picea wilsonii transcription factor PwNAC2 enhanced plant tolerance to salt and drought stress through multiple signaling pathway and interacted with PwRFCP1 to participate in flowering regulation.
Abstract
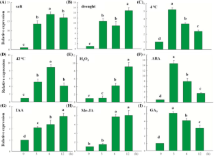
NAC is one of the largest transcription factor families in plants, however, its role is not yet fully understood. Here, we identified a transcription factor PwNAC2 in Picea wilsonii, which localized in nucleus with transcriptional activity in C-terminal region and can form homodimer by itself. Expression analysis by real-time PCR showed that PwNAC2 was induced by multiple abiotic stresses and phytohormones stimuli. PwRFCP1 (Resemble-FCA-contain-PAT1 domain), an interaction protein of PwNAC2 was screened via yeast two hybrid. Luciferase complementation assay confirmed the interaction in vivo and bimolecular fluorescence complementation assay showed the interaction in nucleus. PwNAC2 overexpression retarded Arabidopsis hypocotyls growth which is closely related to light, whereas promotion of hypocotyls growth by PwRFCP1 is independent on light. Under drought or salt treatment, overexpression of PwNAC2 in Arabidopsis showed more vigorous seed germination and significant tolerance for seedlings by ROS scavenging, reducing of membrane damage, slower water loss and increased stomatal closure. ABA or CBF-pathway marker genes were substantially higher in PwNAC2 transgenic Arabidopsis. Overexpression of PwRFCP1 promotes flowering in transgenic Arabidopsis, whereas PwNAC2 delayed flowering by altering the expression of FT, SOC1 and FLC. In addtioin, PwRFCP1 overexpression plants showed no higher tolerance to stress treatment than Col-0. Collectively, our results indicate that PwNAC2 enhanced plant tolerance to abiotic stress through multiple signaling pathways and participated in PwRFCP1-regulated flowering time.











References
Ai X-Y, Zhang J-Z, Liu T-J, Hu C-G (2016) PtFCA from precocious trifoliate orange is regulated by alternative splicing and affects flowering time and root development in transgenic Arabidopsis. Tree Genet Genomes 12:85. https://doi.org/10.1007/s11295-016-1035-6
Apel K, Hirt H (2004) Reactive oxygen species: metabolism, oxidative stress, and signal transduction. Annu Rev Plant Biol 55:373–399. https://doi.org/10.1146/annurev.arplant.55.031903.141701
Cao L et al (2017) The Glycine soja NAC transcription factor GsNAC019 mediates the regulation of plant alkaline tolerance and ABA sensitivity. Plant Mol Biol 95:253–268. https://doi.org/10.1007/s11103-017-0643-3
Chen T, Li W, Hu X, Guo J, Liu A, Zhang B (2015) A cotton MYB transcription factor, GbMYB5, is positively involved in plant adaptive response to drought stress. Plant Cell Physiol 56:917–929. https://doi.org/10.1093/pcp/pcv019
Choi H, Hong J, Ha J, Kang J, Kim SY (2000) ABFs, a family of ABA-responsive element binding factors. J Biol Chem 275:1723–1730
Collinge M, Boller T (2001) Differential induction of two potato genes, Stprx2 and StNAC, in response to infection by Phytophthora infestans and to wounding. Plant Mol Biol 46:521–529
Ernst HA, Olsen AN, Larsen S, Lo Leggio L (2004) Structure of the conserved domain of ANAC, a member of the NAC family of transcription factors. EMBO Rep 5:297–303. https://doi.org/10.1038/sj.embor.7400093
Fang Y, Liao K, Du H, Xu Y, Song H, Li X, Xiong L (2015) A stress-responsive NAC transcription factor SNAC3 confers heat and drought tolerance through modulation of reactive oxygen species in rice. J Exp Bot 66:6803–6817. https://doi.org/10.1093/jxb/erv386
Faria JA, Reis PA, Reis MT, Rosado GL, Pinheiro GL, Mendes GC, Fontes EP (2011) The NAC domain-containing protein, GmNAC6, is a downstream component of the ER stress- and osmotic stress-induced NRP-mediated cell-death signaling pathway. BMC Plant Biol 11:129. https://doi.org/10.1186/1471-2229-11-129
Finkelstein RR, Lynch TJ (2000) The Arabidopsis abscisic acid response gene ABI5 encodes a basic leucine zipper transcription factor. Plant Cell 12:599–609
Fujii H, Zhu JK (2009) Arabidopsis mutant deficient in 3 abscisic acid-activated protein kinases reveals critical roles in growth, reproduction, and stress. Proc Natl Acad Sci USA 106:8380–8385. https://doi.org/10.1073/pnas.0903144106
Gao X, Walworth AE, Mackie C, Song GQ (2016) Overexpression of blueberry flowering locus T is associated with changes in the expression of phytohormone-related genes in blueberry plants. Hortic Res 3:16053. https://doi.org/10.1038/hortres.2016.53
Gilmour SJ, Zarka DG, Stockinger EJ, Salazar MP, Houghton JM, Thomashow MF (1998) Low temperature regulation of the Arabidopsis CBF family of AP2 transcriptional activators as an early step in cold-induced COR gene expression. Plant J 16:433–442
Hao YJ et al (2010) Plant NAC-type transcription factor proteins contain a NARD domain for repression of transcriptional activation. Planta 232:1033–1043. https://doi.org/10.1007/s00425-010-1238-2
Hao YJ et al (2011) Soybean NAC transcription factors promote abiotic stress tolerance and lateral root formation in transgenic plants. Plant J 68:302–313. https://doi.org/10.1111/j.1365-313X.2011.04687.x
He XJ, Mu RL, Cao WH, Zhang ZG, Zhang JS, Chen SY (2005) AtNAC2, a transcription factor downstream of ethylene and auxin signaling pathways, is involved in salt stress response and lateral root development. Plant J 44:903–916. https://doi.org/10.1111/j.1365-313X.2005.02575.x
Hellens RP et al (2005) Transient expression vectors for functional genomics, quantification of promoter activity and RNA silencing in plants. Plant Methods 1:13. https://doi.org/10.1186/1746-4811-1-13
Hong Y, Zhang H, Huang L, Li D, Song F (2016) Overexpression of a stress-responsive NAC transcription factor gene ONAC022 improves drought and salt tolerance in rice. Front Plant Sci 7:4. https://doi.org/10.3389/fpls.2016.00004
Huang C, He W, Guo J, Chang X, Su P, Zhang L (2005) Increased sensitivity to salt stress in an ascorbate-deficient Arabidopsis mutant. J Exp Bot 56:3041–3049. https://doi.org/10.1093/jxb/eri301
Huang Q et al (2015) TaNAC29, a NAC transcription factor from wheat, enhances salt and drought tolerance in transgenic Arabidopsis. BMC Plant Biol 15:268. https://doi.org/10.1186/s12870-015-0644-9
Huang L, Hong Y, Zhang H, Li D, Song F (2016) Rice NAC transcription factor ONAC095 plays opposite roles in drought and cold stress tolerance. BMC Plant Biol 16:203. https://doi.org/10.1186/s12870-016-0897-y
Jang YH et al (2009) Survey of rice proteins interacting with OsFCA and OsFY proteins which are homologous to the Arabidopsis flowering time proteins, FCA and FY. Plant Cell Physiol 50:1479–1492. https://doi.org/10.1093/pcp/pcp093
Jeong JS et al (2010) Root-specific expression of OsNAC10 improves drought tolerance and grain yield in rice under field drought conditions. Plant Physiol 153:185–197. https://doi.org/10.1104/pp.110.154773
Jiang G, Jiang X, Lu P, Liu J, Gao J, Zhang C (2014) The rose (Rosa hybrida) NAC transcription factor 3 gene, RhNAC3, involved in ABA signaling pathway both in rose and Arabidopsis. PLoS ONE 9:e109415. https://doi.org/10.1371/journal.pone.0109415
Jiang SC et al (2015) Crucial roles of the pentatricopeptide repeat protein SOAR1 in Arabidopsis response to drought, salt and cold stresses. Plant Mol Biol 88:369–385. https://doi.org/10.1007/s11103-015-0327-9
Kim SG, Kim SY, Park CM (2007) A membrane-associated NAC transcription factor regulates salt-responsive flowering via flowering Locus T in Arabidopsis. Planta 226:647–654. https://doi.org/10.1007/s00425-007-0513-3
Kishor P, Hong Z, Miao GH, Hu C, Verma D (1995) Overexpression of [delta]-pyrroline-5-carboxylate synthetase increases proline production and confers osmotolerance in transgenic. Plants Plant Physiol 108:1387–1394
Lang V, Palva ET (1992) The expression of a rab-related gene, rab18, is induced by abscisic acid during the cold acclimation process of Arabidopsis thaliana (L.). Heynh Plant Mol Biol 20:951–962
Lee S, Seo PJ, Lee HJ, Park CM (2012) A NAC transcription factor NTL4 promotes reactive oxygen species production during drought-induced leaf senescence in Arabidopsis. Plant J 70:831–844. https://doi.org/10.1111/j.1365-313X.2012.04932.x
Li L, Zhang H, Liu Z, Cui X, Zhang T, Li Y, Zhang L (2016) Comparative transcriptome sequencing and de novo analysis of Vaccinium corymbosum during fruit and color development. BMC Plant Biol 16:223. https://doi.org/10.1186/s12870-016-0866-5
Lin C, Thomashow MF (1992) DNA Sequence analysis of a complementary DNA for cold-regulated arabidopsis gene cor15 and characterization of the COR 15 polypeptide. Plant Physiol 99:519–525
Liu J, Zhu JK (1998) A calcium sensor homolog required for plant salt tolerance. Science 280:1943–1945
Liu L, White AJ, Macrae TH (1999) Transcription factors and their genes in higher plants. Eur J Biochem 262:247–257. https://doi.org/10.1046/j.1432-1327.1999.00349.x
Liu J, Ishitani M, Halfter U, Kim CS, Zhu JK (2000) The Arabidopsis thaliana SOS2 gene encodes a protein kinase that is required for salt tolerance. Proc Natl Acad Sci USA 97:3730–3734. https://doi.org/10.1073/pnas.060034197
Liu F, Quesada V, Crevillen P, Baurle I, Swiezewski S, Dean C (2007) The Arabidopsis RNA-binding protein FCA requires a lysine-specific demethylase 1 homolog to downregulate FLC. Mol Cell 28:398–407. https://doi.org/10.1016/j.molcel.2007.10.018
Liu X et al (2008) Enhanced tolerance to drought stress in transgenic tobacco plants overexpressing VTE1 for increased tocopherol production from Arabidopsis thaliana. Biotechnol Lett 30:1275–1280. https://doi.org/10.1007/s10529-008-9672-y
Liu X, Hong L, Li XY, Yao Y, Hu B, Li L (2011) Improved drought and salt tolerance in transgenic Arabidopsis overexpressing a NAC transcriptional factor from Arachis hypogaea. Biosci Biotechnol Biochem 75:443–450. https://doi.org/10.1271/bbb.100614
Macknight R et al (1997) FCA, a gene controlling flowering time in Arabidopsis, encodes a protein containing RNA-binding domains. Cell 89:737–745
Mao X, Zhang H, Qian X, Li A, Zhao G, Jing R (2012) TaNAC2, a NAC-type wheat transcription factor conferring enhanced multiple abiotic stress tolerances in Arabidopsis. J Exp Bot 63:2933–2946. https://doi.org/10.1093/jxb/err462
Mao X, Chen S, Li A, Zhai C, Jing R (2014) Novel NAC transcription factor TaNAC67 confers enhanced multi-abiotic stress tolerances in Arabidopsis. PLoS ONE 9:e84359. https://doi.org/10.1371/journal.pone.0084359
Marquardt S, Boss PK, Hadfield J, Dean C (2006) Additional targets of the Arabidopsis autonomous pathway members, FCA and FY. J Exp Bot 57:3379–3386. https://doi.org/10.1093/jxb/erl073
Mendes GC, Reis PAB, Calil IP, Carvalho HH, Aragão FJL, Fontes EPB (2013) GmNAC30 and GmNAC81 integrate the endoplasmic reticulum stress- and osmotic stress-induced cell death responses through a vacuolar processing enzyme. Proc Natl Acad Sci USA 110:19627–19632. https://doi.org/10.1073/pnas.1311729110
Nakashima K, Takasaki H, Mizoi J, Shinozaki K, Yamaguchi-Shinozaki K (2012) NAC transcription factors in plant abiotic stress responses. Biochim Biophys Acta 1819:97–103. https://doi.org/10.1016/j.bbagrm.2011.10.005
Park SY et al (2009) Abscisic acid inhibits type 2C protein phosphatases via the PYR/PYL family of START proteins. Science 324:1068–1071. https://doi.org/10.1126/science.1173041
Pimenta MR et al (2016) The stress-induced soybean NAC transcription factor GmNAC81 plays a positive role in developmentally programmed leaf senescence. Plant Cell Physiol 57:1098–1114. https://doi.org/10.1093/pcp/pcw059
Porra R, Thompson W, Kriedemann P (1989) Determination of accurate extinction coefficients and simultaneous equations for assaying chlorophylls a and b extracted with four different solvents verification of the concentration of chlorophyll standards by atomic absorption spectroscopy. BBA Biomembr 975:384–394. https://doi.org/10.1016/S0005-2728(89)80347-0
Qi T et al (2015) Regulation of jasmonate-induced leaf senescence by antagonism between bHLH subgroup IIIe and IIId factors in Arabidopsis. Plant Cell 27:1634–1649. https://doi.org/10.1105/tpc.15.00110
Qiu QS, Guo Y, Dietrich MA, Schumaker KS, Zhu JK (2002) Regulation of SOS1, a plasma membrane Na+/H + exchanger in Arabidopsis thaliana, by SOS2 and SOS3. Proc Natl Acad Sci USA 99:8436–8441. https://doi.org/10.1073/pnas.122224699
Ren T, Qu F, Morris TJ (2000) HRT gene function requires interaction between a NAC protein and viral capsid protein to confer resistance to turnip crinkle virus. Plant Cell 12:1917–1926
Roux ME et al (2015) The mRNA decay factor PAT1 functions in a pathway including MAP kinase 4 and immune receptor SUMM2. EMBO J 34:593–608. https://doi.org/10.15252/embj.201488645
Sakuraba Y, Kim YS, Han SH, Lee BD, Paek NC (2015) The Arabidopsis transcription factor NAC016 promotes drought stress responses by repressing AREB1 transcription through a trifurcate feed-forward regulatory loop involving NAP. Plant Cell 27:1771–1787. https://doi.org/10.1105/tpc.15.00222
Seo PJ, Park CM (2010) A membrane-bound NAC transcription factor as an integrator of biotic and abiotic stress signals. Plant Signal Behav 5:481–483. https://doi.org/10.4161/psb.11083
Shan W, Chen JY, Kuang JF, Lu WJ (2016) Banana fruit NAC transcription factor MaNAC5 cooperates with MaWRKYs to enhance the expression of pathogenesis-related genes against Colletotrichum musae. Mol Plant Pathol 17:330–338. https://doi.org/10.1111/mpp.12281
Shang Y, Yan L, Liu ZQ, Cao Z, Mei C (2010) The Mg-chelatase H subunit of arabidopsis antagonizes a group of WRKY transcription repressors to relieve ABA-responsive genes of inhibition. Plant Cell 22:1909–1935. https://doi.org/10.1105/tpc.110.073874
Simpson GG, Dijkwel PP, Quesada V, Henderson I, Dean C (2003) FY is an RNA 3′ end-processing factor that interacts with FCA to control the Arabidopsis floral transition. Cell 113:777–787
Simpson GG, Laurie RE, Dijkwel PP, Quesada V, Stockwell PA, Dean C, Macknight RC (2010) Noncanonical translation initiation of the Arabidopsis flowering time and alternative polyadenylation regulator FCA. Plant Cell 22:3764–3777. https://doi.org/10.1105/tpc.110.077990
Singh K, Foley RC, Onate-Sanchez L (2002) Transcription factors in plant defense and stress responses. Curr Opin Plant Biol 5:430–436
Souer E, van Houwelingen A, Kloos D, Mol J, Koes R (1996) The no apical meristem gene of Petunia is required for pattern formation in embryos and flowers and is expressed at meristem and primordia boundaries. Cell 85:159–170
Sunarpi et al (2005) Enhanced salt tolerance mediated by AtHKT1 transporter-induced Na unloading from xylem vessels to xylem parenchyma cells. Plant J 44:928–938. https://doi.org/10.1111/j.1365-313X.2005.02595.x
Tak H, Negi S, Ganapathi TR (2017) Banana NAC transcription factor MusaNAC042 is positively associated with drought and salinity tolerance. Protoplasma 254:803–816. https://doi.org/10.1007/s00709-016-0991-x
Takasaki H et al (2010) The abiotic stress-responsive NAC-type transcription factor OsNAC5 regulates stress-inducible genes and stress tolerance in rice. Mol Genet Genomics 284:173–183. https://doi.org/10.1007/s00438-010-0557-0
Tran LS et al (2004) Isolation and functional analysis of Arabidopsis stress-inducible NAC transcription factors that bind to a drought-responsive cis-element in the early responsive to dehydration stress 1 promoter. Plant Cell 16:2481–2498. https://doi.org/10.1105/tpc.104.022699
Tran LS et al (2009) Molecular characterization of stress-inducible GmNAC genes in soybean. Mol Genet Genomics 281:647–664. https://doi.org/10.1007/s00438-009-0436-8
Wang X, Watt PM, Louis EJ, Borts RH, Hickson ID (1996) Pat1: a topoisomerase II-associated protein required for faithful chromosome transmission in Saccharomyces cerevisiae. Nucleic Acids Res 24:4791–4797
Wang L, Li Z, Lu M, Wang Y (2017) ThNAC13, a NAC transcription factor from tamarix hispida, confers salt and osmotic stress tolerance to transgenic tamarix and arabidopsis. Front Plant Sci 8:635. https://doi.org/10.3389/fpls.2017.00635
Wu A et al (2012) JUNGBRUNNEN1, a reactive oxygen species-responsive NAC transcription factor, regulates longevity in Arabidopsis. Plant Cell 24:482–506. https://doi.org/10.1105/tpc.111.090894
Wu H, Fu B, Sun P, Xiao C, Liu JH (2016) A NAC transcription factor represses putrescine biosynthesis and affects drought tolerance. Plant Physiol 172:1532–1547. https://doi.org/10.1104/pp.16.01096
Xia N, Zhang G, Sun YN, Zhu L, Xu LS (2010) TaNAC8, a novel NAC transcription factor gene in wheat, responds to stripe rust pathogen infection and abiotic stresses. Physiol Mol Plant Pathol 74:394–402. https://doi.org/10.1016/j.pmpp.2010.06.005
Xu ZY et al (2013) The Arabidopsis NAC transcription factor ANAC096 cooperates with bZIP-type transcription factors in dehydration and osmotic stress responses. Plant Cell 25:4708–4724. https://doi.org/10.1105/tpc.113.119099
Xu K et al (2015) OsGRAS23, a rice GRAS transcription factor gene, is involved in drought stress response through regulating expression of stress-responsive genes. BMC Plant Biol 15:141. https://doi.org/10.1186/s12870-015-0532-3
Yamaguchi-Shinozaki K, Shinozaki K (1994) A novel cis-acting element in an Arabidopsis gene is involved in responsiveness to drought, low-temperature, or high-salt stress. Plant Cell 6:251–264. https://doi.org/10.1105/tpc.6.2.251
Yang Q et al (2009) Overexpression of SOS (salt overly sensitive) genes increases salt tolerance in transgenic Arabidopsis. Mol Plant 2:22–31. https://doi.org/10.1093/mp/ssn058
Yang SD, Seo PJ, Yoon HK, Park CM (2011) The Arabidopsis NAC transcription factor VNI2 integrates abscisic acid signals into leaf senescence via the COR/RD genes. Plant Cell 23:2155–2168. https://doi.org/10.1105/tpc.111.084913
Yang X et al (2015) Overexpression of a Miscanthus lutarioriparius NAC gene MlNAC5 confers enhanced drought and cold tolerance in Arabidopsis. Plant Cell Rep 34:943–958. https://doi.org/10.1007/s00299-015-1756-2
Yoo SY, Kim Y, Kim SY, Lee JS, Ahn JH (2007) Control of flowering time and cold response by a NAC-domain protein in Arabidopsis. PLoS ONE 2:e642. https://doi.org/10.1371/journal.pone.0000642
Yoon EK, Yang JH, Lim J, Kim SH, Kim SK, Lee WS (2010) Auxin regulation of the microRNA390-dependent transacting small interfering RNA pathway in Arabidopsis lateral root development. Nucleic Acids Res 38:1382–1391. https://doi.org/10.1093/nar/gkp1128
Yu Y et al (2011) PwHAP5, a CCAAT-binding transcription factor, interacts with PwFKBP12 and plays a role in pollen tube growth orientation in Picea wilsonii. J Exp Bot 62:4805–4817. https://doi.org/10.1093/jxb/err120
Yu X et al (2016) CarNAC4, a NAC-type chickpea transcription factor conferring enhanced drought and salt stress tolerances in Arabidopsis. Plant Cell Rep 35:613–627. https://doi.org/10.1007/s00299-015-1907-5
Zhang T, Zhang D, Liu Y, Luo C, Zhou Y, Zhang L (2015) Overexpression of a NF-YB3 transcription factor from Picea wilsonii confers tolerance to salinity and drought stress in transformed Arabidopsis thaliana. Plant Physiol Biochem 94:153–164. https://doi.org/10.1016/j.plaphy.2015.05.001
Zhang T, Li YF, Zhou YN, Zhang LY (2016) Cloning and expression analysis of a homologous expansin gene EXP2 in Picea wilsonii. J For Res 27:247–255
Zhao SZ et al (2014a) ZmSOC1, an MADS-Box transcription factor from Zea mays, promotes flowering in Arabidopsis. Int J Mol Sci 15:19987–20003. https://doi.org/10.3390/ijms151119987
Zhao Y, Sun J, Xu P, Zhang R, Li L (2014b) Intron-mediated alternative splicing of wood-associated NAC transcription factor1b regulates cell wall thickening during fiber development in Populus species. Plant Physiol 164:765–776. https://doi.org/10.1104/pp.113.231134
Zhao X et al (2016) The Miscanthus NAC transcription factor MlNAC9 enhances abiotic stress tolerance in transgenic Arabidopsis. Gene 586:158–169. https://doi.org/10.1016/j.gene.2016.04.028
Zhu JK (2002) Salt and drought stress signal transduction in plants. Annu Rev Plant Biol 53:247–273. https://doi.org/10.1146/annurev.arplant.53.091401.143329
Zhu Y et al (2016) Phosphorylation of a NAC transcription factor by a calcium/calmodulin-dependent protein kinase regulates abscisic acid-induced antioxidant defense in Maize. Plant Physiol 171:1651–1664. https://doi.org/10.1104/pp.16.00168
Acknowledgements
We thank Professor Dapeng Zhang (College of life sciences, Tsinghua University) for providing the PCM1205 and PBI121 vectors.
Funding
This work was supported by the grant from Agricultural Ministry of China (Grant No. 2016ZX08009-003-002).
Author information
Authors and Affiliations
Contributions
Hehua Zhang performed the experiments and wrote the manuscript; Xiaoyue Cui and Yuxiao Guo revised the manuscript; Chaobing Luo cloned PwNAC2 gene; Lingyun Zhang designed the experiment and revised the manuscript.
Corresponding author
Ethics declarations
Conflict of interest
The authors declare that they have no conflicts of interest.
Electronic supplementary material
Below is the link to the electronic supplementary material.
Rights and permissions
About this article
Cite this article
Zhang, H., Cui, X., Guo, Y. et al. Picea wilsonii transcription factor NAC2 enhanced plant tolerance to abiotic stress and participated in RFCP1-regulated flowering time. Plant Mol Biol 98, 471–493 (2018). https://doi.org/10.1007/s11103-018-0792-z
Received:
Accepted:
Published:
Issue Date:
DOI: https://doi.org/10.1007/s11103-018-0792-z