Skip to main content

CpG-PEG Conjugates and their Immune Modulating Effects after Systemic Administration

Abstract

Purpose

Synthetic oligodeoxynucleotides (ODN) containing unmethylated CpG motifs were found to be able to target cells that express Toll-like receptor 9 to modulate innate and adaptive immune reactions. But their in vivo application in immunotherapy against cancer has not been successful. We attempted in this study to examine polyethylene-glycol (PEG) conjugated CpG ODNs and investigated their mechanism of immune modulation in anti-cancer therapy.

Methods

CpG-PEG conjugates with different PEG lengths were synthesized. In vitro activity as well as in vivo pharmacokinetics and pharmacodynamics properties were evaluated.

Results

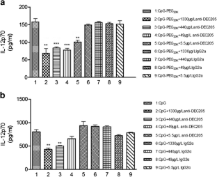
CpG-PEG20Ks were found to be able to persist longer in circulation and activate various downstream effector cells. After intravenous injection, they resulted in higher levels of IL-12p70 in the circulation and lower M-MDSC infiltrates in the tumor microenvironment. Such activities were different from those of CpG ODNs without PEGylation, suggesting different PK-PD profiles systemically and locally.

Conclusions

Our data support the development of CpG-PEGs as a new therapeutic agent that can be systemically administered to modulate immune responses and the microenvironment in tumor tissues.

This is a preview of subscription content, access via your institution.

Fig. 1
Fig. 2
Fig. 3
Fig. 4
Fig. 5
Fig. 6
Fig. 7
Fig. 8

Abbreviations

ODN:

Oligodeoxynucleotides

CpG:

5’-Cytosine-phosphate-Guanine-3’

PEG:

Polyethylene glycol

CpG-PEG:

PEG conjugated CpG ODNs

IL:

Interleukin

M-MDSC:

M type myeloid derived suppressor cells

PK:

Pharmacokinetics

PD:

Pharmacodynamics

OS:

Overall survival

PFS:

Progression free survival

GalNac:

N-Acetylgalactosamine

DOTAP:

1,2-Dioleoyl-3-trimethylammonium-propane

PEI:

Polyethylenimine

TLR9:

Toll-like receptor 9

CpG-SH:

CpG ODNs containing the sulfhydryl group

HPLC:

High performance liquid chromatography

IgG:

Immunoglobulin G

OVA:

Ovalbumin

IFN-γ:

Interferon gamma

ELISA:

Enzyme-linked immunosorbent assay

BMDCs:

Bone-marrow-derived dendritic cells

DEC-205:

A type I C-type lectin receptor that is expressed on various antigen presenting cell subsets

PBS:

Phosphate-buffered saline

q-PCR:

Quantitative- polymerase chain reaction

EPR:

Enhanced permeability and retention

TCEP:

Tris(2-carboxyethyl)phosphine

TEAA:

Triethylamine and acetic acid

References

  1. Shirota H, Klinman DM. Recent progress concerning CpG DNA and its use as a vaccine adjuvant. Expert Rev Vaccines. 2014;13(2):299–312.

    CAS  Article  PubMed  Google Scholar 

  2. Hirsh V, Paz-Ares L, Boyer M, Rosell R, Middleton G, Eberhardt WE, et al. Randomized phase III trial of paclitaxel/carboplatin with or without PF-3512676 (toll-like receptor 9 agonist) as first-line treatment for advanced non–small-cell lung cancer. J Clin Oncol. 2011;29(19):2667–74.

    CAS  Article  PubMed  Google Scholar 

  3. Kawaguchi T, Asakawa H, Tashiro Y, Juni K, Sueishi T. Stability, specific binding activity, and plasma concentration in mice of an oligodeoxynucleotide modified at 50-terminal with poly(ethylene glycol). Biol Pharm Bull. 1995;18:474–6.

    CAS  Article  PubMed  Google Scholar 

  4. Ginzkey C, Eicker SO, Marget M, Krause J, Brecht S, Westphal M, et al. Increase in tumor size following intratumoral injection of immunostimulatory CpG-containing oligonucleotides in a rat glioma model. Cancer Immunol Immunother. 2010;59:541–51.

    CAS  Article  PubMed  Google Scholar 

  5. Kunikata N, Sano K, Honda M, Ishii K, Matsunaga J, Okuyama R, et al. Peritumoral CpG oligodeoxynucleotide treatment inhibits tumor growth and metastasis of B16F10 melanoma cells. J Invest Dermatol. 2004;123:395–402.

    CAS  Article  PubMed  Google Scholar 

  6. Juliano R, Ming X, Nakagawa O. The chemistry and biology of oligonucleotide conjugates. Acc Chem Res. 2012;45(7):1067–76.

    CAS  Article  PubMed  PubMed Central  Google Scholar 

  7. Holasova S, Mojzisek M, Buncek M, Vokurkova D, Radilova H, Safarova M, et al. Cholesterol conjugated oligonucleotide and LNA: a comparison of cellular and nuclear uptake by Hep2 cells enhanced by streptolysin-O. Mol Cell Biochem. 2005;276:61–9.

    CAS  Article  PubMed  Google Scholar 

  8. Chillemi R, Greco V, Nicoletti VG, Sciuto S. Oligonucleotides conjugated to natural lipids: synthesis of phosphatidyl-anchored antisense oligonucleotides. Bioconjug Chem. 2013;24:648–57.

    CAS  Article  PubMed  Google Scholar 

  9. Raouane M, Desmaele D, Urbinati G, Massaad-Massade L, Couvreur P. Lipid conjugated oligonucleotides: a useful strategy for delivery. Bioconjug Chem. 2012;

  10. Kanasty R, Dorkin JR, Vegas A, Anderson D. Delivery materials for siRNA therapeutics. Nat Mater. 2013;12:967–77.

    CAS  Article  PubMed  Google Scholar 

  11. Zhang H, Gao XD. Nanodelivery systems for enhancing the immunostimulatory effect of CpG oligodeoxynucleotides. Mater Sci Eng C Mater Biol Appl. 2017;70:935–46.

    CAS  Article  PubMed  Google Scholar 

  12. Rahman MA, Summerton J, Foster E, Cunningham K, Stirchak E, Weller D. Antibacterial activity and inhibition of protein synthesis in Escherichia Coli by antisense DNA analogs. Antisense Res Dev. 1991;1:319–27.

    CAS  Article  PubMed  Google Scholar 

  13. Kawaguchi T, Asakawa H, Tashiro Y, Juni K, Sueishi T. Stability, specific binding activity, and plasma concentration in mice of an oligodeoxynucleotide modified at 50-terminal with poly(ethylene glycol). Biol Pharm Bull. 1995;18:474–6.

    CAS  Article  PubMed  Google Scholar 

  14. Bonora GM, Ivanova E, Zarytova V, Burcovich B, Veronese FM. Synthesis and characterization of high-molecular mass polyethylene glycol-conjugated oligonucleotides. Bioconjug Chem. 1997;8:793–7.

    CAS  Article  PubMed  Google Scholar 

  15. Jung S, Lee SH, Mok H, Chung HJ, Park TG. Gene silencing efficiency of siRNA-PEG conjugates: effect of PEGylation site and PEGmolecular weight. J Control Release. 2010:306–13.

  16. Kim SH, Ji HJ, Lee SH, Kim SW, Park TG. PEG conjugated VEGF siRNA for anti-angiogenic gene therapy. J Control Release. 2006:123–9.

  17. Murad YM, Clay TM. CpG Oligodeoxynucleotides as TLR9 agonists. BioDrugs. 2009;23:361–75.

    CAS  Article  PubMed  Google Scholar 

  18. P-j Z, Ma B-b, He W, Xu D, Wang X-h. CpG Oligodeoxynucleotide stimulates protective innate immunity against human renal cell carcinoma Xenografted in nude mice. J Immunother. 2011;34:535–41.

    Article  Google Scholar 

  19. Ballas ZK, Krieg AM, Warren T, Rasmussen W, Davis HL, Waldschmidt M, et al. Divergent therapeutic and immunologic effects of Oligodeoxynucleotides with distinct CpG motifs. J Immunol. 2001;167:4878–86.

    CAS  Article  PubMed  Google Scholar 

  20. Xu Z, Ramishetti S, Tseng YC, Guo S, Wang Y, Huang L. Multifunctional nanoparticles co-delivering Trp2 peptide and CpG adjuvant induce potent cytotoxic T-lymphocyte response against melanoma and its lung metastasis. J Control Release: official journal of the Controlled Release Society. 2013;172:259–65.

    CAS  Article  Google Scholar 

  21. Cross JT, Benton HP, et al. The roles of interleukin-6 and interleukin-10 in B cell hyperactivity in systemic lupus erythematosus. Inflamm Res: official journal of the European Histamine Research Society. 1999;48:255–61.

    CAS  Article  Google Scholar 

  22. Uchijima M, Nagata T, Aoshi T, Koide Y. IFN-gamma overcomes low responsiveness of myeloid dendritic cells to CpG DNA. Immunol Cell Biol. 2005;83(1):92–5.

    CAS  Article  PubMed  Google Scholar 

  23. Nierkens S, den Brok MH, Roelofsen T, Wagenaars JA, Figdor CG, Ruers TJ, et al. Route of administration of the TLR9 agonist CpG critically determines the efficacy of cancer immunotherapy in mice. PLoS One. 2009;4(12)

  24. Lou Y, Liu C, Lizee G, Peng W, Xu C, Ye Y, et al. Antitumor activity mediated by CpG: the route of administration is critical. J Immunother. 2011;34(3):279–88.

    CAS  Article  PubMed  Google Scholar 

  25. Kandimalla ER, Bhagat L, Yu D, Cong Y, Tang J, Agrawal S. Conjugation of ligands at the 5′-end of CpG DNA affects immunostimulatory activity. Bioconjug Chem. 2002;13:966–74.

    CAS  Article  PubMed  Google Scholar 

  26. Putta MR, Zhu FG, Wang D, Bhagat L, Dai M, Kandimalla ER, et al. Peptide conjugation at the 5′-end of oligodeoxynucleotides abrogates toll-like receptor 9-mediated immune stimulatory activity. Bioconjug Chem. 2010;21:39–45.

    CAS  Article  PubMed  Google Scholar 

  27. Yi A-K, Krieg AM. CpG DNA rescue from anti-IgM-induced WEHI-231 B lymphoma apoptosis via modulation of IκBα and IκBβ and sustained activation of nuclear factor-κB/c-Rel. J Immunol 1998;160:1240–1245.

  28. Weiner GJ. CpG DNA in cancer immunotherapy. Immunobiology Of Bacterial Cpg-DNA. 2000;247:157–70.

    CAS  Article  Google Scholar 

  29. Ye J, Ortaldo JR, Conlon K, Winkler-Pickett R, Young HA. Cellular and molecular mechanisms of IFN-gamma production induced by IL-2 and IL-12 in a human NK cell line. J Leukoc Biol. 1995;58(2):225–33.

    CAS  Article  PubMed  Google Scholar 

  30. Shirota Y, Shirota H, Klinman DM. Intratumoral injection of CpG oligonucleotides induces the differentiation and reduces the immunosuppressive activity of myeloid-derived suppressor cells. J Immunol. 2012;188:000–0.

  31. Zoglmeier C, Bauer H, Norenberg D, Wedekind G, Bittner P, Sandholzer N, et al. CpG blocks immunosuppression by myeloid-derived suppressor cells in tumor-bearing mice. Clin Cancer Res. 2011;17(7):1765–75.

    CAS  Article  PubMed  Google Scholar 

  32. Shirota H, Klinman DM. Effect of CpG ODN on monocytic myeloid derived suppressor cells. OncoImmunology. 2012;1(5):780–2.

    Article  PubMed  PubMed Central  Google Scholar 

Download references

Author information

Affiliations

Authors

Corresponding author

Correspondence to Yuhong Xu.

Rights and permissions

Reprints and Permissions

About this article

Verify currency and authenticity via CrossMark

Cite this article

Wu, C., Xiang, X., Yue, Y. et al. CpG-PEG Conjugates and their Immune Modulating Effects after Systemic Administration. Pharm Res 35, 80 (2018). https://doi.org/10.1007/s11095-018-2355-z

Download citation

  • Received:

  • Accepted:

  • Published:

  • DOI: https://doi.org/10.1007/s11095-018-2355-z

Key Words

  • CpG-ODN
  • PEG
  • immune modulation
  • systemic administation