Skip to main content

Chitosan Reduced Gold Nanoparticles as Novel Carriers for Transmucosal Delivery of Insulin

Abstract

Purpose

Colloidal metallic systems have been recently investigated in the area of nanomedicine. Gold nanoparticles have found themselves useful for diagnostic and drug delivery applications. Herein we have reported a novel method for synthesis of gold nanoparticles using a natural, biocompatible and biodegradable polymer; chitosan. Use of chitosan serves dual purpose by acting as a reducing agent in the synthesis of gold nanoparticles and also promotes the penetration and uptake of peptide hormone insulin across the mucosa. To demonstrate the use of chitosan reduced gold nanoparticles as carriers for drug delivery, we report herein the transmucosal delivery of insulin loaded gold nanoparticles.

Materials and Methods

Gold nanoparticles were prepared using different concentrations of chitosan (from 0.01% w/v up to 1% w/v). The gold nanoparticles were characterized for surface plasmon band, zeta potential, surface morphology, in vitro diffusion studies and fluorescence spectroscopy. The in vivo studies in diabetic male Wistar rats were carried out using insulin loaded chitosan reduced gold nanoparticles.

Results

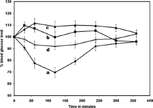
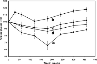
Varying concentrations of chitosan used for the synthesis of gold nanoparticles demonstrated that the nanoparticles obtained at higher chitosan concentrations (>0.1% w/v) were stable showing no signs of aggregation. The nanoparticles also showed long term stability in terms of aggregation for about 6 months. Insulin loading of 53% was obtained and found to be stable after loading. Blood glucose lowering at the end of 2 h following administration of insulin loaded gold nanoparticles to diabetic rats was found to be 30.41 and 20.27% for oral (50 IU/kg) and nasal (10 IU/kg), respectively. Serum gold level studies have demonstrated significant improvement in the uptake of chitosan reduced gold nanoparticles.

Conclusions

The synthesis of gold nanoparticles using a biocompatible polymer, chitosan would improve its surface properties for binding of biomolecules. Our studies indicate that oral and nasal administration of insulin loaded chitosan reduced gold nanoparticles has led to improved pharmacodynamic activity. Thus, chitosan reduced gold nanoparticles loaded with insulin prove to be promising in controlling the postprandial hyperglycemia.

This is a preview of subscription content, access via your institution.

Fig. 1
Fig. 2
Fig. 3
Fig. 4
Fig. 5
Fig. 6
Fig. 7
Fig. 8
Fig. 9
Fig. 10
Fig. 11

Abbreviations

BGL:

blood glucose levels

p.o.:

peroral

i.n.:

intranasal

SPB:

surface plasmon band

References

  1. K. A. Janes, and M. J. Alonso. Depolymerised chitosan nanoparticles for protein delivery: preparation and characterization. J. Appl. Polym. Sci. 88:2769–2776 (2003).

    Article  CAS  Google Scholar 

  2. S. Shukla, A. Priscilla, M. Banerjee, R. R. Bhonde, J. Ghatak, P. V. Satyam, and M. Sastry. Porous gold nanospheres by controlled transmetallation reaction: a novel material for apllication in cell imaging. Chem. Mater. 17:5000–5005 (2005).

    Article  CAS  Google Scholar 

  3. W. C. W. Chan and S. Nie. Quantum dot bioconjugates for ultrasensitive non-isotopic detection. Science 281:2016–2018 (1998).

    PubMed  Article  CAS  Google Scholar 

  4. T. Jung, W. Kamm, A. Breitenbach, E. Kaiserling, J. X. Xiao, and T. Kissel. Biodegradable nanoparticles for oral delivery of peptides: is there a role for polymers to affect mucosal uptake? Eur. J. Pharm. Biopharm. 50:147–160 (2000).

    PubMed  Article  CAS  Google Scholar 

  5. H. Chen and R. Langer. Oral particulate delivery: status and future trends. Adv. Drug Deliv. Rev. 34:339–350 (1998).

    Article  CAS  PubMed  Google Scholar 

  6. T. H. Ermak and P. J. Giannasca. Microparticle targeting to M cells. Adv. Drug Deliv. Rev. 34:261–283 (1998).

    Article  CAS  Google Scholar 

  7. G. A. Hughes. Nanostructure-mediated drug delivery. Nanomedicine: Nanotechnology, Biology, and Medicine 1:22–30 (2005).

    Article  CAS  Google Scholar 

  8. H. Joshi, P. S. Shirude, V. Bansal, K. N. Ganesh, and M. Sastry. Isothermal titration calorimetry studies on the binding amino acid to gold nanoparticles. J. Phys. Chem., B. 108:11535–11540 (2004).

    Article  CAS  Google Scholar 

  9. S. S. Shankar, A. Rai, A. Ahmad, and M. Sastry. Controlling the optical properties of lemongrass extract synthesized gold nanoparticles and potential application in infrared absorbing optical coatings. Chem. Mater. 17:566–572 (2005).

    Article  CAS  Google Scholar 

  10. R. Shukla, V. Bansal, M. Chaudhary, A. Basu, R. Bhonde, and M. Sastry. Biocompatibility of gold nanoparticles and their endocytotic fate inside the cellular compartment: a microscopic overview. Langmuir 21:10644–10654 (2005).

    PubMed  Article  CAS  Google Scholar 

  11. H. M. Joshi, D. R. Bhumkar, K. Joshi, V. Pokharkar, and M. Sastry. Gold nanoparticles as carriers for efficient transmucosal insulin delivery. Langmuir 22:300–305 (2006).

    PubMed  Article  CAS  Google Scholar 

  12. A. P. Alivisatos, X. Peng, T. E. Wilson, C. L. Loweth, M. P. Bruchez Jr, and P. G. Schultz. Organization of nanocrystal molecules using DNA. Nature 382:609–611 (1996).

    PubMed  Article  CAS  Google Scholar 

  13. R. S. Ingram, M. J. Hostetler, and R. W. Murray. Poly-hetero-ω-functionalized alkanethiolate-stabilized gold cluster compounds. J. Am. Chem. Soc. 119:9175–9178 (1997).

    Article  CAS  Google Scholar 

  14. C. M. Niemeyer. Nanoparticles, proteins, and nucleic acids: Biotechnology meets materials science. Angew. Chem., Int. Ed. 40:4128–4158 (2001).

    Article  CAS  Google Scholar 

  15. A. Bielinska, J. D. Eichman, I. Lee, J. R. Baker Jr, and L. Balogh. Imaging {Au°-PAMAM} gold-dendrimer nanocomposites in cells. J. Nanopart. Res. 4:395–403 (2002).

    Article  CAS  Google Scholar 

  16. M. Thomas and M. A. Klibanov. Conjugation to gold nanoparticles enhances polyethylenimine’s transfer of plasmid DNA into mammalian cells. Proc. Natl. Acad. Sci. U.S.A. 100:9138–9143 (2003).

    PubMed  Article  CAS  Google Scholar 

  17. L. Ren and G. M. Chow. Synthesis of nir-sensitive Au-Au2S nanocolloids for drug delivery. Mater. Sci. Eng., C. 23:113–116 (2003).

    Article  Google Scholar 

  18. H. Gu, P. L. Ho, E. Tong, L. Wang and B. Xu. Presenting vancomycin on nanoparticles to enhance antimicrobial activities. Nano Lett. 3:1261–1263 (2003).

    Article  CAS  Google Scholar 

  19. L. R. Hirsch, R. J. Stafford, J. A. Bankson, S. R. Sershen, B. Rivera, R. E. Price, J. D. Hazle, N. J. Halas, and J. L. West. Nanoshell-mediated near-infrared thermal therapy of tumors under magnetic resonance guidance. Proc. Natl. Acad. Sci. U.S.A. 100:13549–13554 (2003).

    PubMed  Article  CAS  Google Scholar 

  20. M. C. Daniel and D. Astruc. Gold nanoparticles: assembly, supramolecular chemistry, quantum-size-related properties, and applications toward biology, catalysis, and nanotechnology. Chem. Rev. 104:293–346 (2004).

    PubMed  Article  CAS  Google Scholar 

  21. M. Brust, M. Walker, D. Bethell, D. J. Schiffrin, and R. Whyman. Synthesis of thiol-derivatised gold nanoparticles in a two-phase liquid–liquid system. J. Chem. Soc., Chem. Commun. 7:801–802 (1994).

    Article  Google Scholar 

  22. A. Silva-Cunha, M. Cheron, J. L. Grossiord, F. Puisieux, and M. Seiller. W/O/W multiple emulsions of insulin containing a protease inhibitor and an absorption enhancer: biological activity after oral administration to normal and diabetic rats. Int. J. Pharm. 169:33–44 (1998).

    Article  CAS  Google Scholar 

  23. G. De Rosa, R. Lommelli, M. L. La Rotonda, A. Miro, and F. Quaglia. Influence of the co-encapsulation of different non-ionic surfactants on the properties of PLGA insulin-loaded microspheres. J. Control. Release 69:283–295 (2000).

    PubMed  Article  CAS  Google Scholar 

  24. E. A. Hosny, H. I. Al-Shora, and M. M. A. Elmazar. Oral delivery of insulin from enteric-coated capsules containing sodium salicylate: effect on relative hypoglycemia of diabetic beagle dogs. Int. J. Pharm. 237:71–76 (2002).

    PubMed  Article  CAS  Google Scholar 

  25. V. Agarwal, I. K. Reddy, and M. A. Khan. Polymethacrylate based microparticulates of insulin for oral delivery: preparation and in vitro dissolution stability in the presence of enzyme inhibitors. Int. J. Pharm. 225:31–39 (2001).

    PubMed  Article  CAS  Google Scholar 

  26. L. Illum. Chitosan and its use as a pharmaceutical excipient. Pharm. Res. 15:1326–1331 (1998).

    PubMed  Article  CAS  Google Scholar 

  27. O. Felt, P. Buri, and R. Gurny. Chitosan: a unique polysaccharide for drug delivery. Drug Dev. Ind. Pharm. 24:979–993 (1998).

    PubMed  CAS  Article  Google Scholar 

  28. Y. Pan, Y. Li, H. Zhao, J. Zheng, H. Xu, G. Wei, J. Hao, and F. Cui. Bioadhesive polysaccharide in protein delivery system: chitosan nanoparticles improve the intestinal absorption of insulin in vivo. Int. J. Pharm. 249:139–147 (2002).

    PubMed  Article  CAS  Google Scholar 

  29. Z. Ma, T. M. Lim, and L. Lim. Pharmacological activity of peroral chitosan-insulin nanoparticles in diabetic rats. Int. J. Pharm. 293:271–280 (2005).

    PubMed  Article  CAS  Google Scholar 

  30. I. M. V. Lubben, J. C. Verhoef, G. Borchard, and H. E. Junginger. Chitosan for mucosal vaccination. Adv. Drug Del. Rev. 52:139–144 (2001).

    Article  Google Scholar 

  31. E. Bjork and P. Edman. Degradable starch microspheres as a nasal delivery system for insulin. Int. J. Pharm. 47:233–238 (1988).

    Article  Google Scholar 

  32. I. M. V. Lubben, J. C. Verhoef, G. Borchard, and H. E. Junginger. Chitosan and its derivatives in mucosal drug and vaccine delivery. Eur. J. Pharm. Sci. 14:201–207 (2001).

    PubMed  Article  Google Scholar 

  33. A. Martin, J. Swarbrick, and A. Cammarata. Physical Pharmacy. Varghese, Mumbai, 1991.

    Google Scholar 

  34. I. Bertholon, G. Ponchel, D. Labarre, P. Couvreur, and C. Vauthier. Bioadhesive properties of poly (alkylcyanoacrylate) nanoparticles coated with polysaccharide. J. Nanosci. Nanotech. 6:3102–3109 (2006).

    Article  CAS  Google Scholar 

  35. D. Cremaschi, S. Dossena, C. Porta, V. Rossi, and M. Pinza. Further analysis of transcytosis of free polypeptides and polypeptide-coated nanobeads in rabbit nasal mucosa. J. Appl. Physiol. 91:211–217 (2001).

    PubMed  CAS  Google Scholar 

  36. R. Narayani. Oral delivery of insulin-making needles needless. Trends Biomater. Artif. Organs 15:12–16 (2001).

    Google Scholar 

  37. J. A. Galloway, C. T. Spradlin, R. L. Nelson, S. M. Wentworth, J. A. Davidson, and J. L. Swarner. Factors influencing the absorption, serum insulin concentration, and blood glucose responses after injections of regular insulin and various insulin mixtures. Diabetes Care 4:366–376 (1981).

    PubMed  Article  CAS  Google Scholar 

  38. F. A. Dorkoosh, J. C. Verhoef, G. Borchard, M. Rafiee-Tehrani, J. H. M. Verheijden, and H. E. Junginger. Intestinal absorption of human insulin in pigs using delivery systems based on superporous hydrogel polymers. Int. J. Pharm. 247:47–55 (2002).

    PubMed  Article  CAS  Google Scholar 

  39. A. M. Lowman, M. Morishita, M. Kajita, T. Nagai, and N. A. Peppas. Oral delivery of insulin using pH-responsive complexation gels. J. Pharm. Sci. 88:933–937 (1999).

    PubMed  Article  CAS  Google Scholar 

  40. D. A. Norris, N. Puri, and P. J. Sinko. The effect of physical barriers and properties on the oral absorption of particulates. Adv. Drug Deliv. Rev. 34:135–154 (1998).

    Article  CAS  PubMed  Google Scholar 

  41. J. Blanchette, N. Kavimandan, and N. A. Peppas. Principles of transmucosal delivery of therapeutic agents. Biomed. Pharmacother. 58:142–151 (2004).

    PubMed  Article  CAS  Google Scholar 

  42. P. Yeh, H. Ellens, and P. L. Smith. Physiological considerations in the design of particulate dosage forms for oral vaccine delivery. Adv. Drug Deliv. Rev. 34:123–133 (1998).

    Article  CAS  PubMed  Google Scholar 

  43. L. Illum. Nasal drug delivery-possibilities, problems and solutions. J. Control. Release 87:187–198 (2003).

    PubMed  Article  CAS  Google Scholar 

  44. L. Illum. Transport of drugs from the nasal cavity to the central nervous system. Eur. J. Pharm. Sci. 11:1–18 (2000).

    PubMed  Article  CAS  Google Scholar 

  45. L. Illum. Nasal drug delivery: new developments and strategies. Drug Discov. Today 7:1184–1189 (2002).

    PubMed  Article  CAS  Google Scholar 

Download references

Acknowledgements

DRB is thankful to the Fair & Lovely Foundation, for providing financial assistance in form of Project Saraswati Scholarship. The authors are thankful to Dr. Madhusudan Rao for providing the facility of zeta sizer.

Author information

Affiliations

Authors

Corresponding author

Correspondence to Varsha B. Pokharkar.

Rights and permissions

Reprints and Permissions

About this article

Cite this article

Bhumkar, D.R., Joshi, H.M., Sastry, M. et al. Chitosan Reduced Gold Nanoparticles as Novel Carriers for Transmucosal Delivery of Insulin. Pharm Res 24, 1415–1426 (2007). https://doi.org/10.1007/s11095-007-9257-9

Download citation

  • Received:

  • Accepted:

  • Published:

  • Issue Date:

  • DOI: https://doi.org/10.1007/s11095-007-9257-9

Key words

  • chitosan
  • gold nanoparticles
  • insulin
  • transmucosal