Skip to main content

Chemical and Thermal Stability of Insulin: Effects of Zinc and Ligand Binding to the Insulin Zinc-Hexamer

Abstract

Purpose

To study the correlation between the thermal and chemical stability of insulin formulations with various insulin hexamer ligands.

Materials and Methods

The thermal stability was investigated using differential scanning calorimetry (DSC) and near-UV circular dichroism (NUV-CD). The formation of chemical degradation products was studied with reversed-phase and size-exclusion chromatography and mass spectrometry.

Results

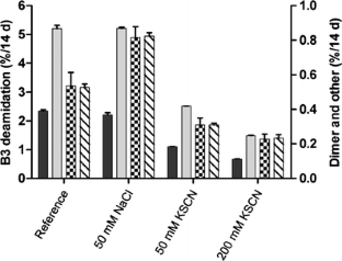
An excellent correlation between the thermal stabilization by ligand binding and the deamidation of AsnB3 was observed. The correlation between thermal stability and the formation of covalent dimer and other insulin related products was less clear. Zinc was found to specifically increase the deamidation and covalent dimer formation rate when the insulin hexamer was not further stabilized by phenolic ligand. Thiocyanate alone had no effect on the thermal stability of the insulin zinc-hexamer but significantly improved the chemical stability at 37°C. At low temperatures thiocyanate induced a conformational change in the insulin hexamer. NUV-CD thermal scans revealed that this effect decreased with temperature; when the thermal denaturation temperature was reached, the effect was eliminated.

Conclusions

Thermal stability can be used to predict the rate of AsnB3 deamidation in human insulin. Chemical degradation processes that do not rely on the structural stability of the protein do not necessarily correlate to the thermal stability.

This is a preview of subscription content, access via your institution.

Fig. 1
Fig. 2
Fig. 3
Fig. 4
Fig. 5
Fig. 6
Fig. 7
Fig. 8

Abbreviations

CD:

circular dichroism

C p :

excess heat capacity

DSC:

differential scanning calorimetry

MALDI-TOF:

matrix-assisted laser desorption ionization mass spectrometry

PABA:

para-aminobenzoic acid

RP-HPLC:

reversed-phase high-performance liquid chromatography

SEC:

size-exclusion chromatography

T m :

transition midpoint

4H3N:

4-hydroxy-3-nitrobenzoic acid

References

  1. J. Brange. Stability of Insulin-Studies on the Physical and Chemical Stability of Insulin in Pharmaceutical Formulation. Kluwer, Boston, 1994.

    Google Scholar 

  2. Q. X. Hua and M. A. Weiss. Mechanism of insulin fibrillation: the structure of insulin under amyloidogenic conditions resembles a protein-folding intermediate. J. Biol. Chem. 279:21449–21460 (2004).

    CAS  PubMed  Google Scholar 

  3. L. Nielsen, R. Khurana, A. Coats, S. Frokjaer, J. Brange, S. Vyas, V. N. Uversky, and A. L. Fink. Effect of environmental factors on the kinetics of insulin fibril formation: elucidation of the molecular mechanism. Biochemistry40:6036–6046 (2001).

    CAS  PubMed  Google Scholar 

  4. J. Brange and L. Langkjaer. Insulin structure and stability. Pharm. Biotechnol. 5:315–350 (1993).

    CAS  PubMed  Google Scholar 

  5. K. Huus, S. Havelund, H. B. Olsen, M. van de Weert, and S. Frokjaer. Thermal dissociation and unfolding of insulin. Biochemistry44:11171–11177 (2005).

    CAS  PubMed  Google Scholar 

  6. K. Huus, S. Havelund, H. B. Olsen, B. W. Sigurskjold, M. van de Weert, and S. Frokjaer. Ligand binding and thermostability of different allosteric states of the insulin zinc-hexamer. Biochemistry45:4014–4024 (2006).

    CAS  PubMed  Google Scholar 

  7. R. L. Remmele and W. R. Gombotz. Differential scanning calorimetry: a practical tool for elucidating stability of liquid biopharmaceuticals. Biopharm13:36–46 (2000).

    CAS  Google Scholar 

  8. R. L. Remmele Jr., N. S. Nightlinger, S. Srinivasan, and W. R. Gombotz. Interleukin-1 receptor (IL-1R) liquid formulation development using differential scanning calorimetry. Pharm. Res. 15:200–208 (1997).

    Google Scholar 

  9. F. K. Bedu-Addo, C. Johnson, S. Jeyarajah, I. Henderson, and S. J. Advant. Use of biophysical characterization in preformulation development of a heavy-chain fragment of botulinum serotype B: evaluation of suitable purification process conditions. Pharm. Res. 21:1353–1361 (2004).

    CAS  PubMed  Google Scholar 

  10. Y. F. Maa and C. C. Hsu. Aggregation of recombinant human growth hormone induced by phenolic compounds. Int. J. Pharm. 140:155–168 (1996).

    CAS  Google Scholar 

  11. Y. Zhang, S. Roy, L. S. Jones, S. Krishnan, B. A. Kerwin, B. S. Chang, M. C. Manning, T. W. Randolph, and J. F. Carpenter. Mechanism for benzyl alcohol-induced aggregation of recombinant human interleukin-1 receptor antagonist in aqueous solution. J. Pharm. Sci. 93:3076–3089 (2004).

    CAS  PubMed  Google Scholar 

  12. S. Gupta and E. Kaisheva. Development of a multidose formulation for a humanized monoclonal antibody using experimental design techniques. AAPS PharmSci. 5:E8-2003 (2003).

    PubMed  Google Scholar 

  13. W. Wang. Instability, stabilization, and formulation of liquid protein pharmaceuticals. Int. J. Pharm. 185:129–188 (1999).

    CAS  PubMed  Google Scholar 

  14. M. Xie. Secondary structure and protein deamidation. J. Pharm. Sci. 88:8–13 (1999).

    CAS  PubMed  Google Scholar 

  15. A. A. Kossiakoff. Tertiary structure is a principal determinant to protein deamidation. Science240:191–194 (1988).

    CAS  PubMed  Google Scholar 

  16. N. E. Robinson and A. B. Robinson. Prediction of protein deamidation rates from primary and three-dimensional structure. Proc. Natl. Acad. Sci. USA98:4367–4372 (2001).

    CAS  PubMed  Google Scholar 

  17. S. J. Wearne and T. E. Creighton. Effect of protein conformation on rate of deamidation: ribonuclease A. Proteins5:8–12 (1989).

    CAS  PubMed  Google Scholar 

  18. D. N. Brems, P. L. Brown, C. Bryant, R. E. Chance, L. K. Green, H. B. Long, A. A. Miller, R. Millican, J. E. Shields, and B. H. Frank. Improved insulin stability through amino acid substitution. Protein Eng. 5:519–525 (1992).

    CAS  PubMed  Google Scholar 

  19. S. Rahuel-Clermont, C. A. French, C. I. Chou, N. C. Kaarsholm, and M. F. Dunn. Mechanisms of stabilization of the insulin hexamer through allosteric ligand interactions. Biochemistry36:5837–5845 (1997).

    CAS  PubMed  Google Scholar 

  20. J. Brange, U. Ribel, J. F. Hansen, G. Dodson, M. T. Hansen, S. Havelund, S. G. Melberg, F. Norris, K. Norris, L. Snel, A. R. Sørensen, and H. O. Voigt. Monomeric insulins obtained by protein engineering and their medical implications. Nature333:679–682 (1988).

    CAS  PubMed  Google Scholar 

  21. M. U. Jars, A. Hvass, and D. Waaben. Insulin aspart (Asp(B28) human insulin) derivatives formed in pharmaceutical solutions. Pharm. Res. 19:621–628 (2002).

    CAS  PubMed  Google Scholar 

  22. V. V. Plotnikov, J. M. Brandts, L. N. Lin, and J. F. Brandts. A new ultrasensitive scanning calorimeter. Anal. Biochem. 250:237–244 (1997).

    CAS  PubMed  Google Scholar 

  23. J. Shneine, M. Voswinkel, M. Federwisch, and A. Wollmer. Enhancing the T → R transition of insulin by helix-promoting sequence modifications at the N-terminal B-chain. Biol. Chem. 381:127–133 (2000).

    CAS  PubMed  Google Scholar 

  24. M. L. Brader, N. C. Kaarsholm, R. W. Lee, and M. F. Dunn. Characterization of the R-state insulin hexamer and its derivatives. The hexamer is stabilized by heterotropic ligand binding interactions. Biochemistry30:6636–6645 (1991).

    CAS  PubMed  Google Scholar 

  25. W. E. Choi, M. L. Brader, V. Aguilar, N. C. Kaarsholm, and M. F. Dunn. The allosteric transition of the insulin hexamer is modulated by homotropic and heterotropic interactions. Biochemistry32:11638–11645 (1993).

    CAS  PubMed  Google Scholar 

  26. N. C. Kaarsholm, H. C. Ko, and M. F. Dunn. Comparison of solution structural flexibility and zinc binding domains for insulin, proinsulin, and miniproinsulin. Biochemistry28:4427–4435 (1989).

    CAS  PubMed  Google Scholar 

  27. E. H. Strickland and D. Mercola. Near-ultraviolet tyrosyl circular dichroism of pig insulin monomers, dimers, and hexamers. Dipole-dipole coupling calculations in the monopole approximation. Biochemistry15:3875–3884 (1976).

    CAS  PubMed  Google Scholar 

  28. A. Ahmad, I. S. Millett, S. Doniach, V. N. Uversky, and A. L. Fink. Partially folded intermediates in insulin fibrillation. Biochemistry42:11404–11416 (2003).

    CAS  PubMed  Google Scholar 

  29. J. Brange, S. Havelund, E. Hommel, E. Sørensen, and C. Kühl. Neutral insulin solutions physically stabilized by addition of Zn2+. Diabet. Med. 3:532–536 (1986).

    CAS  PubMed  Google Scholar 

  30. T. V. Brennan and S. Clarke. Deamidation and isoaspartate formation in model synthetic peptides: the effects of sequence and solution environment. In D. W. Aswad (ed.), Deamidation and Isoaspartate Formation in Peptides and Proteins, CRC Press, Boca Raton, 1995, pp. 65–90.

    Google Scholar 

  31. P. T. Grant, T. L. Coombs, and B. H. Frank. Differences in the nature of the interaction of insulin and proinsulin with zinc. Biochem. J. 126:433–440 (1972).

    CAS  PubMed  PubMed Central  Google Scholar 

  32. J. M. Summerell, A. Osmand, and G. H. Smith. An equilibrium-dialysis study of binding of zinc to insulin. Biochem. J. 95:31 (1965).

    Google Scholar 

  33. S. O. Emdin, G. G. Dodson, J. M. Cutfield, and S. M. Cutfield. Role of zinc in insulin biosynthesis. Some possible zinc-insulin interactions in the pancreatic B-cell. Diabetologia19:174–182 (1980).

    CAS  PubMed  Google Scholar 

  34. J. Goldman and F. H. Carpenter. Zinc binding, circular dichroism, and equilibrium sedimentation studies on insulin (bovine) and several of its derivatives. Biochemistry13:4566–4574 (1974).

    CAS  PubMed  Google Scholar 

  35. J. Brange, O. Hallund, and E. Sørensen. Chemical stability of insulin. 5. Isolation, characterization and identification of insulin transformation products. Acta Pharm. Nord. 4:223–232 (1992).

    CAS  PubMed  Google Scholar 

  36. J. Brange. Chemical stability of insulin. 4. Mechanisms and kinetics of chemical transformations in pharmaceutical formulation. Acta Pharm. Nord. 4:209–222 (1992).

    CAS  PubMed  Google Scholar 

  37. J. Brange and L. Langkjaer. Chemical stability of insulin. 3. Influence of excipients, formulation, and pH. Acta Pharm. Nord. 4:149–158 (1992).

    CAS  PubMed  Google Scholar 

  38. D. L. Bakaysa, J. Radziuk, H. A. Havel, M. L. Brader, S. Li, S. W. Dodd, J. M. Beals, A. H. Pekar, and D. N. Brems. Physicochemical basis for the rapid time-action of LysB28ProB29-insulin: dissociation of a protein-ligand complex. Protein Sci. 5:2521–2531 (1996).

    CAS  PubMed  PubMed Central  Google Scholar 

  39. H. R. Costantino, R. Langer, and A. M. Klibanov. Moisture-induced aggregation of lyophilized insulin. Pharm. Res. 11:21–29 (1994).

    CAS  PubMed  Google Scholar 

  40. A. Shrake and P. D. Ross. Biphasic denaturation of human albumin due to ligand redistribution during unfolding. J. Biol. Chem. 263:15392–15399 (1988).

    CAS  PubMed  Google Scholar 

  41. H. M. Rawel, J. Kroll, and S. Rohn. Reactions of phenolic substances with lysozyme—Physicochemical characterisation and proteolytic digestion of the derivatives. Food Chem. 72:59–71 (2001).

    CAS  Google Scholar 

  42. W. S. Pierpoint. o-Quinones formed in plant extracts. Their reaction with bovine serum albumin. Biochem. J. 112:619–629 (1969).

    CAS  PubMed  PubMed Central  Google Scholar 

  43. F. A. Carey. Phenols. In K. Emry and D. A. Damstra (eds.), Organic chemistry, McGraw-Hill, New York, 1992, pp. 978–1011.

    Google Scholar 

  44. P. S. Brzovic, W. E. Choi, D. Borchardt, N. C. Kaarsholm, and M. F. Dunn. Structural asymmetry and half-site reactivity in the T to R allosteric transition of the insulin hexamer. Biochemistry33:13057–13069 (1994).

    CAS  PubMed  Google Scholar 

  45. D. Ferrari, J. R. Diers, D. F. Bocian, N. C. Kaarsholm, and M. F. Dunn. Raman signatures of ligand binding and allosteric conformation change in hexameric insulin. Biopolymers62:249–260 (2001).

    CAS  PubMed  Google Scholar 

  46. J. L. Whittingham, S. Chaudhuri, E. J. Dodson, P. C. Moody, and G. G. Dodson. X-ray crystallographic studies on hexameric insulins in the presence of helix-stabilizing agents, thiocyanate, methylparaben, and phenol. Biochemistry34:15553–15563 (1995).

    CAS  PubMed  Google Scholar 

  47. E. Ciszak and G. D. Smith. Crystallographic evidence for dual coordination around zinc in the T3R3 human insulin hexamer. Biochemistry33:1512–1517 (1994).

    CAS  PubMed  Google Scholar 

Download references

Acknowledgment

We thank Frantisek Hubálek for assistance with mass spectrometry measurements and valuable discussions of the results.

Author information

Affiliations

Authors

Corresponding author

Correspondence to Kasper Huus.

Rights and permissions

Reprints and Permissions

About this article

Cite this article

Huus, K., Havelund, S., Olsen, H.B. et al. Chemical and Thermal Stability of Insulin: Effects of Zinc and Ligand Binding to the Insulin Zinc-Hexamer. Pharm Res 23, 2611–2620 (2006). https://doi.org/10.1007/s11095-006-9098-y

Download citation

  • Received:

  • Accepted:

  • Published:

  • Issue Date:

  • DOI: https://doi.org/10.1007/s11095-006-9098-y

Key words

  • chemical stability
  • deamidation
  • differential scanning calorimetry
  • dimerization
  • insulin
  • protein stability
  • thermal stability