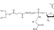
A promising approach to enhancing the bioavailability of hydrophilic therapeutic agents including anti-HIV nucleosides is designing their pseudotriglyceride derivatives that may mimic natural lipids and take advantage of their metabolic pathways resulting in improved delivery to target cells. The synthesis of a series of new 1,3-diglycerides and AZT conjugates employing various linkage types between the pharmacophore residue and the spacer part of the hydrophobic moiety (ester or phosphodiester) is described. The hydrolytic properties of the synthesized liponucleosides (in buffer solutions and under the action of pancreatic lipase) have been studied. Liposomes based on these AZT-containing prodrugs have been obtained.

Similar content being viewed by others
Explore related subjects
Discover the latest articles and news from researchers in related subjects, suggested using machine learning.References
E. Clercq, J. Clin. Virol., 30, 115 – 133 (2004).
R. F. Schinazi, B. I. Hernandez-Santiago, and S. J. Hurwitz, Antiviral Res., 71, 322 – 334 (2006).
E. Clercq, Antiviral Res., 67, 56 – 75 (2005).
W. N. Charman and C. J. H. Porter, Adv. Drug. Delivery Rev., 19, 149 – 169 (1996).
D. M. Lambert, Eur. J. Pharm. Sci., 11(2), S15-S27 (2000).
A. Wong and I. Toth, Curr. Med. Chem., 8(9), 1123 – 1136 (2001).
N. L. Trevaskis, W. N. Charman, and C. J. H. Porter, Adv. Drug. Delivery Res., 60, 702 – 716 (2008).
G. K. E. Scriba, Arch. Pharm. (Weinheim, Ger.), 326, 477 – 481 (1993).
M. Lalanne, A. Paci, K. Andrieux, et al., Bioorg. Med. Chem., 17, 2237 – 2240 (2007).
R. L. Mackman and T. Cihlar, Annu. Rep. Med. Chem., 39, 305 – 321 (2004).
T. Kamijo, H. Harada, and K. Iizuka, Chem. Pharm. Bull., 32, 5044 – 5047 (1984).
F. Bonina, C. Puglia, M. G. Rimoli, et al., Eur. J. Pharm. Sci., 16, 167 – 174 (2002).
A. Yu. Zamyatina, A. S. Bushnev, and V. I. Shvets, Bioorg. Khim., 20(12), 1253 – 1296 (1994).
I. Lindh and J. Stawinski, J. Org. Chem., 54(6), 1338 – 1342 (1989).
O. A. Tuchnaya, O. V. Gorlachuk, V. A. Livshits, et al., Khim.-farm. Zh., 42(1),6–12 (2008).
N. S. Shastina, O. A. Tuchnaya, L. I. Einisman, et al., Bioorg. Khim., 29(3), 296 – 302 (2003).
O. A. Tuchnaya, S. N. Elizarova, S. A. Sharikova, et al., Khim.-farm. Zh., 40(5), 41 – 45 (2006).
G. K. E. Scriba, Arch. Pharm. (Weinheim, Ger.), 327, 347 – 348 (1994).
G. K. E. Scriba, Pharm. Res., 10(8), 1181 – 1186 (1993).
K. Y. Hostetler, L. M. Stuhmiller, H. B. M. Lenting, et al., J. Biol. Chem., 265(11), 6112 – 6117 (1990).
A. S. Dudnichenko, Yu. M. Krasnopol’skii, and V. I. Shvets, Liposomal Drugs in Experiment and the Clinic [in Russian], RA-Karavella, Kharkov (2001).
S. K. Sahoo, F. Dilnawaz, and S. Krishnakumar, Drug Discovery Today, 13(3 – 4), 144 – 151 (2008).
E. Ojewole, I. Mackraj, P. Naidoo, and T. Govender, Eur. J. Pharm. Biopharm., 70, 697 – 710 (2008).
Acknowledgments
The work was supported financially by the Analytical Ministerial Targeted Program “Development of the Scientific Potential of Graduate Schools, 2009 – 2011,” RF Federal Agency for Education (Project No. 2.1.1/2715).
Author information
Authors and Affiliations
Corresponding author
Additional information
Translated from Khimiko-Farmatsevticheskii Zhurnal, Vol. 44, No. 10, pp. 27 – 34, October, 2010.
Rights and permissions
About this article
Cite this article
Lonshakov, D.V., Baranova, E.O., Lyutik, A.I. et al. Synthesis and properties of 3′-azido-3′-deoxythymidine derivatives of glycerolipids. Pharm Chem J 44, 557–563 (2011). https://doi.org/10.1007/s11094-011-0517-y
Received:
Published:
Issue Date:
DOI: https://doi.org/10.1007/s11094-011-0517-y


