Skip to main content

Two Different Sources of Water for the Early Solar Nebula

Abstract

Water is essential for life. This is a trivial fact but has profound implications since the forming of life on the early Earth required water. The sources of water and the related amount of delivery depend not only on the conditions on the early Earth itself but also on the evolutionary history of the solar system. Thus we ask where and when water formed in the solar nebula—the precursor of the solar system. In this paper we explore the chemical mechanics for water formation and its expected abundance. This is achieved by studying the parental cloud core of the solar nebula and its gravitational collapse. We have identified two different sources of water for the region of Earth’s accretion. The first being the sublimation of the icy mantles of dust grains formed in the parental cloud. The second source is located in the inner region of the collapsing cloud core - the so-called hot corino with a temperature of several hundred Kelvin. There, water is produced efficiently in the gas phase by reactions between neutral molecules. Additionally, we analyse the dependence of the production of water on the initial abundance ratio between carbon and oxygen.

This is a preview of subscription content, access via your institution.

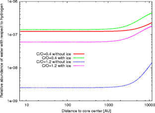
Fig. 1
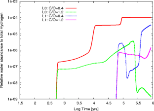
Fig. 2
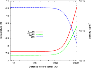
Fig. 3
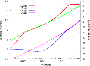
Fig. 4
Fig. 5
Fig. 6

References

  • Aikawa Y, Miyama SM, Nakano T, Umebayashi T (1996) Evolution of Molecular Abundance in Gaseous Disks around Young Stars: Depletion of CO Molecules. Astrophys J 467:684–697

    Article  CAS  Google Scholar 

  • Aikawa Y, Wakelam V, Garrod RT, Herbst E (2008) Molecular Evolution and Star Formation: From Prestellar Cores to Protostellar Cores. Astrophys J 674:984–996

    Article  CAS  Google Scholar 

  • Amelin Y, Krot AN, Hutcheon ID, Ulyanov AA (2002) Lead Isotopic Ages of Chondrules and Calcium-Aluminum-Rich Inclusions. Science 297:1678–1683

    PubMed  Article  CAS  Google Scholar 

  • André P, Motte F, Bacmann A (1999) Discovery of an Extremely Young Accreting Protostar in Taurus. Astrophys J Lett 513:L57–L60

    Article  Google Scholar 

  • Armitage PJ (2007) Lecture notes on the formation and early evolution of planetary systems. arXiv:astro-ph/0701485

  • Asplund M (2005) New Light on Stellar Abundance Analyses: Departures from LTE and Homogeneity. Annu Rev Astron Astrophys 43:481–530

    Article  CAS  Google Scholar 

  • Boland W, de Jong T (1984) Hydrostatic models of molecular clouds. II—Steady state models of spherical clouds. Astron Astrophys 134:87–98

    CAS  Google Scholar 

  • Bottke WF, Levison HF, Nesvorný D, Dones L (2007) Can planetesimals left over from terrestrial planet formation produce the lunar Late Heavy Bombardment? Icarus 190:203–223

    Article  Google Scholar 

  • Bottke WF, Walker RJ, Day JMD, Nesvorny D, Elkins-Tanton L (2010) Stochastic Late Accretion to Earth, the Moon, and Mars. Science 330:1527–1530

    PubMed  Article  CAS  Google Scholar 

  • Burkert A, Alves J (2009) The Inevitable Future of the Starless Core Barnard 68. Astrophys J 695:1308–1314

    Article  Google Scholar 

  • Ceccarelli C (2004) The Hot Corinos of Solar Type Protostars. In: D Johnstone, F C Adams, D N C Lin, D A Neufeeld, & E C Ostriker (ed) Star Formation in the Interstellar Medium: In Honor of David Hollenbach, Astron Soc Pac Conf Ser 323:195–+

  • Chakrabarti SK, Chakrabarti S (2010) Evolution of Pre-biotic molecules during star formation. In: R Ruffini & G Vereshchagin (ed) Am Inst Phys Conf Ser 1205:51–58

  • Crapsi A, Caselli P, Walmsley MC, Tafalla M (2007) Observing the gas temperature drop in the high-density nucleus of L 1544. Astron Astrophys 470:221–230

    Article  CAS  Google Scholar 

  • Currie T, Lisse CM, Sicilia-Aguilar A, Rieke GH, Su KYL (2011) Spitzer Infrared Spectrograph Spectroscopy of the 10 Myr Old EF Cha Debris Disk: Evidence for Phyllosilicate-rich Dust in the Terrestrial Zone. Astrophys J 734:115

    Article  Google Scholar 

  • Cyr KE, Sharp CM, Lunine JI (1999) Effects of the redistribution of water in the solar nebula on nebular chemistry. J Geophys Res 1041:19003–19014

    Article  Google Scholar 

  • D’Alessio P, Canto J, Calvet N, Lizano S (1998) Accretion disks around young objects. I. The detailed vertical structure. Astrophys J 500:411–427

    Article  Google Scholar 

  • Davis SS (2003) A simplified model for an evolving protoplanetary nebula. Astrophys J 592:1193–1200

    Article  Google Scholar 

  • Drake MJ, Stimpfl M (2007) Water Matters. Lunar Planet Inst Sci Conf Abstr 38:1179

    Google Scholar 

  • Dubrulle B (1995) The dust subdisk in the protoplanetary nebula. Icarus 114:237–246

    Article  Google Scholar 

  • Elkins-Tanton LT (2008) Linked magma ocean solidification and atmospheric growth for Earth and Mars. Earth Planet Sci Lett 271:181–191

    Article  CAS  Google Scholar 

  • Evans NJ II, Rawlings JMC, Shirley YL, Mundy LG (2001) Tracing the Mass during Low-Mass Star Formation. II. Modeling the Submillimeter Emission from Preprotostellar Cores. Astrophys J 557:193–208

    Article  Google Scholar 

  • Galli D, Walmsley M, Gonçalves J (2002) The structure and stability of molecular cloud cores in external radiation fields. Astron Astrophys 394:275–284

    Article  CAS  Google Scholar 

  • Goldsmith PF (2001) Molecular Depletion and Thermal Balance in Dark Cloud Cores. Astrophys J 557:736–746

    Article  CAS  Google Scholar 

  • Gomes R, Levison HF, Tsiganis K, Morbidelli A (2005) Origin of the cataclysmic Late Heavy Bombardment period of the terrestrial planets. Nature 435:466–469

    PubMed  Article  CAS  Google Scholar 

  • Hartogh P, Lis DC, Bockelée-Morvan D, de Val-Borro M, Biver N, Küppers M, Emprechtinger M, Bergin EA, Crovisier J, Rengel M, Moreno R, Szutowicz S, Blake GA (2011) Ocean-like water in the Jupiter-family comet 103P/Hartley 2. Nature 478:218–220

    PubMed  Article  CAS  Google Scholar 

  • Hassel GE, Herbst E, Garrod RT (2008) Modeling the Lukewarm Corino Phase: Is L1527 unique? Astrophys J 681:1385–1395

    Article  CAS  Google Scholar 

  • Katz N, Furman I, Biham O, Pirronello V, Vidali G (1999) Molecular Hydrogen Formation on Astrophysically Relevant Surfaces. Astrophys J 522:305–312

    Article  CAS  Google Scholar 

  • Kristensen LE, Visser R, van Dishoeck EF, Yıldız UA, Doty SD, Herczeg GJ, Liu FC, Parise B, Jørgensen JK, van Kempen TA, Brinch C, Wampfler SF, Bruderer S, Benz AO, Hogerheijde MR, Deul E, Bachiller R, Baudry A, Benedettini M, Bergin EA, Bjerkeli P, Blake GA, Bontemps S, Braine J, Caselli P, Cernicharo J, Codella C, Daniel F, de Graauw T, di Giorgio AM, Dominik C, Encrenaz P, Fich M, Fuente A, Giannini T, Goicoechea JR, Helmich F, Herpin F, Jacq T, Johnstone D, Kaufman MJ, Larsson B, Lis D, Liseau R, Marseille M, McCoey C, Melnick G, Neufeld D, Nisini B, Olberg M, Pearson JC, Plume R, Risacher C, Santiago-Garcìa J, Saraceno P, Shipman R, Tafalla M, Tielens AGGM, van der Tak F, Wyrowski F, Beintema D, de Jonge A, Dieleman P, Ossenkopf V, Roelfsema P, Stutzki J, Whyborn N (2010) Water in low-mass star forming regions with Herschel. HIFI spectroscopy of NGC 1333. Astron Astrophys 521:L30

    Article  Google Scholar 

  • Kristensen LE, van Dishoeck EF, Tafalla M, Bachiller R, Nisini B, Liseau R, Yıldız UA (2011) Water in low-mass star-forming regions with Herschel (WISH-LM). High-velocity HO bullets in L1448-MM observed with HIFI. Astron Astrophys 531:L1

    Article  Google Scholar 

  • Kuan YJ, Charnley SB, Huang HC, Kisiel Z, Ehrenfreund P, Tseng WL, Yan CH (2004) Searches for interstellar molecules of potential prebiotic importance. Adv Space Res 33:31–39

    Article  CAS  Google Scholar 

  • Landau LD, Lifshitz EM (1987) Course of theoretical physics / by L. D. Landau and E. M. Lifshitz, Vol. 6

  • Levison HF, Morbidelli A, Tsiganis K, Nesvorný D, Gomes R (2011) Late Orbital Instabilities in the Outer Planets Induced by Interaction with a Self-gravitating Planetesimal Disk. Astron J 142:152

    Article  Google Scholar 

  • Maeda S, Ohno K (2006) Generation Mechanisms of Amino Acids in Interstellar Space via Reactions between Closed-Shell Species: Significance of Higher Energy Isomers in Molecular Evolution. Astrophys J 640:823–828

    Article  CAS  Google Scholar 

  • Montmerle T, Augereau J, Chaussidon M, Gounelle M, Marty B, Morbidelli A (2006) From Suns to Life: A Chronological Approach to the History of Life on Earth 3. Solar System Formation and Early Evolution: the First 100 Million Years. Earth Moon Planets 98:39–95

    Article  Google Scholar 

  • Mumma MJ, Charnley SB (2011) The Chemical Composition of Comets—Emerging Taxonomies and Natal Heritage. Annu Rev Astron Astrophys 49:471–524

    Article  CAS  Google Scholar 

  • Muralidharan K, Deymier P, Stimpfl M, de Leeuw NH, Drake MJ (2008) Origin of water in the inner Solar System: A kinetic Monte Carlo study of water adsorption on forsterite. Icarus 198:400–407

    Article  Google Scholar 

  • Murray N (2011) Star Formation Efficiencies and Lifetimes of Giant Molecular Clouds in the Milky Way. Astrophys J 729:133

    Article  Google Scholar 

  • Natta A (2000) Course 6: Star Formation. In: F Casoli, J Lequeux, & F David (ed) Infrared Space Astronomy, Today and Tomorrow:193–+

  • Nejad LAM, Wagenblast R (1999) Time dependent chemical models of spherical dark clouds. Astron Astrophys 350:204–229

    CAS  Google Scholar 

  • Roberts H, Herbst E (2002) The abundance of gaseous H2O and O2 in cores of dense interstellar clouds. Astron Astrophys 395:233–242

    Article  CAS  Google Scholar 

  • Ryan EL, Woodward CE (2010) Rectified Asteroid Albedos and Diameters from IRAS and MSX Photometry Catalogs. Astron J 140:933–943

    Article  Google Scholar 

  • Saigo K, Tomisaka K, Matsumoto T (2008) Evolution of First Cores and Formation of Stellar Cores in Rotating Molecular Cloud Cores. Astrophys J 674:997–1014

    Article  CAS  Google Scholar 

  • Schönke J, Tscharnuter WM (2011) Protostellar collapse of rotating cloud cores. Covering the complete first accretion period of the stellar core. Astron Astrophys 526:A139

    Article  Google Scholar 

  • Shibuya T, Komiya T, Nakamura K, Takai K, Maruyama S (2010) Highly alkaline; high-temperature hydrothermal fluids in the early Archean ocean. Precambrian Res 182:230–238

    Article  CAS  Google Scholar 

  • Smith IWM, Herbst E, Chang Q (2004) Rapid neutral-neutral reactions at low temperatures: a new network and first results for TMC-1. Mon Not R Astron Soc 350:323–330

    Article  CAS  Google Scholar 

  • Stahler SW, Korycansky DG, Brothers MJ, Touma J (1994) The early evolution of protostellar disks. Astrophys J 431:341–358

    Article  Google Scholar 

  • Stamatellos D, Whitworth AP, Ward-Thompson D (2007) The dust temperatures of the pre-stellar cores in the ρ Oph main cloud and in other star-forming regions: consequences for the core mass function. Mon Not R Astron Soc 379:1390–1400

    Article  CAS  Google Scholar 

  • Sterzik MF, Durisen RH, Zinnecker H (2003) How do binary separations depend on cloud initial conditions? Astron Astrophys 411:91–97

    Article  CAS  Google Scholar 

  • Stimpfl, Lauretta S, Drake J (2004) Adsorption as a Mechanism to Deliver Water to the Earth. In: Proceedings of the 67th Annual Meeting of the Meteoritical Society, Meteoritics & Planet Sci Suppl Abstr no. 5218

  • Stutz A, Launhardt R, Linz H, Krause O, Henning T, Kainulainen J, Nielbock M, Steinacker J, André P (2010) Dust-temperature of an isolated star-forming cloud: Herschel observations of the Bok globule CB244. Astron Astrophys 518:L87

    Article  Google Scholar 

  • Takeuchi T, Lin DNC (2002) Radial flow of dust particles in accretion disks. Astrophys J 581:1344–1355

    Article  Google Scholar 

  • Thaddeus P (2006) The prebiotic molecules observed in the interstellar gas. Philos Trans R Soc Lond B Biol Sci 361:1681–1687

    PubMed  Article  CAS  Google Scholar 

  • Tornow C, Kührt E, Kupper S, Motschmann U (2010) Interaction between gas and ice phase in the three periods of the solar nebula. In: J A Fernández, D Lazzaro, D Prialnik, & R Schulz (ed) IAU Symp 263: 50–54

  • van Dishoeck EF (2006) Chemistry in low-mass protostellar and protoplanetary regions. Proc Nat Acad Sci 1031:12249–12256

    Article  Google Scholar 

  • Visser R, van Dishoeck EF, Doty SD, Dullemond CP (2009) The chemical history of molecules in circumstellar disks. I. Ices. Astron Astrophys 495:881–897

    Article  CAS  Google Scholar 

  • Visser R, Doty SD, van Dishoeck EF (2011) The chemical history of molecules in circumstellar disks. II. Gas-phase species. Astron Astrophys 534:A132

    Article  Google Scholar 

  • Wakelam V, Herbst E, Selsis F (2006) The effect of uncertainties on chemical models of dark clouds. Astron Astrophys 451:551–562

    Article  CAS  Google Scholar 

  • Walsh KJ, Morbidelli A, Raymond SN, O’Brien DP, Mandell AM (2011) A low mass for Mars from Jupiter’s early gas-driven migration. Nature 475:206–209

    PubMed  Article  CAS  Google Scholar 

  • Wilde SA, Valley JW, Peck WH, Graham CM (2001) Evidence from detrital zircons for the existence of continental crust and oceans on the Earth 4.4Gyr ago. Nature 409:175–178

    PubMed  Article  CAS  Google Scholar 

  • Willbold M, Elliott T, Moorbath S (2011) The tungsten isotopic composition of the Earth’s mantle before the terminal bombardment. Nature 477:195–198

    PubMed  Article  CAS  Google Scholar 

  • Wirström ES, Bergman P, Hjalmarson Å, Nummelin A (2007) A search for pre-biotic molecules in hot cores. Astron Astrophys 473:177–180

    Article  Google Scholar 

  • Wolfire MG, McKee CF, Hollenbach D, Tielens AGGM (2003) Neutral Atomic Phases of the Interstellar Medium in the Galaxy. Astrophys J 587:278–311

    Article  CAS  Google Scholar 

  • Wood BJ, Halliday AN (2010) The lead isotopic age of the Earth can be explained by core formation alone. Nature 465:767–770

    PubMed  Article  CAS  Google Scholar 

  • Zubko V, Dwek E, Arendt RG (2004) Interstellar Dust Models Consistent with Extinction, Emission, and Abundance Constraints. Astrophys J Suppl 152:211–249

    Article  CAS  Google Scholar 

  • Zucconi A, Walmsley CM, Galli D (2001) The dust temperature distribution in prestellar cores. Astron Astrophys 376:650–662

    Article  Google Scholar 

Download references

Acknowledgements

This work was supported by the Helmholtz Alliance as part of the project ‘Planetary Evolution and Life’.

Author information

Affiliations

Authors

Corresponding author

Correspondence to Stefan Kupper.

Rights and permissions

Reprints and Permissions

About this article

Cite this article

Kupper, S., Tornow, C. & Gast, P. Two Different Sources of Water for the Early Solar Nebula. Orig Life Evol Biosph 42, 81–92 (2012). https://doi.org/10.1007/s11084-012-9280-7

Download citation

  • Received:

  • Accepted:

  • Published:

  • Issue Date:

  • DOI: https://doi.org/10.1007/s11084-012-9280-7

Keywords

  • Water
  • Astrochemistry
  • Prebiotic molecules
  • Solar nebula
  • Hot corino