Abstract
After Hurricanes Katrina and Rita in 2005, the State of Louisiana received federal Community Development Block Grant Disaster Recovery (CDBG-DR) assistance, administered by the Louisiana Office of Community Development (OCD) as the Road Home Program, to provide homeowners with the required matching funds for elevating damaged homes under the Federal Emergency Management Agency (FEMA) Hazard Mitigation Grant Program (HMGP). This research evaluates the cost-effectiveness of the Road Home Program elevation mitigation assistance for a case study of homes in Jefferson Parish, Louisiana, using benefit–cost analysis (BCA) based on average annual loss (AAL) prediction. We use multiple return period flood depths from FEMA RiskMAP non-regulatory flood depth and calculate flood risk reduction as the difference between pre- and post-elevation AAL. We compute benefit–cost ratio (BCR) and net benefit–cost ratio (NBCR) of the elevation mitigation investment across multiple time horizons, considering several funding scenarios. Then, we determine optimal first-floor height (FFH) by foundation type and 100-year flood depth. The analysis reveals that elevating existing homes by either 3 feet above the ground or to the base flood elevation (BFE; 100-year flood elevation), whichever is higher, reduces the median AAL by 98%. This elevation generates a BCR of 1.5 and 1.7 over a 30-year mortgage and a 70-year building lifetime, respectively, if the benefit is allocated proportionately. These results enhance understanding of cost-effectiveness of federal elevation mitigation investments, benefits of elevating homes above the minimum requirements, and most effective elevated heights for homes.
Similar content being viewed by others
Avoid common mistakes on your manuscript.
1 Introduction
In 2005, Hurricane Katrina made landfall near the Louisiana-Mississippi state border, causing massive devastation and forcing 400,000 people to evacuate (Chuang et al. 2019). Less than a month later, Hurricane Rita struck near the Louisiana-Texas state border, impacting 25,000 square miles in the state of Texas and causing $10 billion (Mayer et al. 2008) in damage. These events left an unprecedented number of deaths and destroyed homes and businesses in coastal Louisiana (Myers et al. 2008).
The Federal Emergency Management Agency (FEMA) Hazard Mitigation Grant Program (HMGP; Bukvic & Borate 2021; Ji & Lee 2021; Seong et al. 2021, 2022; Smith & Vila 2020; Vilá et al. 2022) was an important source of federal assistance to support citizens affected by Hurricanes Katrina and Rita. However, HMGP policy requires homeowner-matching funds, typically 25%, for elevating the homes in the post-disaster recovery, and many victims of these hurricanes were unable to provide such funding. Thus, without additional assistance, such homes would not be elevated and they would remain at risk for repetitive flood losses.
Therefore, the U.S. Department of Housing and Urban Development (HUD) Community Development Block Grant Disaster Recovery (CDBG-DR; Martin, 2018; Martin et al. 2022; McDonnell et al. 2018; Gotham 2014) program appropriated $13.4 billion in CDBG-DR funds to the State of Louisiana for recovery from Hurricanes Katrina and Rita, administered through the Louisiana Office of Community Development (OCD) as the Road Home Project. This program incentive offered grants of $30 K per home to provide homeowners in high-risk areas with the HMGP-matching funds to elevate their homes. Turnham et al. (2011) explained the role of these two programs in promoting future flood mitigation through home elevation as:
“In Louisiana and Mississippi, the HMGP’s elevation grants and CDBG programs were linked based on similar eligibility requirements and on their cumulative meeting of owners’ needs. For example, CDBG recipients in Louisiana could apply for both The Road Home Elevation Incentives and the State’s HMGP elevation grants. However, HMGP funds were based on the costs of construction beyond funds covered first by other sources and then by The Road Home Elevation Incentive. The Road Home incentive was capped at $30,000 per home ($20,000 for manufactured homes) and was included in the $150,000 total The Road Home grant cap; the HMGP grant was capped at $100,000 based on the total construction cost but not subject to The Road Home grant cap. In all cases, only The Road Home Option 1 recipients [i.e., residents who remained in the home while they rebuild] were eligible for either.”
This study assesses the cost-effectiveness of the $30,000 of federal Road Home Program flood mitigation assistance through home elevation of single-family, residential homes, using a subset of the Louisiana housing data in Jefferson Parish, Louisiana. We calculate the flood risk reduction (i.e., ∆AAL) and conduct benefit–cost analysis (BCA) to answer the following questions: (1) Considering the Road Home grants and full federal cost separately, was elevation of existing homes a cost-effective mitigation technique? (2) What first-floor height (FFH) maximizes flood risk reduction based on foundation type (i.e., crawl space, slab-on-grade) and 100-year flood depth? To answer these research questions, we calculate the annual flood risk across 10-, 30-, 50-, and 70-year time horizons, considering different elevation cases of FFH and two types of funding scenarios. We compute benefit–cost ratio (BCR), net benefit (NB), and net benefit–cost ratio \((\) NBCR) across the same time horizons, elevation cases, and funding scenarios. This research contributes to the literature by providing an economic analysis and results that enhance the understanding of cost-effectiveness of federal mitigation investments.
2 Background
Flood is one of the most devastating hazards in the USA, impacting approximately 99% of the USA counties between 1996 and 2019 (FEMA 2021a). Average annual loss (AAL) is a legitimate scientific parameter to estimate the risk associated with natural hazard (Applied Research Associates 2008; Gnan et al. 2022a; Orooji & Friedland 2020; Rahim et al. 2022a, b; Wong et al. 2000). AAL due to flood is used to represent the flood risk. Since a reliable prediction of AAL helps to avoid substantial flood damage, several approaches and tools in the literature have been conducted to quantify AAL (Arnbjerg-Nielsen and Fleischer 2009; Dunn 2004; FEMA 2013a; Montgomery and Kunreuther 2018; Zarekarizi et al. 2020). The most common among these approaches uses only the flood AAL resulting from floods at return periods for which available data exist for estimating annual exceedance probabilities (AEPs), but because flood losses also occur from floods at extremely short and very long return periods for which return period data are unavailable, the losses are often underestimated (Oliver et al. 2019). Therefore, applying a refined numerical integration method that covers the full losses across the range of exceedance probabilities addresses this drawback (Al Assi et al. 2023; Gnan et al. 2022a; Mostafiz et al. 2022a). The Gumbel extreme value distribution (GEVD; Gumbel 1941) is considered one of the most widely accepted probability functions for predicting flood peak (Patel 2020; Parhi 2018) and analyzing flood frequency for calculating return periods (Singh et al. 2018; Mostafiz et al. 2022b; Mostafiz, 2022c). It has been found to be more suitable than the generalized extreme value, Log Pearson type III, and log-normal distributions (Onen & Bagatur 2017). According to Gnan et al. (2022a), the GEVD is particularly useful for modeling skewed distributions, which are associated with rare events, making it a suitable choice for modeling AEPs for expected flood depths. The GEVD parameters (\(a\) and u) represent the regression coefficients in the relationship between flood depth above the ground (\(d\)) and the double logarithm of annual probability of non-exceedance. Adopting a refined numerical integration method that integral the flood loss as a known function of the full range of probabilities using the GEVD is essential in evaluating the flood risk and risk reduction with the application of mitigation strategies, thus evaluating the cost-effectiveness of adopting mitigation strategies.
Applying FEMA’s flood mitigation strategies (FEMA 2014) is part of a comprehensive plan that helps to protect buildings from flood damage. Several strategies are common to mitigate flood loss at the property level, such as improving the drainage system, using flood barriers, acquiring properties in the floodway areas or areas with frequent and severe flood history, reconstructing the building to a higher standard, and elevating above or at the base flood elevation (BFE) level—also known as the 1% APE flood elevation in the flood insurance rate maps (FIRMs) (FEMA 2012). Homeowners in the USA often select the elevation option using government grants that come from FEMA or HUD. Therefore, long-term evaluation of the benefits associated with the elevation option and the most effective (FFH) is essential.
It can be challenging for hazard mitigation developers to determine the true value of taking preventative measures, as the benefits and costs are not always clear (Godschalk et al. 2009). Tools such as flood risk reduction (i.e., ∆AAL) are effective in providing meaningful results. ∆AAL represents the absolute savings value and includes quantifying the reduction of direct physical damage to building and contents, loss of function such as displacement expenses and lost wages, environmental damage, societal losses such as deaths and injuries, and emergency response costs (Rose et al. 2007; FEMA 2009). Along with ∆AAL, tools such as BCA are useful in determining the economic benefits of a mitigation strategy. BCA includes BCR (Hochrainer-Stigler et al. 2019; Johnson et al. 2020), NB (Su & Tung 2013; Gnan et al. 2022b), and NBCR (Chang et al. 2011; Gnan et al. 2022c), which are effective tools for providing a meaningful economic result (Godschalk et al. 2009; Molinari et al. 2021; Taghinezhad et al. 2020).
While ∆AAL represents the absolute savings value (Taghinezhad et al. 2020), BCA determines whether applying a new practice/strategy is cost effective, thereby proving its efficiency (Jonkman et al. 2004). The three components of BCA (i.e., BCR, NB, and NBCR) each provide slightly different information as part of the entire decision tool to communicate to decision makers the cost-effectiveness of applying the mitigation plan. A ratio of economically quantifiable benefits to quantifiable costs (BCR) exceeding 1.0 is one indicator that the project should proceed (Molinari et al. 2021). However, the difference between the economically quantifiable benefit and the expense to create that benefit (i.e., NB) can give a different indicator for decision making. Finally, the ratio between NB and total cost (i.e., NBCR) may be the most useful quantity, especially when the NBs are equal or similar, because it expresses the benefit per dollar spent (Gnan et al. 2022c).
Several studies in the literature have evaluated the benefits of applying elevation strategies to flood-prone locations by governmental funds, specifically in terms of ∆AAL and BCR (e.g., FEMA 2009, 2013b, 2016; Mobley et al. 2020; Taghi Nezhad Bilandi 2018). FEMA (2022a) estimated that the cumulative building, contents, and displacement losses avoided after Hurricanes Isaac (2012) and Ida (2021), for 23 Jefferson Parish, Louisiana, homes located in high-risk flood areas and elevated above the BFE, are 2.23 times the total mitigation costs. Similarly, FEMA (2021b) found a BCR of 1.24 for elevating existing residential structures in Snoqualmie, Washington, considering various types of losses, including building and contents losses, loss of function such as lost business income, wages, or public services, and the cost of emergency services after flooding occurred. FEMA (2021c) calculated a BCR of 0.96, when considering building and contents losses, displacement time, and loss of public services, for flood elevation projects in Sonoma County, California, for existing structures that had been elevated to the 100-year flood elevation (i.e., BFE). Finally, FEMA (2021d) found that acquisition and elevation of 1,618 properties in coastal Texas after Hurricane Harvey to reduce future losses had a BCR of 1.61 when considering building, contents, and displacement loss reductions.
Other studies have also been conducted to evaluate the effectiveness of elevating new, single-family homes, considering costs from losses, insurance, and freeboard for different types of owner/occupants. For example, Gnan et al. (2022b) found landlord NBCRs ranging from 0.3 (0.5 ft. of freeboard) to 2.6 (1.0 ft. of freeboard) using a discount rate of 7%, while the NBCR for tenant was found to vary from 1.4 (0.5 ft. of freeboard) to 1.0 (1.0 ft. of freeboard), using a discount rate of 7%. Gnan et al. (2022c) found that by adding two feet of freeboard, NBCR improves to 2.8, using a discount rate of 7%.
Finding the most effective FFH is crucial for reducing flood risk while also increasing NB and NBCR. A variety of studies in the literature have utilized different methodologies in determining the most effective FFH. For instance, Xian et al. (2017) used an optimal elevation level (OEL), which is calculated through a cost–benefit analysis, to minimize the cost of elevating a building, and to assess the present value of cumulative annual expected losses over the lifetime of a building. Gnan et al. (2022c) employed a lifecycle benefit–cost analysis (LCBCA) approach to optimize freeboard height for a hypothetical case study home and found that adding two feet of freeboard yields the highest NB; however, the greatest NBCR occurs with one foot of freeboard. After defining the most effective FFH as the one that yields the most reduction in flood risk for building, contents, and use, Al Assi et al. (2023) found that increasing the FFH by one foot above the 100-year flood elevation results in approximately 90% flood risk reduction, but increasing the FFH by two feet above the 100-year flood elevation may provide the most effective benefit at a nearly 99% flood risk reduction.
The literature review has shown that employing the refined numerical integration method that covers the full range of exceedance probabilities using the GEVD is essential in evaluating the flood risk and risk reduction with home elevation. Along with quantifying flood risk reduction, long-term evaluations of the benefits and costs associated with elevation using BCR and NBCR are crucial in determining the most effective and cost-efficient solutions. Furthermore, determining the most effective FFH by considering the highest reduction in flood risk can provide valuable insights for decision making. Given their proven effectiveness in prior studies, these methods are suitable for analyzing the cost-effectiveness of The Road Home Program funding after Hurricanes Katrina and Rita and can provide valuable insights for policymakers.
3 Study area
Obtaining flood depth data is crucial for quantification the flood risk on a specific area. However, collecting accurate flood depth data can be challenging. The levee-protected urban and suburban study area in Jefferson Parish, Louisiana (Fig. 1), was selected because of the availability of multiple return period flood depth data for the more populated areas, making it a good location for studying the flood risk. This area has flood depth data at a scale of 3.048 m × 3.048 m, at four available return periods: 10, 50, 100, and 500 years, which allows for determination of the flood parameters (Mostafiz et al. 2021a, 2022b). FEMA (2022b) collected these data through its Risk Mapping, Assessment and Planning (RiskMAP) program. These areas are considered non-coastal settings and are typically prone to pluvial and riverine flooding. However, much of the flooding that occurred in Hurricane Katrina was due to levee breaches (American Society of Civil Engineers (ASCE) 2007).
Generally, the southeastern region of Louisiana has a documented history of being affected by severe weather events, as reported by FEMA (2013b). In 1969, Hurricane Camille, a Category 5 storm, made landfall in the southern coast of the region resulting in significant damage. Similarly, in 2005, two hurricanes, Katrina (Category 3) in August and Rita (Category 3) in September struck the region, which also experienced damage from Hurricanes Gustav (Category 2) in 2008 and Isaac in 2012. Jefferson Parish, Louisiana, is particularly susceptible to flooding due to its location near the Mississippi River and the Gulf of Mexico.
The data collected on homes funded through Louisiana Governor's Office of Homeland Security and Emergency Preparedness (GOHSEP) via the Road Home Program after Hurricane Katrina and Rita include various characteristics of the homes, such as the type of home, foundation type, year of construction, owner/occupant status, and existence of a basement. Not all characteristics are available for all homes. To enhance understanding of the best assumptions that can be made for the homes in the study area, we used the information from United States Census Bureau (2023), which reports that, as of 2021, 194,130 housing units exist in Jefferson Parish, with 70% of these being single-family homes. Of these homes, 65% were built before 1980 and 13% were built after 2000. Additionally, 93% of these homes are owner-occupied, with a median value of $220,000 ± $8000. Among the homes for which data was available, 95% were single-family, 60% were built before 1980, 80% had no basement, and 90% were owner-occupied.
The cost of elevating homes in the selected study area (i.e., $120,000) was determined by GOHSEP. Because the HMGP grants typically cover 75% of the cost, while The Road Home Program grants cover the remaining 25%, the HMGP and Road Home Program grants typically provide $90,000 and $30,000 per home, respectively. It is worth noting that these costs are an average across all homes in the study area, and individual costs may vary substantially.
4 Methodology
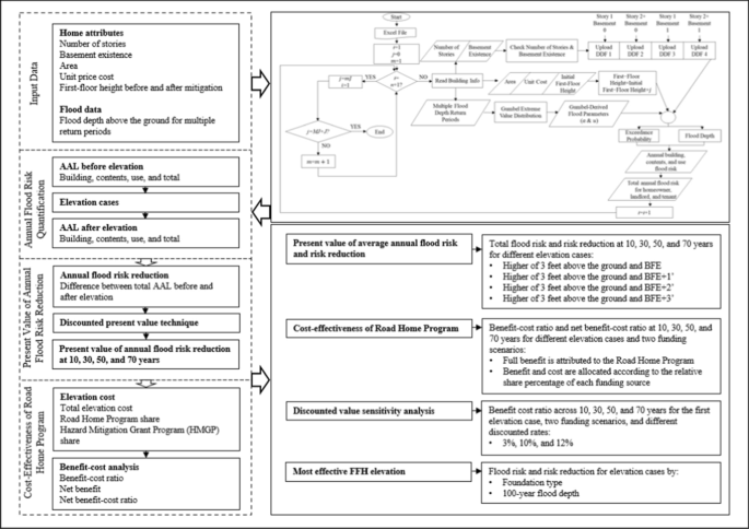
In this section, the methodology for evaluating the cost-effectiveness for the Road Home Program funding, as depicted in Fig. 2, is described. The calculation begins by utilizing the computational framework developed by Al Assi et al. (2023) for determining the annual flood risk, considering both home attributes and flood data. The framework developed by Al Assi et al. (2023) was chosen because it offers several advantages for the analysis of AAL across multiple homes. First, it utilizes a refined numerical integration method that allows for a more mathematically elegant calculation of AAL. This method addresses the limitations of the Hazus Multi-Hazard (Hazus-MH) Flood Model (FEMA 2013a) by analyzing floods at return periods shorter than 10 years and longer than 500 years, which Hazus-MH neglects. The method also offers the advantage of a finer AAL approximation by using Riemann sums of areas under the loss-exceedance curve, in contrast to the coarser estimation that Hazus-MH uses. Moreover, the framework partitions AAL separately for building, contents, and use, and for different owner/occupant type, allowing for a more detailed and comprehensive analysis. Furthermore, the framework also calculates AAL reduction for each increase above the FFH or for different elevation cases, which is an important factor for understanding the risk reduction with home elevation. Additionally, the framework also allows the AAL results to be displayed on both a per-building and aggregated basis.
Framework for evaluating cost-effectiveness of the Road Home Program, with flowchart from Al Assi et al. (2023)
We used the discounted present value (DPV) technique to compute all relevant future benefits of home elevation to the present value, accumulated across 10-, 30-, 50-, and 70-year time horizons, applying four different FFH elevation cases and two funding scenarios. The DPV of flood risk reduction and the elevation cost are used to calculate BCR, NB, and NBCR across all time horizons, elevation cases, and funding scenarios. The most effective FFH is determined by foundation type and 100-year flood depth. The results are presented by quartiles of the calculations. The first quartile (Q1) represents the lowest 25% of the data, the second quartile (Q2) represents the middle 50% of the data, and the third quartile (Q3) represents the highest 25% of the data. The following sections describe the steps in more detail.
4.1 Input data for framework
To address the research questions, data are needed to calculate the flood risk and the cost-effectiveness. First, to evaluate the flood risk before and after elevation, home attributes (i.e., number of stories (1 or 2 +) and basement existence (0 = No, 1 = Yes)) are input to select the proper depth-damage function (DDF) that characterizes the relationship between the flood depth within the structure (\(dh\)) and the percent of damage. In this study, United States Army Corps of Engineers (USACE, 2000) DDFs for building and contents loss, and FEMA (2013a) DDFs for use loss are applied.
Given the incomplete information on home attributes such as type, occupancy type, Area (\(A\)), number of stories, and unit price cost (\({C}_{R}\)) for the selected study area, assumptions were made based on statistical analysis from the United States Census Bureau (2023) and GOHSEP to estimate the flood risk in Jefferson Parish, Louisiana. These assumptions include that all homes are single-story without basements, owner-occupied, with \(A\) of 2000 sq. ft, and a \({C}_{R}\) of $105. FFH before mitigation is assumed to be the minimum requirement based on foundation type, which equals 1.5 feet for crawl space (U.S. Department of Housing and Urban Development 2012) and 0.5 foot for slab-on-grade homes. FFH after mitigation is analyzed using four elevation cases. The first is the elevation decision that complies with the intent of the HMGP, Road Home Program, and FEMA’s (2006) recommendation—that the home was elevated to the higher height between 3 feet above the ground and the BFE. Three additional cases are considered to provide more guidance for future elevation policy decisions, namely elevating the home to the higher height between: (1) 3 feet above the ground and BFE + 1, (2) 3 feet above the ground and BFE + 2, and (3) 3 feet above the ground and BFE + 3.
Then, \(A\) in sq. ft and \({C}_{R}\) in USD are input to calculate the replacement cost value (\({V}_{R}\); Eq. 1). The FFH above the ground is assigned by home based on the input foundation type. Each elevation case is considered as a separate analysis.
The flood depth above the ground for multiple AEP events, and the corresponding AEP values for those flood depths at the location of each home, are input.
To determine the cost-effectiveness of the Road Home Program, calculations are performed using the DPV for future benefits of flood risk reduction and home elevation across various time horizons, including 10, 30, 50, and 70 years. The total cost of elevation and the funding breakdown, including the Road Home Program's share (i.e., $30,000) and HMGP share, are also taken into consideration. This information is used to compute NB, BCR, and NBCR across all elevation cases and funding scenarios.
4.2 Annual flood risk
The refined numerical integration method is used here to evaluate the flood risk in terms of AAL, which is represented by the integral of the economic loss as a function of the annual probability of exceedance, generally \(L\left(P\right)\). For each home,\(L\left(P\right)\) includes three types of losses: those to the building (\({L}_{B}\)) and its contents(\({L}_{C}\)), both as a proportion of \({V}_{R}\) (Eqs. 2 and 3) and use loss (\({L}_{U}\)) as the number of months that the building is inoperable. Thus, \({AAL}_{\mathrm{B}/{V}_{R}}\) and \({AAL}_{\mathrm{C}/{V}_{R}}\) represent the annual building and contents annual flood risk as a proportion of \({V}_{R}\) (Eqs. 2 and 3), and \({AAL}_{\mathrm{U},\mathrm{months}}\) represents the annual use flood risk in months (Eq. 4).
The two-parameter GEVD is used to model the probability of exceedance (\(P\)) for the expected flood depths because it is known to be better suited for smaller sample sizes in extreme value analysis (Cunnane 1989; Onen & Bagatur 2017). Equation 5 shows the cumulative distribution function (CDF) of the GEVD, where \(p\) represents the annual probability of non-exceedance. The complement of the CDF of the GEVD is shown in Eq. 6, which represents \(P\) of a potential flood event with depth above the ground \((d)\).
where \(u\) and \(a\) represent the location and scale parameters.
Solving Eq. 5 for \(d\) yields Eq. 7, which expresses the relationship between \(d\) and the double natural logarithm of \(p\). The flood depth within the structure, represented in the DDFs as \(dh\), is the difference between \(d\) and \(FFH\)(Eq. 8).
where \(a\) and u parameters are the regression coefficients (slope and y-intercept, respectively).
The three components of AAL are converted to absolute currency values (in USD) for building (\({AAL}_{B\mathrm{\$}}\)), contents (\({AAL}_{C\mathrm{\$}}\)), and use (\({AAL}_{U\mathrm{\$}}\)), as described by Eqs. 9–11:
here \({R}_{l}\) is the monthly rent, with one year of rent assumed to be one-seventh of \({V}_{R}\) (Amoroso & Fennell 2008). The three components of AAL are then summed to give the total for each home (\({AAL}_{T}\)), as shown in Eq. 12.
4.3 Present value of annual flood risk reduction
The first step in evaluating the economic benefits of home elevation within the Road Home Program is quantifying the annual flood risk reduction for each home \(({\Delta AAL}_{i}\)), which is the absolute savings value of home elevation. \({\Delta AAL}_{i}\) is the difference between the \({AAL}_{T}\) before and after elevating the FFH (Eq. 13) at the individual home level, considering the four FFH elevation cases, with the three funding scenarios for each.
here \({AAL}_{{FFH}_{i}}\) and \({AAL}_{{FF{H}^{^{\prime}}}_{i}}\) represent the AAL at the first-floor height before and after elevation for each home, respectively.
The DPV technique is used to compute all relevant future economic benefits of home elevation adjusted to the present dollar value. The discount rate is a vital parameter (Shively & Galopin 2013) and rate selection is important for improved understanding of future returns relative to today’s value and avoiding over- or under-estimation (Shreve & Kelman 2014; Tate et al. 2016). U.S. Office of Management and Budget (OMB; The Regulatory Group, Inc. 2003) recommends calculating annualized benefits and costs using 3 and 7% discount rates. Here we discount the flood risk reduction (i.e., \({\Delta AAL}_{i}\)) to the present value (DPV; Frank 2000) using a 7% discount rate, accumulated across 10-, 30-, 50-, and 70-year time horizons for each home, as shown in Eq. 14.
where \({{{\Delta AAL}_{DPV}}_{T}}_{i}\) is the equivalent present value of annual flood risk reduction over time horizon \(T\) using the discount rate \({R}_{D}\).
4.4 Cost-effectiveness of Road Home Program
By considering the annual flood risk reduction as the indicator of absolute benefits of a home’s elevation, BCR, NB, and NBCR are calculated to determine the cost-effectiveness. Following the method of annual flood risk reduction analysis, the cost-effectiveness methods are calculated across the same time horizons, using the same elevation cases, and considering two funding scenarios: (1) attributing the full benefit to the Road Home funding (i.e., $30,000); and (2) allocating the benefit and cost proportionately of each funding source.
The BCR, NB, and NBCR are evaluated in two ways. The first way assesses effectiveness at the overall study area level by calculating the total benefits and total costs (Eqs. 15, 16, and 17). The second way examines effectiveness by calculating the benefits and the costs for each home (Eqs. 18, 19, and 20) and presenting the results in three quartiles. Both ways start with evaluating \({{{\Delta AAL}_{DPV}}_{T}}_{i}\) and the cost (\({C}_{i}\)) at the individual home level. The ratio of total benefits to total costs is represented by \({BCR}_{{DPV}_{T}}\) (Eq. 15), and the ratio of benefits (\({{{\Delta AAL}_{DPV}}_{T}}_{i}\)) to costs (\({C}_{i}\)) for each individual home level is represented by \({{BCR}_{{DPV}_{T}}}_{i}\) (Eq. 18). When \({BCR}_{{DPV}_{T}}\) and \({{BCR}_{{DPV}_{T}}}_{i}\) exceed 1.0, the benefits outweigh the costs. The difference between total benefits and total costs is represented by \({NB}_{{DPV}_{T}}\) (Eq. 16) in the overall study area, and the difference between \({{{\Delta AAL}_{DPV}}_{T}}_{i}\) and \({C}_{i}\) is represented by \({{NB}_{{DPV}_{T}}}_{i}\)(Eq. 19) at the individual home level. A positive \({NB}_{{DPV}_{T}}\) and \({{NB}_{{DPV}_{T}}}_{i}\) indicates that the elevation strategy is cost-effective for the overall study area and at the individual home level, respectively (Orooji et al. 2022; Shively & Galopin 2013). NBCR is computed as the ratio between the overall benefit and the total cost, while BCR indicates the relationship between benefits and costs directly without considering the overall benefits. The ratio of \({NB}_{{DPV}_{T}}\) to total cost is represented by \({NBCR}_{{DPV}_{T}}\) (Eq. 17), for the whole study area, and the ratio of \({{NB}_{{DPV}_{T}}}_{i}\) to \({C}_{i}\) is represented by \({{NBCR}_{{DPV}_{T}}}_{i}\) for an individual home (Eq. 20). When \({NBCR}_{{DPV}_{T}}\) and \({{NBCR}_{{DPV}_{T}}}_{i}\) exceed zero, the elevation strategy is profitable.
where n represents the total number of homes in the study area. In both methods, the benefit and cost are assigned in the previous equations to match each funding scenario. In the first funding scenario, the full benefit is ascribed to the Road Home Program funding; in this case, the benefit (i.e., \({{{\Delta AAL}_{DPV}}_{T}}_{i}\)) is the total annual flood risk reduction and the cost is the Road Home funding, which is $30 K per home. In the second funding scenario, the benefit and cost are allocated according to the proportion of each funding source. In simpler terms, the second funding scenario breaks down the overall cost and benefit into percentages, with each funding source being allocated the appropriate percentage of the total cost and benefit. This percentage breakdown is the same as ascribed to the ratio of the benefits to the total costs.
4.5 Discounted value sensitivity analysis
We conducted a sensitivity analysis to examine the effect of this \({R}_{D}\) on risk reduction and BCA and compared three \({R}_{D}\) values (3, 10, and 12%) against the 7 percent baseline \({R}_{D}\) value. For each \({R}_{D}\), we calculated the BCR using methods explained in the next section. We made these calculations across 10, 30, 50, and 70 years, taking into account the effect of funding scenarios, assuming the first elevation case (i.e., the higher height of 3 feet above the ground and BFE) is in effect. We present the results by quartile for each funding scenario at each discount rate.
4.6 Most effective FFH elevation based on foundation type and 100-year flood depth
The 100-year flood depth and foundation type (i.e., crawlspace and slab-on-grade) are used as the basis for identifying the most effective FFH. The pre-elevation FFH is assumed to be equal to 1.5 feet and 0.5 foot for homes with crawlspace and slab-on-grade foundations, respectively. The post-elevation FFH is taken as each of the four elevation cases, one at a time. The annual flood risk (i.e., AAL) is calculated at each pre- and post-elevation value. The most effective FFH is determined by the elevation with the highest annual flood risk reduction (∆AAL).
5 Results
5.1 Present value of annual flood risk and flood risk reduction
The annual flood risk for all homes in the case study area at the pre-elevation FFH across 10, 30, 50, and 70 years using a 7% discount rate, along with the calculated annual flood risk reduction as a result of each elevation case, are shown in Tables 1 and 2. To better describe the data distribution, quartiles are used, with the three quartiles (Q1, Q2, and Q3) used to identify the spread and skewness of the data. Q1, Q2, and Q3 represent the 25th, 50th (also known as the median), and 75th percentiles, respectively. Substantial decreases in \({AAL}_{{DPV}_{T}}\) are realized with the FFH elevated to the higher height between 3 feet above the ground or BFE (most likely scenario) (FEMA 2006).
5.2 Cost-effectiveness of Road Home Program
Table 3 shows the \({BCR }_{{DPV}_{T}}\) and \({NBCR }_{{DPV}_{T}}\) considering the total benefits and the total costs for the study area for different elevation cases, across 10, 30, 50, and 70 years using a 7% discount rate. The \({BCR }_{{DPV}_{T}}\) values are analyzed by considering two funding scenarios: (1) the full benefits are attributed to the Road Home funding (i.e., funding scenario 1); (2) the benefits and costs are allocated according to the proportion of each funding source (i.e., the ratio of $30 K to the total cost; funding scenario 2). The results of the \({BCR }_{{DPV}_{T}}\) analysis across overall study area show that home elevation is considered a cost-effective option over a 30-year mortgage and an assumed 70-year building lifetime, considering different elevation cases and funding scenarios.
Table 4 presents the discounted present value of BCR and NBCR in terms of the three quartiles, considering the \({{BCR}_{{DPV}_{T}}}_{i}\), \({{NB}_{{DPV}_{T}}}_{i}\), \(N{{BCR}_{{DPV}_{T}}}_{i}\) for each home. Results indicate that when the first funding scenario is applied, the median BCR value (50th percentile) exceeds 1 and the median NBCR value is positive for all elevation cases over a 10-, 30- 50-, and 70-year period. However, when the second funding scenario—which is the most relevant scenario—is considered, the median values are less than 1 with NBCR negative. It is important to note that NBCR represents BCR values less than 1. To further clarify, Figs. 3 and 4 present the distribution of BCR values for the case study area for the first elevation scenario at 0, 30, and 70 years and for both funding scenarios. The results, as shown in the first funding scenario, indicate that approximately 65% of homes have a BCR exceeding 1 at 30 and 70 years. However, this percentage drops to 40% when the second funding scenario is applied.
5.3 Discounted value sensitivity analysis
Table 5 shows the BCR calculations for different discounted rates at elevation case 1 (higher between 3 feet above the ground and BFE), across 10, 30, 50, and 70 years, considering all funding scenarios. Not surprisingly, higher discount rates and shorter time horizons lead to lower future return values, but this research shows how to quantify these changes for the first time, using a case study. For instance, the BCR values decrease by 37, 52, and 60% across 30 years, when using discount rate values of 7, 10, and 12%, respectively, compared with 3%.
5.4 Most effective FFH elevation based on foundation type and 100-year flood depth
The average annual flood risk (i.e., AAL) for the four elevation cases, by foundation type and 100-year flood depth is shown in Tables 6 and 7, respectively. The results show that substantial decreases in annual flood risk by elevating homes to the higher between 3 feet above the ground and BFE (Case 1) for both foundation types (Table 6) and at all 100-year flood depths (Table 7).
6 Discussion
6.1 Present value of annual flood risk and flood risk reduction
Regardless of whether the elevation is done at construction or post-occupancy, results in this research strongly confirm that applying the minimum FFH requirement based on foundation type leads to substantial annual flood risk. A considerable decrease in annual flood risk is achieved by increasing the FFH to the higher height between 3 feet above the ground and the BFE. In the case study presented here, a virtual elimination of annual flood risk occurs with elevating to the higher height of 3 feet above the ground and BFE+3.
It is important to note that these results depend on the accuracy and currency of flood depth data For example, Wing et al. (2022) noted that flood risk mapping is based on historical observation without taking into account changes in the meantime due to climate change. Also, the choice of DDF strongly affects the results (Mostafiz et al. 2021b). Gnan et al. (2022a) demonstrated that use of USACE (2006) DDFs provides different AAL estimates from those of Nofal et al. (2020) and USACE (2000). Third, the damage initiation point according to the selected DDF affects risk assessment. For example, Al Assi et al. (2023) showed that considering the damage initiation point at depths less than zero increases the AAL substantially. Therefore, future research should focus on the accuracy of the flood maps, DDFs, and the damage initiation point.
6.2 Cost-effectiveness for Road Home Program fund
The BCA results indicate that when assuming that the full benefit is attributed to the Road Home Program, the advantages (i.e., \({BCR}_{{DPV}_{T}}\) and \({NBCR}_{{DPV}_{T}}\)) are greater than when using the second funding scenario, which is based on the percentage of funds allocated. While the purpose of the first funding scenario is to highlight the importance of the Road Home Program funding in supporting homeowners who otherwise would not have been able to provide matching funds to elevate their homes, the second scenario is considered more realistic as it assumes that the benefits of Road Home grants are proportional to the funds allocated. This reflects the idea that the total benefits are proportional to the total cost.
Evaluating the cost-effectiveness of the Road Home Program considering the total benefits and total costs of applying the elevation strategy for the overall study area shows that home elevation is considered a cost-effective option over a 30-year mortgage and an assumed 70-year building lifetime, considering different elevation cases and funding scenarios. FEMA’s (2022a) evaluation of the cost-effectiveness of federal grants for Jefferson Parish, Louisiana, homes following Hurricanes Isaac and Ida, which occurred 7 and 16 years after Hurricane Katrina, respectively, showed that the BCRs for elevating existing homes were 0.95 and 1.28, respectively, which are consistent with the current study’s results (Table 3). This finding indicates that through further analysis under the second funding scenario, homes should be in use for at least 12 years to achieve a BCR that exceeds 1.0. It is important to note that both FEMA (2022a) and this study take into account building, contents, and use avoided losses when calculating the benefits of elevating homes. However, it is crucial to consider other losses avoided such as indirect, intangible, and function losses, as these factors can greatly impact the results by increasing the overall benefits for the same cost.
The results obtained through the use of descriptive statistics (Table 4) indicate that the median value differs from the average value in the second funding scenario of both analyses. This suggests that the data are not distributed normally, as further highlighted by showing the distribution of BCR results among the homes in the study area. Table 4 suggests that the benefits of the Road Home Program, as measured by the BCR, do not outweigh the costs for most of the homes in the study area when considering elevation as a post-disaster mitigation strategy. Specifically, the median BCR is less than 1.0 and the median NBCR is negative for all time horizons and elevation cases, meaning that the program is economically inefficient for half of the homes. However, the differences between the mean and median results should be considered carefully in this retrospective analysis. Of the 512 buildings in the study area, 480 are located in the 100-year floodplain (i.e., A Zone in the USA), while 32 are located outside of the 100-year floodplain, which lies between the 1.0- and 0.2-percent annual flood probability (i.e., Shaded X Zone in the USA) in 2005 when Hurricane Katrina made landfall. For the vast majority of these homes, the agency could not have known the flood risk for each individual property, given the unavailability of the multiple return period flood depth grids and the methodology presented by Al Assi et al. (2022) and within this paper to evaluate individual building risk and elevation cost-effectiveness.
These results additionally highlight the importance of considering the trade-offs between retrofitting or remodeling existing homes and building new homes that are elevated above expected flood levels. The cost of elevating a home during construction is far less than the cost of doing so after a disaster. For example, the total elevation cost per existing home in the presented case study area is approximately $120,000, with approximately 25% ($30,000) being the Road Home Program share. While the average cost of existing home elevation during the Road Home Program was $120,000, the current home elevation cost ranges from $150,000 to $200,000. Current costs would result in lower BCR ratios for elevating an existing home, underscoring the finding that elevation at the time of construction is the most cost-effective approach. In contrast, for new construction, FEMA (2008) estimates that elevating costs an additional 2.3% of the total construction cost (approximately $150–$200 per square foot in this area) per foot elevated. Thus, the expected cost of elevating a 2,000 square foot home at the time of construction by 1, 2, or 3 feet is approximately $6,900–$9,200, $13,500–$18,000, or $20,400–$27,200, respectively. These results confirm the observation of Taghinezhad et al. (2020) that home elevation is far more economical in the construction phase than during the occupancy phase. From a policy perspective, elevating homes above the BFE at the time of construction to reduce long-term risk and substantially increase family and community resilience should be a high priority (Mostafiz et al., 2022d). Examples of possible implementation include tying development funds to above-code requirements or providing pre-construction grants to meet the cost difference of these construction practices.
6.3 Discounted value sensitivity analysis
The use of a single discount rate value in most existing studies (Shreve and Kelman 2014) may not fully capture the implications of different rate choices. By examining the sensitivity of the results across a range of 3–12% discount rates, a more comprehensive understanding of the cost-effectiveness of the chosen rate can be achieved.
As illustrated in Table 4, when assuming that the benefit is proportional to the share percentage, a 7% discount rate yields median BCR values of less than 1.0 across 50 and 70 years, in contrast to using a discount rate equal to 3%, which generates BCR values exceeding 1.0 for the same time horizons (Table 5). However, as reported by Venton & Siedenburg (2010), a very low—or zero—discount rate should be applied for environmental projects because protecting the environment for future generations has the same value as today. This rationale may be appropriate for protecting future home environments, given an expected 70-year building life.
6.4 Most effective FFH elevation based on foundation type and 100-year flood depth
One objective of the present study is to evaluate the effectiveness of increasing home elevation as a means of reducing annual flood risk. The findings indicate that elevating homes with crawl space and slab-on-grade construction built at minimum FFH to the higher height between 3 feet above the ground and BFE leads to a substantial decrease in annual flood risk of more than 98% (Table 6). Additionally, Table 7 shows that elevating homes in areas with a 100-year flood depth of less than 3 feet to the higher height between 3 feet above the ground and BFE results in a decrease of annual flood risk by more than 98 percent. In contrast, for areas where the 100-year flood depth exceeds 3 feet, elevating homes to the higher height between 3 feet above the ground or BFE+1 is needed in order to achieve a similar reduction in annual flood risk. The study has important implications for increasing awareness among homeowners and informing decision makers in their efforts to mitigate flood hazards.
7 Conclusion
This research is motivated by the need to improve understanding of the benefits of elevating a home above the minimum requirements, the cost-effectiveness of federal elevation investments, and the most effective elevation heights. To do this, we evaluated the cost-effectiveness of the Road Home Program investment after Hurricanes Katrina and Rita, for home elevation in a subset of Jefferson Parish, Louisiana. We used annual flood risk reduction and BCA to evaluate the economic value of the Road Home Program investment in home elevation. Specific conclusions, based on the case study, are:
-
Elevating the home to the most likely scenario, which is the higher height between 3 feet above the ground and BFE, leads to a substantial decrease in annual flood risk.
-
Considering the total benefits and costs across the overall study area demonstrates that the Road Home Program investment is profitable for homes that have been in service for more than three years, provided that the full benefit of elevation is attributed to the Road Home Program funding. Furthermore, when the benefits are allocated proportionately, the program proves to be cost-effective for elevating homes that have been in service for over 12 years.
-
The descriptive statistics for the cost-effectiveness calculations demonstrate the value of the developed methodology; without the individual building level flood risk assessment, it would be impossible for a funding agency to identify which homes are at greater risk.
-
The discount rate has a large impact on annual flood risk estimation and cost-effectiveness analysis.
-
Elevating the home to the higher value between 3 feet from ground and BFE decreases the annual flood risk by more than 98% for homes with crawlspace and slab-on-grade foundations and located where the 100-year flood depth is less than 3 feet
In conclusion, this study provides a thorough evaluation of the cost-effectiveness of home elevation as a mitigation strategy for the CDBG-DR Road Home Program funding, in the case of homes located in Jefferson Parish, Louisiana. However, it is important to note that the study did not take into account other losses avoided, such as indirect, intangible, and function losses. Future research should include such components of the losses and investigate the BCR, NB, and NBCR among different socio-economic groups.
References
Al Assi A, Mostafiz RB, Friedland CJ, Rohli RV, Rahim MA (2022) Homeowner flood risk and risk reduction from home elevation between the 100-and 500-year floodplains. Frontiers Earth Sci. https://doi.org/10.1002/essoar.10512378.1
Al Assi A, Mostafiz RB, Friedland CJ, Rahim MA, Rohli RV (2023) Flood risk assessment for residences at the neighborhood scale by owner/occupant type and first-floor height. Frontiers Big Data. https://doi.org/10.3389/fdata.2022.997447
American Society of Civil Engineers (ASCE). (2007) The new orleans hurricane protection system : what went wrong and why : a report. ASCE
Amoroso SD, Fennell JP (2008) A rational benefit/cost approach to evaluating structural mitigation for wind damage: Learning “the hard way” and looking forward. In Structures Congress 2008. Vancouver, British Columbia, Canada. https://doi.org/10.1061/41016(314)249
Applied Research Associates. (2008). Florida Residential Wind Loss Mitigation Study. Available at https://www.floir.com/sitedocuments/aralossmitigationstudy.pdf. Last accessed 8/8/2022
Arnbjerg-Nielsen K, Fleischer HS (2009) Feasible adaptation strategies for increased risk of flooding in cities due to climate change. Water Sci Technol 60(2):273–281. https://doi.org/10.2166/wst.2009.298
Bukvic A, Borate A (2021) Developing coastal relocation policy: Lessons learned from the FEMA Hazard Mitigation Grant Program. Environ Hazards 20(3):279–299. https://doi.org/10.1080/17477891.2020.1804819
Chang J, Wu X, Liu A, Wang Y, Xu B, Yang W, Ge Y (2011) Assessment of net ecosystem services of plastic greenhouse vegetable cultivation in China. Ecol Econ 70(4):740–748. https://doi.org/10.1016/j.ecolecon.2010.11.011
Chuang WC, Eason T, Garmestani A, Roberts C (2019) Impact of Hurricane Katrina on the coastal systems of southern Louisiana. Frontiers Environ Sci. https://doi.org/10.3389/fenvs.2019.00068
Cunnane C (1989) Statistical distributions for flood frequency analysis. Operational hydrology report (WMO). Available at https://agris.fao.org/agris-search/search.do?recordID=XF9090879. Last accessed: 1/14/2023
Dunn CN (2004) Flood damage and damage reduction calculations using HEC’s Flood Impact Analysis Model (HEC-FIA). In: Joint conference on water resource engineering and water resources planning and management 2000: building partnerships, 104, 1–10. https://doi.org/10.1061/40517(2000)180
FEMA. (2006). ADVISORY Base Flood Elevations for Jefferson Parish, Louisiana. Available at https://www.fema.gov/pdf/hazard/flood/recoverydata/jefferson_parish04-12-06.pdf. Last accessed 8/10/2022
FEMA (2008). 2008 supplement to the 2006 evaluation of the national flood insurance program’s building standards. Available at https://www.wbdg.org/ffc/dhs/criteria/fema-2008-supp-2006-eval-nfip-stand. Last accessed 8/10/2022
FEMA (2009) National Disaster Housing Strategy. 1–94. Available at http://www.fema.gov/pdf/emergency/disasterhousing/NDHS-core.pdf. Last accessed 8/10/2022
FEMA (2012) Engineering principles and practices of retrofitting floodprone residential structures. Federal Emergency Management Agency. Available at https://www.fema.gov/sites/default/files/2020-08/fema259_complete_rev.pdf. Last accessed 8/10/2022
FEMA (2013a) Hazus-MH Technical Manual Flood Model. Washington D.C: Department of Homeland Security. Available at https://www.fema.gov/sites/default/files/2020-09/fema_hazus_flood-model_user-manual_2.1.pdf. Last accessed 6/15/2022.
FEMA (2013b) Loss Avoidance Study; St. Tammany Parish, Louisiana; Hurricane Isaac, 2012
FEMA. (2014). Homeowner’s guide to retrofitting: Six ways to protect your home from flooding. FEMA P-312, 3rd ed, p-312. Available at https://www.fema.gov/sites/default/files/2020-08/FEMA_P-312.pdf. Last accessed 8/10/2022
FEMA (2016) Losses avoided from Hurricane Matthew in North Carolina. Federal Emergency Management Agency Available at https://www.fema.gov/case-study/losses-avoided-hurricane-matthew-north-carolina. Last accessed 8/6/2022
FEMA. (2021a). Historical Flood Risk and Costs. U.S. Department of Homeland Security. Available at https://www.fema.gov/data-visualization/historical-flood-risk-and-costs. Last accessed 4/8/2022.
FEMA (2021b) Loss Avoidance Study: City of Snoqualmie, WA | FEMA.gov. Available at https://www.fema.gov/case-study/loss-avoidance-study-city-snoqualmie-wa. Last accessed 1/24/2023
FEMA (2021c) Loss Avoidance Study: Sonoma County California Structure Elevation Mitigation FEMA.gov. Available at https://www.fema.gov/case-study/loss-avoidance-study-sonoma-county-california-structure-elevation-mitigation. Last accessed 1/24/2023
FEMA (2021d) Losses Avoided from Hurricane Harvey in Texas | FEMA.gov. Available at https://www.fema.gov/case-study/losses-avoided-hurricane-harvey-texas. Last accessed 1/24/2023
FEMA (2022a) FEMA Fact Sheet | Hurricane Ida 2021: Jefferson Parish
FEMA (2022b) Risk mapping, assessment and planning (Risk MAP). Available at https://www.fema.gov/flood-maps/tools-resources/risk-map. Last accessed 6/16/2021
Frank RH (2000) Why is cost-benefit analysis so controversial? J Legal Stud 29(S2):913–930. https://doi.org/10.1086/468099
Gnan E, Friedland CJ, Rahim MA, Mostafiz RB, Rohli RV, Orooji F, Taghinezhad A, McElwee J (2022) Improved building-specific flood risk assessment and implications for depth-damage function selection. Front Water. https://doi.org/10.3389/frwa.2022.919726
Gnan E, Mostafiz RB, Rahim MA, Friedland CJ, Rohli RV, Taghinezhad A, Assi AA (2022b) Freeboard life-cycle benefit-cost analysis of a rental single-family residence for landlord, tenant, and insurer. Natural Haz Earth Sys Sci Discussions (preprint). https://doi.org/10.5194/nhess-2022-222
Gnan E, Friedland CJ, Mostafiz RB, Rahim MA, Gentimis T, Taghinezhad A, Rohli RV (2022) Economically optimizing elevation of new, single-family residences for flood mitigation via life-cycle benefit-cost analysis. Front Environ Sci. https://doi.org/10.3389/fenvs.2022.889239
Godschalk DR, Rose A, Mittler E, Porter K, West CT (2009) Estimating the value of foresight: aggregate analysis of natural hazard mitigation benefits and costs. J Environ Plann Manage 52(6):739–756. https://doi.org/10.1080/09640560903083715
Gotham KF (2014) Reinforcing inequalities: the impact of the CDBG program on post-Katrina rebuilding. Hous Policy Debate 24(1):192–212. https://doi.org/10.1080/10511482.2013.840666
Gumbel EJ (1941) The return period of flood flows. The Annals of Mathematical Statistics, 12(2), 163–190. Available at https://www.jstor.org/stable/2235766. Last accessed 1/14/2023
Hochrainer-Stigler S, Linnerooth-Bayer J, Mochizuki J (2019) Flood proofing low-income houses in India: an application of climate-sensitive probabilistic benefit-cost analysis. Econ Disast Climate Change 3(1):23–38. https://doi.org/10.1007/s41885-018-0032-7
Ji H, Lee D (2021) Disaster risk reduction, community resilience, and policy effectiveness: the case of the hazard mitigation grant program in the United States. Disasters 45(2):378–402. https://doi.org/10.1111/disa.12424
Johnson KA, Wing OE, Bates PD, Fargione J, Kroeger T, Larson WD, Smith AM (2020) A benefit–cost analysis of floodplain land acquisition for US flood damage reduction. Nature Sustainab 3(1):56–62. https://doi.org/10.1038/s41893-019-0437-5
Jonkman SN, Brinkhuis-Jak M, Kok M (2004). Cost benefit analysis and flood damage mitigation in the Netherlands. Heron, 49(1), 95–111. Available at http://heronjournal.nl/49-1/5.pdf. Last accessed: 9/26/2022
Martín C, Teles D, DuBois N (2022) Understanding the pace of HUD’s disaster housing recovery efforts. Hous Policy Debate 32(1):102–127. https://doi.org/10.1080/10511482.2021.1875258
Martín C (2018) The evidence base on how CDBG-DR works for state and local stakeholder: Testimony before the Subcommittee on Oversight and Investigations, Committee on Financial Services, United States House of Representatives. Available at https://policycommons.net/artifacts/631101/the-evidence-base-on-how-cdbg-dr-works-for-state-and-local-stakeholders/1612386/. Last accessed 8/10/2022
Mayer BW, Moss J, Dale K (2008) Disaster and preparedness: lessons from hurricane rita. J Conting Crisis Manag 16(1):14–23. https://doi.org/10.1111/j.1468-5973.2008.00531.x
McDonnell S, Ghorbani P, Desai S, Wolf C, Burgy DM (2018) Potential challenges to targeting low-and moderate-income communities in a time of urgent need: the case of CDBG-DR in New York state after superstorm sandy. Hous Policy Debate 28(3):466–487. https://doi.org/10.1080/10511482.2017.1385504
Mobley W, Atoba KO, Highfield WE (2020) Uncertainty in flood mitigation practices: Assessing the economic benefits of property acquisition and elevation in flood-prone communities. Sustainability (Switzerland) 12(5):2098. https://doi.org/10.3390/su12052098
Molinari D, Dazzi S, Gattai E, Minucci G, Pesaro G, Radice A, Vacondio R (2021) Cost–benefit analysis of flood mitigation measures: a case study employing high-performance hydraulic and damage modelling. Nat Hazards 108(3):3061–3084. https://doi.org/10.1007/s11069-021-04814-6
Montgomery M, Kunreuther H (2018) Pricing storm surge risks in Florida: implications for determining flood insurance premiums and evaluating mitigation measures. Risk Anal 38(11):2275–2299. https://doi.org/10.1111/risa.13127
Mostafiz RB, Friedland C, Rahim MA, Rohli R, Bushra N (2021a) A data-driven, probabilistic, multiple return period method of flood depth estimation. In: American geophysical union fall meeting 2021a. https://www.authorea.com/doi/full/https://doi.org/10.1002/essoar.10509337.1
Mostafiz RB, Friedland CJ, Rahman MA, Rohli RV, Tate E, Bushra N, Taghinezhad A (2021) Comparison of neighborhood-scale, residential property flood-loss assessment methodologies. Front Environ Sci 9:734294. https://doi.org/10.3389/fenvs.2021.734294
Mostafiz RB, Assi AA, Friedland C, Rohli R, Rahim MA (2022a) A numerically-integrated approach for residential flood loss estimation at the community level. In: EGU General Assembly 2022. Vienna, Austria, 23–27 May. https://doi.org/10.5194/egusphere-egu22-10827
Mostafiz RB, Rahim MA, Friedland CJ, Rohli RV, Bushra N, Orooji F (2022b) A data-driven spatial approach to characterize the flood hazard. Front Big Data. https://doi.org/10.3389/fdata.2022.1022900
Mostafiz RB (2022c) Estimation of Economic Risk from Coastal Natural Hazards in Louisiana. LSU Doctoral Dissertations. 5880. https://digitalcommons.lsu.edu/ gradschool_dissertations/5880
Mostafiz RB, Rohli RV, Friedland CJ, Lee YC (2022d) Actionable information in flood risk communications and the potential for new web-based tools for long-term planning for individuals and community. Front Earth Sci. https://doi.org/10.3389/feart.2022.840250
Myers CA, Slack T, Singelmann J (2008) Social vulnerability and migration in the wake of disaster: the case of Hurricanes Katrina and Rita. Popul Environ 29(6):271–291. https://doi.org/10.1007/s11111-008-0072-y
Nofal OM, van de Lindt JW, Do TQ (2020) Multi-variate and single-variable flood fragility and loss approaches for buildings. Reliab Eng System Saf 202:106971. https://doi.org/10.1016/j.ress.2020.106971
Oliver J, Qin XS, Madsen H, Rautela P, Joshi GC, Jorgensen G (2019) A probabilistic risk modelling chain for analysis of regional flood events. Stoch Env Res Risk Assess 33(4–6):1057–1074. https://doi.org/10.1007/s00477-019-01681-3
Onen F, Bagatur T (2017) Prediction of flood frequency factor for Gumbel distribution using regression and GEP model. Arab J Sci Eng 42(9):3895–3906. https://doi.org/10.1007/s13369-017-2507-1
Orooji F, Friedland CJ (2020) Average annual wind loss libraries to support resilient housing and community decision-making. Housing Soci 48(2):155–184. https://doi.org/10.1080/08882746.2020.1796108
Orooji F, Friedland CJ, Savio RD, Taghinezhad A, Massarra CC, Bushra N, Rohli RV (2022) Generalized cost-effectiveness of residential wind mitigation strategies for wood-frame, single family house in the USA. Front Built Environ 7:745914. https://doi.org/10.3389/fbuil.2021.745914
Parhi PK (2018) Flood management in Mahanadi Basin using HEC-RAS and Gumbel’s extreme value distribution. J Instit Eng (India): Series A 99(4):751–755. https://doi.org/10.1007/s40030-018-0317-4
Patel MB (2020) Flood frequency analysis using Gumbel distribution method at Garudeshwar Weir, Narmada Basin. Int J Trend Res Develop, 7(1). www.ijtrd.com
Rahim MA, Gnan ES, Friedland CJ, Mostafiz RB, Rohli RV (2022a). An improved micro scale average annual flood loss implementation approach. In: EGU General Assembly 2022. Vienna, Austria, 23–27 May. https://doi.org/10.5194/egusphere-egu22-10940
Rahim MA, Friedland CJ, Mostafiz RB, Rohli RV, Bushra N (2022b) Apportionment of average annual flood loss between homeowner and insurer. https://doi.org/10.21203/rs.3.rs-1483728/v1
Rose A, Porter K, Dash N, Bouabid J, Huyck C, Whitehead J, Shaw D, Eguchi R, Taylor C, McLane T, Tobin LT, Ganderton PT, Godschalk D, Kiremidjian AS, Tierney K, West CT (2007) Benefit-cost analysis of FEMA hazard mitigation grants. Nat Hazard Rev 8(4):97–111. https://doi.org/10.1061/(ASCE)1527-6988(2007)8:4(97)
Seong K, Losey C, van Zandt S (2021) To rebuild or relocate? Long-term mobility decisions of hazard mitigation grant program (HMGP) recipients. Sustainability 13(16):8754. https://doi.org/10.3390/su13168754
Seong K, Losey C, Gu D (2022) Naturally resilient to natural hazards? Urban-rural disparities in hazard mitigation grant program assistance. Hous Policy Debate 32(1):190–210. https://doi.org/10.1080/10511482.2021.1938172
Shively G, Galopin M (2013) An overview of benefit-cost analysis. Available at http://www2.econ.iastate.edu/classes/crp274/swenson/URP290/Readings/Purdue_An%20Overview%20of%20Benefit.pdf. Last accessed:07/30/2022
Shreve CM, Kelman I (2014) Does mitigation save? Reviewing cost-benefit analyses of disaster risk reduction. Int J Disaster Risk Reduct 10(PA):213–235. https://doi.org/10.1016/j.ijdrr.2014.08.004
Singh P, Sinha VSP, Vijhani A, Pahuja N (2018) Vulnerability assessment of urban road network from urban flood. Int J Disaster Risk Red 28(2018):237–250. https://doi.org/10.1016/j.ijdrr.2018.03.017
Smith G, Vila O (2020) A national evaluation of state and territory roles in hazard mitigation: Building local capacity to implement FEMA hazard mitigation assistance grants. Sustainability 12(23):10013. https://doi.org/10.3390/su122310013
Su HT, Tung YK (2013) Incorporating uncertainty of distribution parameters due to sampling errors in flood-damage-reduction project evaluation. Water Resour Res 49(3):1680–1692. https://doi.org/10.1002/wrcr.20116
Taghinezhad A, Friedland CJ, Rohli RV (2020) Benefit-cost analysis of flood-mitigated residential buildings in Louisiana. Housing Society 48(2):185–202. https://doi.org/10.1080/08882746.2020.1796120
Taghi Nezhad Bilandi A (2018) Costs and benefits of flood mitigation in Louisiana [Doctoral dissertation, Louisiana State University]. Baton Rouge, LA. Available at https://digitalcommons.lsu.edu/gradschool_dissertations/4787. Last accessed 7/29/2022
Tate E, Strong A, Kraus T, Xiong H (2016) Flood recovery and property acquisition in Cedar Rapids Iowa. Natural Haz 80(3):2055–2079. https://doi.org/10.1007/s11069-015-2060-8
The Regulatory Group, Inc. (2003). Circular A-4. Available at https://www.regulationwriters.com/downloads/Circular-A-4.pdf. Last accessed 8/9/2022
Turnham J, Burnett K, Martin C, McCall T, Juras R, Spader J (2011) Housing Recovery on the Gulf Coast – Phase II (Results of Property Owner Survey in Louisiana, Mississippi, and Texas. www.huduser.org. Available at https://www.huduser.gov/PORTAL//publications/pdf/gulfcoast_phase2.pdf. Last accessed 29 July 2022
United States Army Corps of Engineers (USACE) (2000) Economic Guidance Memorandum (EGM) 01–03, Generic depth damage relationships. Memorandum from USACE (United States Army Corps of Engineers), Washington, DC, 1–3. Available at https://planning.erdc.dren.mil/toolbox/library/EGMs/egm01-03.pdf. Last accessed 6/15/2022
United States Army Corps of Engineers (USACE) (2006) Depth-damage relationships for structures, contents, and vehicles and content-to-structure value ratios (CSVR) in support of the Donaldsonville to the Gulf, Louisiana, Feasibility Study. March, 163. Available at https://www.mvn.usace.army.mil/Portals/56/docs/PD/Donaldsv-Gulf.pdf. Last accessed: 6/15/2022
United States Census Bureau (2023) QuickFacts Louisiana; Jefferson Parish, Louisiana. Available at https://www.census.gov/quickfacts/fact/table/LA,jeffersonparishlouisiana/BPS030221#BPS030221. Last accessed 2/3/2023
United States Department of Housing and Urban Development (2012) HUD HOC Reference Guide. Available at https://archives.hud.gov/offices/hsg/sfh/ref/sfhp1-25.cfm. Last accessed 8/10/2022
Venton CC, Siedenburg J (2010) Investing in communities: the benefits and costs of building resilience for food security in Malawi. Tearfund. Available at https://doi.org/10.13140/RG.2.1.1177.2964
Vilá O, Smith G, Cutts B, Gyawali S, Bhattarai S (2022) Equity in FEMA hazard mitigation assistance programs: the role of state hazard mitigation officers. Environ Sci Policy 136(2022):632–641. https://doi.org/10.1016/j.envsci.2022.07.027
Wing OEJ, Lehman W, Bates PD, Sampson CC, Quinn N, Smith AM, Neal JC, Porter JR, Kousky C (2022) Inequitable patterns of US flood risk in the Anthropocene. Nat Clim Chang 12(2):156–162. https://doi.org/10.1038/s41558-021-01265-6
Wong FS, Chen H, Dong W (2000) Uncertainty modeling for disaster loss estimation. Proc. 12 WCEE, New Zealand. Available at http://www.iitk.ac.in/nicee/wcee/article/0364.pdf. Last accessed: 07/30/2022
Xian S, Lin N, Kunreuther H (2017) Optimal house elevation for reducing flood-related losses. J Hydrol 548(2017):63–74. https://doi.org/10.1016/j.jhydrol.2017.02.057
Zarekarizi M, Srikrishnan V, Keller K (2020) Neglecting uncertainties biases house-elevation decisions to manage riverine flood risks. Nat Commun 11(1):1–11. https://doi.org/10.1038/s41467-020-19188-9
Funding
This research was funded by the U.S. Department of Housing and Urban Development (HUD; 2019–2022; Award No. H21679CA, Subaward No. S01227-1). Any opinions, findings, conclusions, and recommendations expressed in this manuscript are those of the authors and do not necessarily reflect the official policy or position of the funders.
Author information
Authors and Affiliations
Contributions
AAA developed the methodology, analyzed the data, interpreted the findings, and developed the initial text. RBM developed the methodology, prepared the input data, and supervised the research. CJF supervised the research, provided insight and recommendation for the research, and reviewed and edited the manuscript. RVR reviewed and edited the writing of the manuscript and provided insight and recommendations for the research. AT contributed to the literature and reviewed the manuscript. MAR reviewed and edited the manuscript.
Corresponding author
Ethics declarations
Conflict of interest
The authors declare that have no relevant financial or non-financial interests to disclose.
Consent for publication
The authors declare that the manuscript is original work and has not been published before and is not submitted for publication elsewhere.
Additional information
Publisher's Note
Springer Nature remains neutral with regard to jurisdictional claims in published maps and institutional affiliations.
Supplementary Information
Below is the link to the electronic supplementary material.
Rights and permissions
Open Access This article is licensed under a Creative Commons Attribution 4.0 International License, which permits use, sharing, adaptation, distribution and reproduction in any medium or format, as long as you give appropriate credit to the original author(s) and the source, provide a link to the Creative Commons licence, and indicate if changes were made. The images or other third party material in this article are included in the article's Creative Commons licence, unless indicated otherwise in a credit line to the material. If material is not included in the article's Creative Commons licence and your intended use is not permitted by statutory regulation or exceeds the permitted use, you will need to obtain permission directly from the copyright holder. To view a copy of this licence, visit http://creativecommons.org/licenses/by/4.0/.
About this article
Cite this article
Al Assi, A., Mostafiz, R.B., Friedland, C.J. et al. Cost-effectiveness of federal CDBG-DR Road Home Program mitigation assistance in Jefferson Parish, Louisiana. Nat Hazards 117, 1291–1319 (2023). https://doi.org/10.1007/s11069-023-05904-3
Received:
Accepted:
Published:
Version of record:
Issue date:
DOI: https://doi.org/10.1007/s11069-023-05904-3






