Abstract
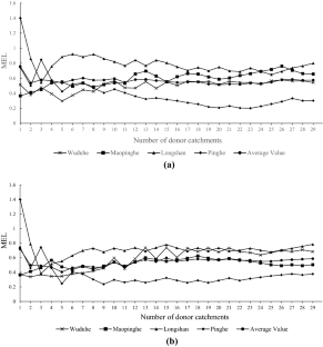
Prediction in ungauged basins (PUB) is as crucial as it is challenging. Thus far, there have been abundant regionalization studies on PUB, whereas "regionalization" is the main research method. In order to estimate Xinanjiang model parameters in ungauged areas and improve the accuracy of flood simulation for small and medium-sized ungauged catchments, the Xinanjiang model was applied on 33 mountainous small- and medium-sized catchments in south China. This study investigated the relative benefits of traditional regionalization methods (physical similarity and parameter regression) and physically consistent parameter estimation method. The latter can directly estimate three sensitive parameters of the Xinanjiang model without the need of regionalization. In addition, the effect of the number of donor catchments was addressed. The results show that the prediction accuracy of the traditional regionalization methods did not obtain satisfactory prediction results. However, the integrated schemes, which combine the regionalization methods with physically consistent methods, performed considerably better than the traditional regionalization methods, indicating that directly performing a parameter estimation from underlying surface data of ungauged catchments can improve the transferability of the Xinanjiang model in these catchments. On the other hand, the best accuracy was obtained when the number of donor catchments was equal to five in the integrated schemes. The integrated parameter estimation schemes proposed in this study support more effective hourly flood event simulation for small- and medium-sized ungauged catchments in southern China.
This is a preview of subscription content, access via your institution.







Code availability
The models and code that support the findings of this study are available from the corresponding author upon reasonable request.
References
Ali G, Tetzlaff D, Soulsby C, McDonnell JJ, Capell R (2012) A comparison of similarity indices for catchment classification using a cross-regional dataset. Adv Water Resour 40:11–22. https://doi.org/10.1016/j.advwatres.2012.01.008
Anderson RM, Koren VI, Reed SM (2006) Using SSURGO data to improve Sacramento model a priori parameter estimates. J Hydrol 320(1–2):103–116. https://doi.org/10.1016/j.jhydrol.2005.07.020
Andréassian V, Perrin C, Berthet L, Le Moine N, Lerat J, Loumagne C et al (2009) Crash tests for a standardized evaluation of hydrological models. Hydrol Earth Syst Sci Discuss Eur Geosci Union 13(10):1757–1764
Armstrong BL (1978). Derivation of initial soil moisture accounting parameters from soil properties for the national weather service river forecast system
Bao Z, Zhang J, Liu J, Fu G, Wang G, He R et al (2012) Comparison of regionalization approaches based on regression and similarity for predictions in ungauged catchments under multiple hydro-climatic conditions. J Hydrol 466:37–46. https://doi.org/10.1016/j.jhydrol.2012.07.048
Bárdossy A (2007) Calibration of hydrological model parameters for ungauged catchments. Hydrol Earth Syst Sci 11:703–710. https://doi.org/10.5194/hess-11-703-2007
Bárdossy A, Pegram GG, Samaniego L (2005) Modeling data relationships with a local variance reducing technique: applications in hydrology. Water Resour Res 41(8):W08404. https://doi.org/10.1029/2004WR003851
Blöschl G, Sivapalan M (1995) Scale issues in hydrological modelling: a review. Hydrol Process 9(3–4):251–290. https://doi.org/10.1002/hyp.3360090305
Blöschl G, Sivapalan M, Savenije H, Wagener T, Viglione A (eds) (2013) Runoff prediction in ungauged basins: synthesis across processes, places and scales. Cambridge University Press, Cambridge
Breiman L (1996) Bagging predictors. Mach Learn 24(2):123–140. https://doi.org/10.1007/BF00058655
Breiman L (2001) Random forests. Mach Learn 45(1):5–32. https://doi.org/10.1023/A:1010933404324
Dornes PF, Tolson BA, Davison B, Pietroniro A, Pomeroy JW, Marsh P (2008) Regionalisation of land surface hydrological model parameters in subarctic and arctic environments. Phys Chem Earth Parts A/B/C 33(17–18):1081–1089. https://doi.org/10.1016/j.pce.2008.07.007
Duan QY, Gupta VK, Sorooshian S (1993) Shuffled complex evolution approach for effective and efficient global minimization. J Optim Theory Appl 76(3):501–521. https://doi.org/10.1007/BF00939380
Freund Y, Schapire RE (1995) A desicion-theoretic generalization of on-line learning and an application to boosting. In European conference on computational learning theory, Springer, Berlin, Heidelberg, pp. 23-37
Gao HK, Hrachowitz M, Sriwongsitanon N, Fenicia F, Gharari S, Savenije HH (2016) Accounting for the influence of vegetation and landscape improves model transferability in a tropical savannah region. Water Resour Res 52(10):7999–8022. https://doi.org/10.1002/2016WR019574
Goswami M, O’connor KM, Bhattarai KP (2007) Development of regionalisation procedures using a multi-model approach for flow simulation in an ungauged catchment. J Hydrol 333(2–4):517–531. https://doi.org/10.1016/j.jhydrol.2006.09.018
Hrachowitz M, Savenije HHG, Blöschl G, McDonnell JJ, Sivapalan M, Pomeroy JW et al (2013) A decade of predictions in ungauged basins (PUB)—a review. Hydrol Sci J 58(6):1198–1255. https://doi.org/10.1080/02626667.2013.803183
Institute of Hydrology (IH) (1999) Flood estimation handbook, vol 5. Catchment Descriptors, Wallingford, UK
Kling H, Gupta H (2009) On the development of regionalization relationships for lumped watershed models: the impact of ignoring sub-basin scale variability. J Hydrol 373(3–4):337–351. https://doi.org/10.1016/j.jhydrol.2009.04.031
Kokkonen TS, Jakeman AJ, Young PC, Koivusalo HJ (2003) Predicting daily flows in ungauged catchments: model regionalization from catchment descriptors at the Coweeta Hydrologic Laboratory, North Carolina. Hydrol Process 17(11):2219–2238. https://doi.org/10.1002/hyp.1329
Koren V, Smith M, Wang D, Zhang, Z (2000) Use of soil property data in the derivation of conceptual rainfall–runoff model parameters. In: Proceedings of the 15th conference on hydrology, American Meteorological Society, Long Beach, California, pp. 103–106
Lamb R, Kay AL (2004) Confidence intervals for a spatially generalized, continuous simulation flood frequency model for Great Britain. Water Resour Res 40(7):196–212. https://doi.org/10.1029/2003WR002428
Li HX, Zhang YQ, Chiew FH, Xu SG (2009) Predicting runoff in ungauged catchments by using Xinanjiang model with MODIS leaf area index. J Hydrol 370(1–4):155–162. https://doi.org/10.1016/j.jhydrol.2009.03.003
Li ZJ, Liang K, Kan GY, Li QL, Yao C, Zhang K (2016) A method for deriving the river network flow concentration parameter Cs of the Xin’anjiang model. Adv Water Sci 27(5):652–661. https://doi.org/10.14042/j.cnki.32.1309.2016.05.002 (in Chinese with English abstract)
Liaw A, Wiener M (2002) Classification and regression by randomForest. R News 2(3):18–22
Liu ZY, Hou AZ, Wang XQ (2015) Flood forecasting for small-and medium-sized rivers based on distributed hydrological modeling. J China Hydrol 35(1):1–6 (in Chinese with English abstract)
Lü HS, Hou T, Horton R, Zhu YH, Chen X, Jia YW et al (2013) The streamflow estimation using the Xinanjiang rainfall runoff model and dual state-parameter estimation method. J Hydrol 480:102–114. https://doi.org/10.1016/j.jhydrol.2012.12.011
McIntyre N, Lee H, Wheater H, Young A, Wagener T (2005) Ensemble predictions of runoff in ungauged catchments. Water Resour Res 41(12):W1234. https://doi.org/10.1029/2005WR004289
Merz R, Blöschl G (2004) Regionalisation of catchment model parameters. J Hydrol 287(1–4):95–123. https://doi.org/10.1016/j.jhydrol.2003.09.028
Merz R, Blöschl G, Humer G (2008) National flood discharge mapping in Austria. Nat Hazards 46(1):53–72. https://doi.org/10.1007/s11069-007-9181-7
Moore RJ, Bell VA, Austin RM, Harding RJ (1999) Methods for snowmelt forecasting in upland Britain. Hydrol Earth Syst Sci 3(2):233–246
Moore RJ, Cole SJ, Bell VA, Jones DA (2006) Issues in flood forecasting: ungauged basins, extreme floods and uncertainty. In: Tchiguuirinskaia I, Thein KNN, Hubert P (eds) Frontiers in flood forecasting, eighth kovacs colloquium, June/July 2006, IAHS Publication No. 305. UNESCO, Paris, pp 103–122
MWR (2008) Standard for Hydrological Information and Hydrological Forecasting(GB/T 22482-2008). Ministry of Water Resources of the People's Republic of China, Standards Press of China, Beijing. (in Chinese)
Nash JE, Sutcliffe JV (1970) River flow forecasting through conceptual models part I—A discussion of principles. J Hydrol 10(3):282–290. https://doi.org/10.1016/0022-1694(70)90255-6
Oudin L, Andréassian V, Perrin C, Michel C, Le Moine N (2008) Spatial proximity, physical similarity, regression and ungaged catchments: a comparison of regionalization approaches based on 913 French catchments. Water Resour Res 44(3):893–897. https://doi.org/10.1029/2007WR006240
Oudin L, Kay A, Andréassian V, Perrin C (2010) Are seemingly physically similar catchments truly hydrologically similar. Water Resour Res 46(11):W11558. https://doi.org/10.1029/2009WR008887
Parajka J, Merz R, Blöschl G (2005) A comparison of regionalisation methods for catchment model parameters. Hydrol Earth Syst Sci 9:157–171. https://doi.org/10.5194/hess-9-157-2005
Parajka J, Viglione A, Rogger M, Salinaset JL, Sivapalan L, Blöschl G (2013) Comparative assessment of predictions in ungauged basins–Part 1: runoff hydrograph studies. Hydrol Earth Syst Sci 17:1783–1795. https://doi.org/10.5194/hess-17-1783-2013
Peel MC, Chiew FH, Western AW, McMahon TA (2000) Extension of unimpaired monthly streamflow data and regionalisation of parameter values to estimate streamflow in ungauged catchments. Report to the National Land and Water Resources Audit
Peñas FJ, Barquín J, Snelder TH, Booker DJ, Álvarez C (2014) The influence of methodological procedures on hydrological classification performance. Hydrol Earth Syst Sci 18:3393–3409. https://doi.org/10.5194/hess-18-3393-2014
Pilon PJ (2002) Guidelines for reducing flood losses. United Nations International Strategy for Disaster Reduction (UNISDR), Geneva
Post DA (2009) Regionalizing rainfall–runoff model parameters to predict the daily streamflow of ungauged catchments in the dry tropics. Hydrol Res 40(5):433–444. https://doi.org/10.2166/nh.2009.036
Prieto C, Le Vine N, Kavetski D, García E, Medina R (2019) Flow prediction in ungauged catchments using probabilistic Random forests regionalization and new statistical adequacy tests. Water Resour Res 55(5):4364–4392. https://doi.org/10.1029/2018WR023254
Rodríguez-Iturbe I, González-Sanabria M, Bras RL (1982) A geomorphoclimatic theory of the instantaneous unit hydrograph. Water Resour Res 18(4):877–886. https://doi.org/10.1029/WR018i004p00877
Saadi M, Oudin L, Ribstein P (2019) Random forest ability in regionalizing hourly hydrological model parameters. Water 11(8):1540. https://doi.org/10.3390/w11081540
Samaniego L, Bárdossy A (2005) Robust parametric models of runoff characteristics at the mesoscale. J Hydrol 303(1–4):136–151. https://doi.org/10.1016/j.jhydrol.2004.08.022
Samaniego L, Bárdossy A, Kumar R (2010) Streamflow prediction in ungauged catchments using copula-based dissimilarity measures. Water Resour Res 46(2):W02506. https://doi.org/10.1029/2008WR007695
Sefton CEM, Howarth SM (1998) Relationships between dynamic response characteristics and physical descriptors of catchments in England and Wales. J Hydrol 211(1–4):1–16. https://doi.org/10.1016/S0022-1694(98)00163-2
Seibert J (1999) Regionalisation of parameters for a conceptual rainfall-runoff model. Agric For Meteorol 98:279–293. https://doi.org/10.1016/S0168-1923(99)00105-7
Sivapalan M, Takeuchi K, Franks SW, Gupta VK, Karambiri H, Lakshmi V et al (2003) IAHS decade on predictions in ungauged basins (PUB), 2003–2012: shaping an exciting future for the hydrological sciences. Hydrol Sci J 48(6):857–880. https://doi.org/10.1623/hysj.48.6.857.51421
Snelder T, Ortiz JB, Booker D, Lamouroux N, Pella H, Shankar U (2012) Can bottom-up procedures improve the performance of stream classifications? Aquat Sci 74(1):45–59. https://doi.org/10.1007/s00027-011-0194-7
Todini E, Ciarapica L (2001) The TOPKAPI model. In: Singh VP et al (eds) Mathematical models of large watershed hydrology, chapter 12. Water Resources Publications, Littleton, Colorado
Tung YK, Yeh KC, Yang JC (1997) Regionalization of unit hydrograph parameters: 1. Comparison of regression analysis techniques. Stoch Hydrol Hydraul 11(2):145–171. https://doi.org/10.1007/BF02427913
Viviroli D, Zappa M, Schwanbeck J, Gurtz J, Weingartner R (2009a) Continuous simulation for flood estimation in ungauged mesoscale catchments of Switzerland-Part I: modelling framework and calibration results. J Hydrol 377(1–2):191–207. https://doi.org/10.1016/j.jhydrol.2009.08.023
Viviroli D, Mittelbach H, Gurtz J, Weingartner R (2009b) Continuous simulation for flood estimation in ungauged mesoscale catchments of Switzerland-Part II: parameter regionalisation and flood estimation results. J Hydrol 377(1–2):208–225. https://doi.org/10.1016/j.jhydrol.2009.08.022
Wagener T, Wheater HS (2006) Parameter estimation and regionalization for continuous rainfall-runoff models including uncertainty. J Hydrol 320(1–2):132–154. https://doi.org/10.1016/j.jhydrol.2005.07.015
Williams JR, Ouyang Y, Chen JS, Ravi V, Jewett DSBDG (1998) Estimation of infiltration rate in vadose zone: application of selected mathematical models. ALM (METI) Contract No. 68-W5–0011 DO 022. Dynamac Corp. 68-C4–0031
Wolpert DH, Macready WG (1999) An efficient method to estimate bagging’s generalization error. Mach Learn 35(1):41–55. https://doi.org/10.1023/A:1007519102914
World Meteorological Organization (WMO) (2011) Manual on flood forecasting and warning WMO-No.1072. World Meteorological Organization, Geneva, Switzerland
Xu CY (1999) Estimation of parameters of a conceptual water balance model for ungauged catchments. Water Resour Manag 13(5):353–368. https://doi.org/10.1023/A:1008191517801
Xu CY (2003) Testing the transferability of regression equations derived from small sub-catchments to a large area in central Sweden. Hydrol Earth Syst Sci 7(3):317–324. https://doi.org/10.5194/hess-7-317-2003
Yadav M, Wagener T, Gupta H (2007) Regionalization of constraints on expected watershed response behavior for improved predictions in ungauged basins. Adv Water Resour 30(8):1756–1774. https://doi.org/10.1016/j.advwatres.2007.01.005
Yao C, Li ZJ, Yu ZB, Zhang K (2012) A priori parameter estimates for a distributed, grid-based Xinanjiang model using geographically based information. J Hydrol 468:47–62. https://doi.org/10.1016/j.jhydrol.2012.08.025
Yao C, Zhang K, Yu ZB, Li ZJ, Li QL (2014) Improving the flood prediction capability of the Xinanjiang model in ungauged nested catchments by coupling it with the geomorphologic instantaneous unit hydrograph. J Hydrol 517:1035–1048. https://doi.org/10.1016/j.jhydrol.2014.06.037
Yao C, Ye JY, He ZX, Bastola S, Zhang K, Li ZJ (2019) Evaluation of flood prediction capability of the distributed Grid‐Xinanjiang model driven by weather research and forecasting precipitation. J Flood Risk Manag 12(S1). https://doi.org/10.1111/jfr3.12544
Young AR (2006) Stream flow simulation within UK ungauged catchments using a daily rainfall-runoff model. J Hydrol 320(1–2):155–172. https://doi.org/10.1016/j.jhydrol.2005.07.017
Zhang D, Zhang L, Guan Y, Chen X, Chen X (2012) Sensitivity analysis of Xinanjiang rainfall–runoff model parameters: a case study in Lianghui, Zhejiang province. China Hydrol Res 43(1–2):123–134. https://doi.org/10.2166/nh.2011.131
Zhang Y, Chiew FH (2009) Relative merits of different methods for runoff predictions in ungauged catchments. Water Resour Res 45(7):W07412. https://doi.org/10.1029/2008WR007504
Zhao RJ (1992) The Xinanjiang model applied in China. J Hydrol 135(1–4):371–381. https://doi.org/10.1016/0022-1694(92)90096-E
Zhao RJ, Liu X (1995) The Xinanjiang model. In: Singh V (ed) Computer models of watershed hydrology. Water Resources Publications, Highlands Ranch, Colorado, pp 215–232
Zhao RJ, Zhang YL, Fang LR, Liu XR, Zhang QS (1980) The Xinanjiang model. In: Hydrological forecasting proceedings Oxford symposium, IAHS
Acknowledgements
The authors wish to thank all postgraduates and technicians involved in this work. This research is jointly funded by the National Key R&D Program of China (Grant No. 2018YFC1508103), the National Natural Science Foundation of China (Grant Nos. 51979070, 52079035, and 51909059), the Key R&D Program of Ningxia Province of China (Grant No. 2018BEG02010) and the Graduate Student Scientific Research Innovation Projects in Jiangsu Province (KYCX20_0466).
Author information
Authors and Affiliations
Contributions
All authors contributed to the study conception and design. J.G. carried out the writing-original draft preparation and methodology in the article. C.Y. carried out conceptualization, formal analysis and data curation in the article. Z.L. provided the resources, funding acquisition, investigation and administration for the research. Y.C. and B.T. carried out validation and writing-review & editing in the article. Y.H. carried out software and investigation for this research. All authors commented on previous versions of the manuscript. All authors read and approved the final manuscript.
Corresponding author
Ethics declarations
Conflict of interest
The authors declare that they have no conflict of interest.
Availability of data
The data that support the findings of this study are available from the corresponding author upon reasonable request.
Additional information
Publisher's Note
Springer Nature remains neutral with regard to jurisdictional claims in published maps and institutional affiliations.
Rights and permissions
About this article
Cite this article
Gong, J., Yao, C., Li, Z. et al. Improving the flood forecasting capability of the Xinanjiang model for small- and medium-sized ungauged catchments in South China. Nat Hazards 106, 2077–2109 (2021). https://doi.org/10.1007/s11069-021-04531-0
Received:
Accepted:
Published:
Issue Date:
DOI: https://doi.org/10.1007/s11069-021-04531-0
Keywords
- Flood simulation
- Xinanjiang model
- Small and medium-sized ungauged catchments
- South china
- Regionalization
- Physically consistent methods