Abstract
Rapid prediction of the spatial distribution of the run-up from near-field tsunamis is critically important for tsunami hazard characterization. Even though significant advances have been made over the last decade, physics-based numerical models are still computationally intensive. Here, we present a response surface methodology (RSM)-based model called the tsunami run-up response function (TRRF). Derived from a discrete set of tsunami simulations, TRRF can produce a rapid prediction of a near-field tsunami run-up distribution that takes into account the influence of variable local topographic and bathymetric characteristics in a given region. This new method reduces the number of simulations required to build an RSM model by separately modeling the leading order contribution and the residual part of the tsunami run-up distribution. Using the northern region of Puerto Rico as a case study, we investigated the performance (accuracy, computational time) of the TRRF. The results reveal that the TRRF achieves reliable prediction while reducing the prediction time by six orders of magnitude (computational time: \(< 1\) s per earthquake).
This is a preview of subscription content, access via your institution.















References
Aki K (1966) Generation and Propagation of G Waves from the Niigata Earthquake of June 16, 1964.: Part 2. Estimation of earthquake moment, released energy, and stress-strain drop from the G wave spectrum. Bulletin of the Earthquake Research Institute, University of Tokyo 44(1):73–88
Amante C, Eakins BW (2009) Data from ETOPO1 1 arc-minute global relief model. National Geophysical Data Center, NOAA. Available at https://doi.org/10.7289/V5C8276M
Annaka T, Satake K, Sakakiyama T, Yanagisawa K, Shuto N (2007) Logic-tree approach for probabilistic tsunami hazard analysis and its applications to the Japanese coasts. Pure Appl Geophys 164:577–592. https://doi.org/10.1007/s00024-006-0174-3
Blaser L, Krüger F, Ohrnberger M, Scherbaum F (2010) Scaling relations of earthquake source parameter estimates with special focus on subduction environment. Bull Seismol Soc Am 100(6):2914–2926. https://doi.org/10.1785/0120100111
Box GEP, Wilson KB (1951) On the experimental attainment of optimum conditions. J R Stat Soc Ser B (Methodological) 13(1):1–45
Davies G (2019) Tsunami variability from uncalibrated stochastic earthquake models: tests against deep ocean observations 2006–2016. Geophys J Int 218(3):1939–1960. https://doi.org/10.1093/gji/ggz260
Davies G, Griffin J, Løvholt F, Glimsdal S, Harbitz C, Thio HK, Lorito S, Basili R, Selva J, Geist E et al (2018) A global probabilistic tsunami hazard assessment from earthquake sources. Geol Soc Lond Spec Publ 456(1):219–244. https://doi.org/10.1144/SP456.5
Geist EL (2002) Complex earthquake rupture and local tsunamis. J Geophys Res Solid Earth 107(B5):ESE 2. https://doi.org/10.1029/2000JB000139
Gica E, Spillane MC, Titov VV, Chamberlin CD, Newman JC (2008) Development of the forecast propagation database for NOAA’s short-term inundation forecast for tsunamis (SIFT). NOAA Technical Memorandum OAR PMEL 139
Glimsdal S, Løvholt F, Harbitz CB, Romano F, Lorito S, Orefice S, Brizuela B, Selva J, Hoechner A, Volpe M et al (2019) A new approximate method for quantifying tsunami maximum inundation height probability. Pure Appl Geophys 176(7):3227–3246. https://doi.org/10.1007/s00024-019-02091-w
Grilli ST, Dubosq S, Pophet N, Pérignon Y, Kirby JT, Shi F (2010) Numerical simulation and first-order hazard analysis of large co-seismic tsunamis generated in the Puerto Rico trench: Near-field impact on the North shore of Puerto Rico and far-field impact on the US East Coast. Nat Hazards Earth Syst Sci 10(10):2109–2125. https://doi.org/10.5194/nhess-10-2109-2010
Hanks TC, Kanamori H (1979) A moment magnitude scale. J Geophys Res Solid Earth 84(B5):2348–2350. https://doi.org/10.1029/JB084iB05p02348
Harbitz CB, Løvholt F, Bungum H (2014) Submarine landslide tsunamis: How extreme and how likely? Nat Hazards 72(3):1341–1374. https://doi.org/10.1007/s11069-013-0681-3
Heidarzadeh M, Harada T, Satake K, Ishibe T, Takagawa T (2017) Tsunamis from strike-slip earthquakes in the Wharton Basin, northeast Indian Ocean: March 2016 Mw 7.8 event and its relationship with the April 2012 Mw 8.6 event. Geophys J Int 211(3):1601–1612. https://doi.org/10.1093/gji/ggx395
Kamigaichi O (2011) Tsunami forecasting and warning. Extreme environmental events: complexity in forecasting and early warning. Springer, New York, pp 982–1007
Lane EM, Borrero J, Whittaker CN, Bind J, Chagué-Goff C, Goff J, Goring D, Hoyle J, Mueller C, Power WL et al (2017) Effects of inundation by the 14th november, 2016 Kaikōura tsunami on banks Peninsula, Canterbury, New Zealand. Pure Appl Geophys 174(5):1855–1874. https://doi.org/10.1007/s00024-017-1534-x
LeVeque RJ, George DL, Berger MJ (2011) Tsunami modelling with adaptively refined finite volume methods. Acta Numerica 20:211–289. https://doi.org/10.1017/S0962492911000043
Li L, Switzer AD, Chan CH, Wang Y, Weiss R, Qiu Q (2016) How heterogeneous coseismic slip affects regional probabilistic tsunami hazard assessment: a case study in the South China Sea. J Geophys Res Solid Earth 121(8):6250–6272. https://doi.org/10.1002/2016JB013111
Li L, Switzer AD, Wang Y, Chan CH, Qiu Q, Weiss R (2018) A modest 0.5-m rise in sea level will double the tsunami hazard in Macau. Sci Adv 4(8):eaat1180. https://doi.org/10.1126/sciadv.aat1180
Lin SC, Wu TR, Yen E, Chen HY, Hsu J, Tsai YL, Lee CJ, Philip LFL (2015) Development of a tsunami early warning system for the South China Sea. Ocean Eng 100:1–18. https://doi.org/10.1016/j.oceaneng.2015.02.003
López-Venegas AM, Horrillo J, Pampell-Manis A, Huérfano V, Mercado A (2015) Advanced tsunami numerical simulations and energy considerations by use of 3D–2D coupled models: the October 11, 1918, Mona passage tsunami. Pure Appl Geophys 172(6):1679–1698. https://doi.org/10.1007/s00024-014-0988-3
Mori N, Goda K, Cox D (2018) Recent process in probabilistic tsunami hazard analysis (PTHA) for mega thrust subduction earthquakes. The 2011 Japan earthquake and tsunami: reconstruction and restoration. Springer, Berlin, pp 469–485
Mulia IE, Gusman AR, Satake K (2018) Alternative to non-linear model for simulating tsunami inundation in real-time. Geophys J Int 214(3):2002–2013. https://doi.org/10.1093/gji/ggy238
Myers RH, Montgomery DC, Anderson-Cook CM (2016) Response surface methodology: process and product optimization using designed experiments. Wiley, Hoboken
National Research Council (2011) Tsunami warning and preparedness: an assessment of the U.S. tsunami program and the nation’s preparedness efforts. The National Academies Press, Washington, DC. https://doi.org/10.17226/12628
Nealon JW, Dillon WP (2001) Earthquakes and tsunamis in Puerto Rico and the US Virgin Islands. Technical report, US Geological Survey
NGDC (2005) Data from U.S. coastal relief model-Puerto Rico. National geophysical data center, NOAA. Available at https://doi.org/10.7289/V57H1GGW. Deposited 1 January 2005. https://www.ncei.noaa.gov/metadata/geoportal/rest/metadata/item/gov.noaa.ngdc.mgg.dem:290/html
Okada Y (1985) Surface deformation due to shear and tensile faults in a half-space. Bull Seismol Society Am 75(4):1135–1154
Okal EA, Synolakis CE (2004) Source discriminants for near-field tsunamis. Geophys J Int 158(3):899–912. https://doi.org/10.1111/j.1365-246X.2004.02347.x
Paris A, Okal EA, Guérin C, Heinrich P, Schindelé F, Hébert H (2019) Numerical modeling of the June 17, 2017 landslide and tsunami events in Karrat Fjord, West Greenland. Pure Appl Geophys 176:3035–3057. https://doi.org/10.1007/s00024-019-02123-5
Park H, Cox DT (2016) Probabilistic assessment of near-field tsunami hazards: inundation depth, velocity, momentum flux, arrival time, and duration applied to Seaside, Oregon. Coast Eng 117:79–96. https://doi.org/10.1016/j.coastaleng.2016.07.011
Park H, Cox DT, Barbosa AR (2018) Probabilistic tsunami hazard assessment (PTHA) for resilience assessment of a coastal community. Nat Hazards 94(3):1117–1139. https://doi.org/10.1007/s11069-018-3460-3
Popinet S (2015) A quadtree-adaptive multigrid solver for the Serre–Green–Naghdi equations. J Comput Phys 302:336–358. https://doi.org/10.1016/j.jcp.2015.09.009
Reid HF, Taber S (1919) The Porto Rico earthquakes of October–November. Bull Seismol Soc Am 9(4):95–127
Ruiz JA, Fuentes M, Riquelme S, Campos J, Cisternas A (2015) Numerical simulation of tsunami runup in northern Chile based on non-uniform k2slip distributions. Nat Hazards 79(2):1177–1198. https://doi.org/10.1007/s11069-015-1901-9
Sassa S, Takagawa T (2019) Liquefied gravity flow-induced tsunami: first evidence and comparison from the 2018 Indonesia Sulawesi earthquake and tsunami disasters. Landslides 16(1):195–200. https://doi.org/10.1007/s10346-018-1114-x
Setiyono U, Gusman AR, Satake K, Fujii Y (2017) Pre-computed tsunami inundation database and forecast simulation in Pelabuhan Ratu, Indonesia. Pure Appl Geophys 174(8):3219–3235. https://doi.org/10.1007/s00024-017-1633-8
Shi F, Kirby JT, Harris JC, Geiman JD, Grilli ST (2012) A high-order adaptive time-stepping TVD solver for Boussinesq modeling of breaking waves and coastal inundation. Ocean Model 43:36–51. https://doi.org/10.1016/j.ocemod.2011.12.004
Thingbaijam KKS, Mai PM, Goda K (2017) New empirical earthquake source-scaling laws. Bull Seismol Soc Am 107(5):2225–2246. https://doi.org/10.1785/0120170017
Titov V, Rabinovich AB, Mofjeld HO, Thomson RE, González FI (2005) The global reach of the 26 December 2004 Sumatra tsunami. Science 309(5743):2045–2048. https://doi.org/10.1126/science.1114576
Tolkova E, Tanaka H, Roh M (2015) Tsunami observations in rivers from a perspective of tsunami interaction with tide and riverine flow. Pure Appl Geophys 172(3–4):953–968. https://doi.org/10.1007/s00024-014-1017-2
Uri S, Lee HJ, Geist EL, Twichell D (2009) Assessment of tsunami hazard to the US East Coast using relationships between submarine landslides and earthquakes. Mar Geol 264(1–2):65–73. https://doi.org/10.1016/j.margeo.2008.05.011
USGS (2017) Data from advanced national seismic system (ANSS) comprehensive catalog of earthquake events and products. Earthquake hazards program, U.S. Geological Survey. Available at https://doi.org/10.5066/F7MS3QZH. Deposited 1 January 2017. https://earthquake.usgs.gov/earthquakes/search/
Vincenty T (1975) Direct and inverse solutions of geodesics on the ellipsoid with application of nested equations. Surv Rev 23(176):88–93
Wei Y, Chamberlin C, Titov VV, Tang L, Bernard EN (2013) Modeling of the 2011 Japan tsunami: lessons for near-field forecast. Pure Appl Geophys 170(6–8):1309–1331. https://doi.org/10.1007/s00024-012-0519-z
Zainali A, Marivela R, Weiss R, Yang Y, Irish JL (2018) Numerical simulation of nonlinear long waves in the presence of discontinuous coastal vegetation. Mar Geol 396:142–149. https://doi.org/10.1016/j.margeo.2017.08.001
Zhang YJ, Witter RC, Priest GR (2011) Tsunami-tide interaction in 1964 Prince William sound tsunami. Ocean Model 40(3–4):246–259. https://doi.org/10.1016/j.ocemod.2011.09.005
Acknowledgements
This material is based upon work supported by the National Science Foundation under Grant Nos. 1630099 and 1735139. The authors acknowledge Advanced Research Computing at Virginia Tech for providing computational resources and technical support that have contributed to the results reported within this paper. URL: http://www.arc.vt.edu
Author information
Authors and Affiliations
Corresponding author
Ethics declarations
Conflict of interest
The authors declare that they have no conflict of interest.
Additional information
Publisher's Note
Springer Nature remains neutral with regard to jurisdictional claims in published maps and institutional affiliations.
Appendices
Appendix 1: Design of experiments
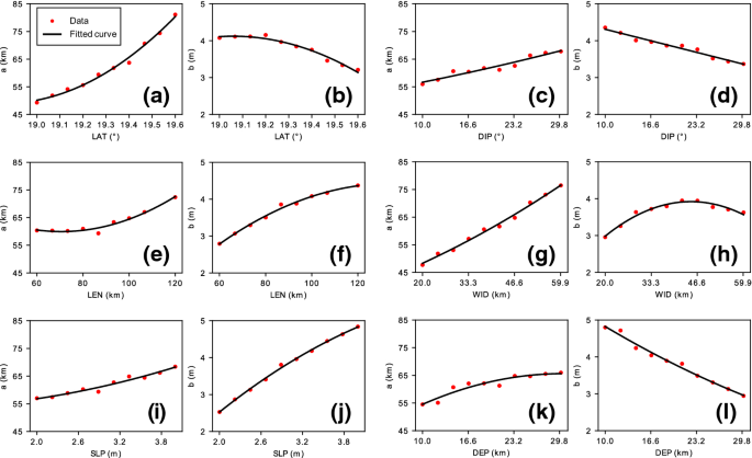
The tsunamigenic–earthquake scenarios were designed in a three-level full factorial. The level of the design of experiments (DoE) was determined based on preliminary simulations where 60 cases were considered as follows. We set a reference case where the fault parameters are as follows: \(LON = 66.4^{{\circ }}\) W, \(LAT =19.3^{{\circ }}\) N, \(STR=90^{{\circ }}\), \(DIP=20^{{\circ }}\), \(RAK=90^{{\circ }}\), \(LEN=90\,{\mathrm{km}}\), \(WID=40\,{\mathrm{km}}\), \(SLP=3\,{\mathrm{m}}\), \(DEP=20\,{\mathrm{km}}\), which are the same as the central level values used in Table 1. Based on the reference case, we performed 60 simulations, varying each of the six fault parameters (LAT, LEN, WID, DIP, SLP, DEP) one at a time through a uniformly distributed array of 10 values within the parameter’s range shown in Table 1. The 60 simulations show that the second-order polynomial model, which requires at least three-level data, is enough to fit the fault parameters to the OS formula’s coefficients a and b (Fig. 16).
The OS formula coefficients (a and b) variation in terms of RSM parameters: a, b epicenter latitude, c, d dip angle, e, f fault length, g, h fault width, i, j slip, k, l top-edge fault depth. The red dots represent the simulated coefficients and the black line represents the best-fitting curve based on the second-order polynomial model
Appendix 2: Sensitivity test
While developing the TRRF for northern Puerto Rico, we encountered numerical model stability issues with four simulations (0.5% of simulations) among the 729 scenarios. The stability issue occurred when the LAT is \(19.6^{{\circ }}\), earthquake magnitude (LEN, WID, SLP) is relatively large, DIP is shallow and DEP is deep (Table 2). Even though it is difficult to fully interpret the reason of this stability problem, we think that one of the reasons may be that some part of the fault lies in the Puerto Rico Trench where the water depth abruptly changes, and the grid resolution used in this study may not be sufficiently resolved for the case when the fault lies in steep slopes (Fig. 2). In order to test whether building the TRRF with 725 instead of 729 simulations affected the accuracy of the TRRF, we conducted a sensitivity test as follows. We randomly chose four simulations among the 725 successful simulations. We built the TRRF with 721 simulations, where the four randomly chosen scenarios were intentionally removed. We tested this TRRF based on the 100 simulation cases used in Test 4, which were never used in developing the TRRF and whose fault parameters were selected randomly. We repeated this procedure 10 different times. The result of the sensitivity test shows that the impact on accuracy of building the TRRF without four additional simulations is negligible (the largest difference of \(NRMSE =1.27\%)\).
Rights and permissions
About this article
Cite this article
Lee, JW., Irish, J.L. & Weiss, R. Rapid prediction of alongshore run-up distribution from near-field tsunamis. Nat Hazards 104, 1157–1180 (2020). https://doi.org/10.1007/s11069-020-04209-z
Received:
Accepted:
Published:
Issue Date:
DOI: https://doi.org/10.1007/s11069-020-04209-z
Keywords
- Tsunami
- Run-up
- Response surface methodology
- Puerto Rico
