Abstract
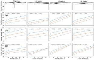
Flash flood disaster is a prominent issue threatening public safety and social development throughout the world, especially in mountainous regions. Rainfall threshold is a widely accepted alternative to hydrological forecasting for flash flood warning due to the short response time and limited observations of flash flood events. However, determination of rainfall threshold is still very complicated due to multiple impact factors, particular for antecedent soil moisture and rainfall patterns. In this study, hydrological simulation approach (i.e., China Flash Flood-Hydrological Modeling System: CNFF-HMS) was adopted to capture the flash flood processes. Multiple scenarios were further designed with consideration of antecedent soil moisture and rainfall temporal patterns to determine the possible assemble of rainfall thresholds by driving the CNFF-HMS. Moreover, their effects on rainfall thresholds were investigated. Three mountainous catchments (Zhong, Balisi and Yu villages) in southern China were selected for case study. Results showed that the model performance of CNFF-HMS was very satisfactory for flash flood simulations in all these catchments, especially for multimodal flood events. Specifically, the relative errors of runoff and peak flow were within ± 20%, the error of time to peak flow was within ± 2 h and the Nash–Sutcliffe efficiency was greater than 0.90 for over 90% of the flash flood events. The rainfall thresholds varied between 93 and 334 mm at Zhong village, between 77 and 246 mm at Balisi village and between 111 and 420 mm at Yu village. Both antecedent soil moistures and rainfall temporal pattern significantly affected the variations of rainfall threshold. Rainfall threshold decreased by 8–38 and 0–42% as soil saturation increased from 0.20 to 0.50 and from 0.20 to 0.80, respectively. The effect of rainfall threshold was the minimum for the decreasing hyetograph (advanced pattern) and the maximum for the increasing hyetograph (delayed pattern), while it was similar for the design hyetograph and triangular hyetograph (intermediate patterns). Moreover, rainfall thresholds with short time spans were more suitable for early flood warning, especially in small rural catchments with humid climatic characteristics. This study was expected to provide insights into flash flood disaster forecasting and early warning in mountainous regions, and scientific references for the implementation of flash flood disaster prevention in China.









Similar content being viewed by others
References
Adamovic M, Branger F, Braud I, Kralisch S (2016) Development of a data-driven semi-distributed hydrological model for regional scale catchments prone to Mediterranean flash floods. J Hydrol 541:173–189
An J, Zheng FL, Han Y (2014) Effects of rain storm patterns on runoff and sediment yield processes. Soil Sci 179(6):293–303
ASCE (1993) Criteria for evaluation of watershed models. J Irrig Drain Eng 119(3):429–442
Bezak N, Šraj M, Mikoš M (2016) Copula-based IDF curves and empirical rainfall thresholds for flash floods and rainfall-induced landslides. J Hydrol 541:272–284
Borga M, Anagnostou EN, Bloschl G, Creutin JD (2011) Flash flood forecasting, warning and risk management: the HYDRATE project. Environ Sci Policy 14(7):834–844
Camarasa-Belmonte AM (2016) Flash floods in Mediterranean ephemeral streams in Valencia Region (Spain). J Hydrol 541:99–115
Chow VT (1959) Open-channel hydraulics. McGraw-Hill, New York
Cunge JA (1969) On the subject of a flood propagation computation method (Muskingum method). J Hydraul Res 7(2):205–230
de Zeeuw JW (1973) Hydrograph analysis for areas with mainly groundwater runoff. In: Drainage principle and applications, vol 2, chapter 16, theories of field drainage and watershed runoff. Publication 16. International Institute for Land Reclamation and Improvement (ILRI), Wageningen
Douinot A, Roux H, Garambois PA, Larnier K, Labat D, Dartus D (2015) Accounting for rainfall systematic spatial variability in flash flood forecasting. J Hydrol 541:359–370
Du JK, Xie H, Hu YJ, Xu YP, Xu CY (2009) Development and testing of a new storm runoff routing approach based on time variant spatially distributed travel time method. J Hydrol 369(1–2):44–54
Flanagan DC, Foster GR, Moldenhauer WC (1988) Storm pattern effect on infiltration, runoff, and erosion. Trans ASABE 31(2):414–420
Flash Flood Early Warning System Reference Guide 2010 (2010) University Corporation for Atmospheric Research
Fread D (1993) Chapter 10: flow routing. In: Maidment DR (ed) Handbook of hydrology. McGraw-Hill, New York
GB/T 22482-2008 (2008) Standard for hydrological information and hydrological forecasting (in Chinese)
Gourley JJ, Erlingis JM, Hong Y, Wells EB (2012) Evaluation of tools used for monitoring and forecasting flash floods in the United States. Weather Forecast 27(1):158–173
Gourley JJ, Flamig ZL, Hong Y, Howard KW (2014) Evaluation of past, present and future tools for radar-based flash-flood prediction in the USA. Hydrol Sci J 59(7):1377–1389
Grillakis MG, Koutroulis AG, Komma J, Tsanis IK, Wagner W, Bloschl G (2016) Initial soil moisture effects on flash flood generation-a comparison between basins of contrasting hydro-climatic conditions. J Hydrol 541:206–217
Hapuarachchi HAP, Wang QJ, Pagano TC (2011) A review of advances in flash flood forecasting. Hydrol Process 25:2771–2784
IWHR (Institute of Water Resources and Hydropower Research) (2014) China Flash Flood-Hydrological Modeling System (CNFF-HMS). 2016SR344483, 2016SR344708, 2016SR344187 (in Chinese)
Javelle P, Demargne J, Defrance D, Pansu J, Arnaud P (2014) Evaluating flash-flood warnings at ungauged locations using post-event surveys: a case study with the AIGA warning system. Hydrol Sci J 59(7):1390–1402
Kumar R, Chatterjee AK, Lohani AK, Kumar S, Singh RD (2002) Sensitivity analysis of the GIUH based Clark model for a catchments. Water Resour Manag 16:263–278
Legates DR, McCabe GJ (1999) Evaluating the use of “goodness-of-fit” measures in hydrologic and hydroclimatic model validation. Water Resour Res 35(1):233–241
Longobardi A, Villani P, Grayson RB, Western AW (2003) On the relationship between runoff coefficient and catchment initial conditions. Proc Int Congr Model Simul 2:867–872
Maidment DR, Olivera F, Calver A, Eatherall A, Fraczek W (1996) Unit hydrograph derived from a spatially distributed velocity field. Hydrol Process 10(6):831–844
Martina MLV, Todini E, Libralon A (2006) A Bayesian decision approach to rainfall thresholds based flood warning. Hydrol Earth Syst Sci 10(3):413–426
Miao QH, Yang DW, Yang HB, Li Z (2016) Establishing a rainfall threshold for flash flood warnings in China’s mountainous areas based on a distributed hydrological model. J Hydrol 541:371–386
Moriasi DN, Arnold JG, Van Liew MW, Bingner RL, Harmel RD, Veith TL (2007) Model evaluation guidelines for systematic quantification of accuracy in watershed simulations. Trans ASABE 50(3):885–900
Muzik I (1996) Flood modeling with GIS-derived distributed unit hydrograph. Hydrol Process 10:1401–1409
NFFDPCP (National Flash Flood Disaster Prevention and Control Program) (2014) Technical requirements of flash flood disaster investigation (in Chinese)
Nguyen P, Thorstensen A, Sorooshian S, Hsu K, AghaKouchak A, Sanders B, Koren V, Cui ZT, Smith M (2016) A high resolution coupled hydrologic–hydraulic model (HiResFlood-UCI) for flash flood modeling. J Hydrol 541:401–420
Nikolopoulos EI, Anagnostou EN, Borga M, Vivoni ER, Papadopoulos A (2011) Sensitivity of a mountain basin flash flood to initial wetness condition and rainfall variability. J Hydrol 402:165–178
Norbiato D, Borga M, Esposti SD, Gaume E, Anquetin S (2008) Flash flood warning based on rainfall thresholds and soil moisture conditions: an assessment for gauged and ungauged basins. J Hydrol 362(3–4):274–290
Parsons AJ, Stone PM (2006) Effects of intra-storm variations in rainfall intensity on interrill runoff and erosion. CATENA 67:68–78
Ramírez JA (2000) Chapter 11: prediction and modeling of flood hydrology and hydraulics. In: Wohl EE (ed) Inland flood hazards: human, riparian and aquatic communities. Cambridge University Press, Cambridge
Reed S, Schaake J, Zhang ZY (2007) A distributed hydrologic model and threshold frequency-based method for flash flood forecasting at ungauged locations. J Hydrol 337:402–420
Sangati M, Borga M, Rabuffetti D, Bechini R (2009) Influence of rainfall and soil properties spatial aggregation on extreme flash flood response modelling: an evaluation based on the Sesia river basin, North Western Italy. Adv Water Resour 32:1090–1106
SCS (1985) National Engineering handbook. Section 4 hydrology. Soil Conservation Service, US Department of Agriculture, Washington, DC
Špitalar M, Gourley JJ, Lutoff C, Kirstetter PE, Brilly M, Carr N (2014) Analysis of flash flood parameters and human impacts in the US from 2006 to 2012. J Hydrol 519:863–870
Strauch AM, MacKenzie RA, Giardina CP, Bruland GL (2015) Climate driven changes to rainfall and streamflow patterns in a model tropical island hydrological system. J Hydrol 523:160–169
UNEP (2012) Early warning systems: a state of the art analysis and future directions. Division of Early Warning and Assessment (DEWA), United Nations Environment Programme (UNEP), Nairobi
Van Steenbergen N, Willems P (2013) Increasing river flood preparedness by real-time warning based on wetness state conditions. J Hydrol 489:227–237
Vincendon B, Édouard S, Dewaele H, Ducrocq V, Lespinas F, Delrieu G, Anquetin S (2016) Modeling flash floods in southern France for road management purposes. J Hydrol 541:190–205
Wang WT, Yin SQ, Xie Y, Liu BY, Liu YN (2016) Effects of four storm patterns on soil loss from five soils under natural rainfall. CATENA 141:56–65
Yang TH, Yang SC, Ho JY, Lin GF, Hwang GD, Lee CS (2015) Flash flood warnings using the ensemble precipitation forecasting technique: a case study on forecasting floods in Taiwan caused by typhoons. J Hydrol 520:367–378
Zhang ZT (2016) Mountain torrent disaster prevention and control measures and their effects. Water Resour Hydropower Eng 47(1):1–5 (in Chinese)
Zhang XC, Norton LD, Hickman M (1997) Rain pattern and soil moisture content effects on Atrazine and Metolachlor losses in runoff. J Environ Qual 26:1539–1547
Zhang YY, Shao QX, Xia J, Bunn SE, Zuo QT (2011) Changes of flow regimes and precipitation in Huai River Basin in the last half century. Hydrol Process 25(2):246–257
Zhang YY, Shao QX, Ye AZ, Xing HT, Xia J (2016) Integrated water system simulation by considering hydrological and biogeochemical processes: model development, with parameter sensitivity and autocalibration. Hydrol Earth Syst Sci 20(1):529–553
Zhao RJ (1984) Watershed hydrological simulation: Xinanjiang model and Shanbei model. Water Resources and Electric Power Press, Beijing (in Chinese)
Acknowledgements
This study was supported by Key Laboratory of Water Cycle and Related Land Surface Processes, Institute of Geographic Sciences and Natural Resources Research, Chinese Academy of Sciences (No. WL2017002), China National Flash Flood Disaster Prevention and Control Project (126301001000150068), the China Youth Innovation Promotion Association CAS (No. 2014041) and the Program for “Bingwei” Excellent Talents in IGSNRR CAS (No. 2015RC201). Thanks also to the Editor and the anonymous referees for their constructive comments.
Author information
Authors and Affiliations
Corresponding author
Ethics declarations
Conflict of interest
The authors declare that they have no conflict of interest.
Rights and permissions
About this article
Cite this article
Zhai, X., Guo, L., Liu, R. et al. Rainfall threshold determination for flash flood warning in mountainous catchments with consideration of antecedent soil moisture and rainfall pattern. Nat Hazards 94, 605–625 (2018). https://doi.org/10.1007/s11069-018-3404-y
Received:
Accepted:
Published:
Issue Date:
DOI: https://doi.org/10.1007/s11069-018-3404-y


