Abstract
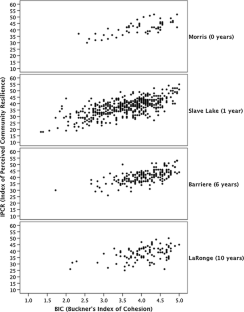
Disasters are unpredictable events that have catastrophic impacts. There is now a focus on disaster resilience and capacity building in the recovery of the community. Resilience literature also suggests a staged model of disaster impacts and likelihood of staged manifestations of resilience. It also points to a potentially important link between place-based social cohesion and resilience. This article reports on comparative findings of cohesion and resilience indices in four Canadian rural communities that experienced disasters and evacuation in potentially different phases of coping and resilience. Buckner’s Index of Cohesion and the Index of Perceived Community Resilience are examined in each community for relationships (correlation) between cohesion and resilience and for differences in the intensity of these variables. Our findings show a consistent significant positive correlation between cohesion and resilience, although the strength of the relationship varies. Findings also show place-specific differentiation in the mean intensity of both cohesion and resilience scores; temporal phases of disaster recovery for each community are also noted. This information can help in disaster recovery planning by ensuring supports are available at key points in time for communities that experience disasters. Other research is needed that compares communities that have experienced different types of disasters and over time periods to document any changes to resilience or cohesion thereby assisting with disaster policy development and programme planning.





Similar content being viewed by others
References
APA Health Center (2004) The road to resilience. http://www.apahelpcenter.org/featuredtopics/feature.php?id=6. Accessed 27 July 2013
Berkes F, Folke C (1998) Linking social and ecological systems. Management practices and social mechanisms for building resilience. Cambridge University Press, Cambridge
Berkes F, Ross H (2013) Community resilience: toward an integrated approach. Soc Nat Resour Int J 26(1):5–20
Boon H, Cottrell A, King D, Stevenson R, Millar J (2012) Bronfenbrenner’s bioecological theory for modelling community resilience to natural disasters. Nat Hazards 60:381–408
Brown D, Kulig J (1996/1997) The concept of resiliency: theoretical lessons from community research. Health Can Soc 4(1):29–50
Buckner JC (1988) The development of an instrument to measure neighborhood cohesion. Am J Commun Psychol 16(6):771–791
Carroll MS, Cohn PJ, Seesholtz DN, Higgins LL (2005) Fire as a galvanizing and fragmenting influence on communities: the case of the Rodeo–Chediski fire. Soc Natl Resour 18:301–320
Chan J, To H-P, Chan E (2006) Reconsidering social cohesion: developing a definition and analytical framework for empirical research. Soc Indic Res 75(2):273–302. doi:10.1007/s11205-005-2118-1
Council of Australian Governments (2011) National strategy for disaster resilience. Commonwealth of Australia
Department of International Development (2011) Defining disaster resilience: a DFID approach paper. Department of International Development, London
du Plessis V, Beshiri R, Bollman R, Clemenson H (2001) “Definitions of Rural”. Rural and small town Canada analysis bulletin, vol 3, no 3. Statistics Canada Catalogue no 21-006-XIE
EM-Dat (2013) Canada-disaster statistics: 1980–2010. EM-DAT: the OFDA/CRED International Disaster Database, Universite catholique de Louvain, Brussels http://www.preventionweb.net/english/countries/statistics/?cid=31. Accessed July 2013
FEMA/SAMHSA (2012) CCP application toolkit, version 3.4. Washington, DC
Filmon G (2003) Firestorm 2003: provincial review. Provincial Government of British Columbia, British Columbia
Flood Bulletin #25 (2011) Media bulletin-Manitoba http://m.news.gov.mb.ca/news/index.html?archive=2011-04-01&item=11346. Accessed 28 Jan 2014
Gough I, Olofsson G (eds) (1999) Capitalism and social cohesion: essays on exclusion and integration. MacMillan, Basingstoke
Guha-Sapir D, Hoyois P, Below R (2013) Annual disaster statistical review 2012: the numbers and trends. Brussels: CRED
Holling C (1973) Resilience and stability of ecological systems. Ann Rev Ecol Syst 4:1–23
IDMC/NRC (2013) Global estimates 2012: people displaced by disasters. http://www.internal-displacement.org/
IPCC Working Group (2014) Climate change 2014: impacts, adaptation, and vulnerability. WMO, Geneva
Jenson J (1998) Mapping social cohesion: the state of Canadian research. Canadian Policy Research Networks Study No. F-03. http://www.cprn.org. Accessed 27 Jul 2013
Kahan J, Allen A, George J (2009) An operational framework for resilience. J Homel Secur Emerg Manag 6(1):1–48
Kreps GA, Drabek TE (1996) Disasters are nonroutine social problems. IJMED 14(2):129–153
Kulig J (2000) Community resilience: the potential for community health nursing theory development. Public Health Nurs 17(5):374–385
Kulig J, Reimer W, Townshend I, Edge D, Neves-Graca K, Lightfoot N, Barnett M, Claque J, Coghlan A, McKay M, St. John R (2007) Understanding resiliency and risk: a final report of the lost creek fire pilot study. University of Lethbridge, Lethbridge
Kulig J, Edge D, Joyce B (2008) Understanding community resilience in rural communities through multimethod research. J Rural Commun Dev 3(3):77–94
Kulig J, Reimer W, Townshend I, Edge D, Lightfoot N, Kimmel A, Hosgood E (2010a) Report of the household survey: Barriere. University of Lethbridge, Lethbridge
Kulig J, Reimer W, Townshend I, Edge D, Lightfoot N, Kimmel A, Hosgood E (2010b) Report of the household survey: La Ronge. University of Lethbridge, Lethbridge
Kulig J, Reimer W, Townshend I, Edge, D, Lightfoot N (2011) Understanding links between wildfires and community resiliency: lessons learned for disaster preparation and mitigation. University of Lethbridge, Lethbridge. www.ruralwildfire.ca
Kulig J, Pujadas Botey A, Townshend I, Awosoga O, Shepard B, Edge D, Reimer W, Lightfoot N (2012) Families and children: responses to wildfires—links to community resiliency. University of Lethbridge, Lethbridge. www.ruralwildfire.ca
Kulig J, Pujadas Botey A, Townshend I, Awosoga O, Shepard B, Edge D, Reimer W, Lightfoot N, Smolenski S (2012b) Report of the household survey: Slave Lake. University of Lethbridge, Lethbridge
Kulig J, Edge D, Townshend I, Lightfoot N, Reimer W (2013) Community resiliency: emerging theoretical insights. J Commun Psychol 41(6):758–775
Levy D, Itzhaky H, Zanbar L, Schwartz C (2012) Sense of cohesion among activists engaging in community volunteer activity. J Commun Psychol 40(6):735–746
Leykin D, Lahad M, Cohen O, Goldberg A, Aharonson-Daniel L (2013) Conjoint community resilience assessment measure-28/10 items (CCRAM28 and CCRAM10): a self-report tool for assessing community resilience Am J Commun Psychol 52(3–4):313–323
Maclean K, Cuthill M, Ross H (2014) Six attributes of social resilience. J Environ Plan Manag 57(1):144–156
Magis K (2014) Community resilience: an indicator of social sustainability. Soc Nat Resour Inter J 23(5):401–416
Manitoba Flood Facts (2013) Retrieved April 15, 14 from http://m.gov.mb.ca/flooding/historical_facts.html
Mayunga J (2007) Understanding and applying the concept of community disaster resilience: capital-based approach. Summer Academy for Social Vulnerability and Resilience Building, 22–28 Jul 2007, Munich, Germany
Mitchell T, Harris K (2012) Resilience: a risk management approach. Background note. Overseas Development Institute, London
Newton J (2003) Building resilient communities through disaster mitigation: planning for natural hazard mitigation in Ontario communities. Office of Critical Infrastructure Protection & Emergency Preparedness, Ottawa
Norris FH, Stevens SP, Pfefferbaum B, Wyche KF, Pfefferbaum RL (2008) Community resilience as a metaphor, theory, set of capacities, and strategy for disaster readiness. Am J Commun Psychol 41(1–2):127–150
O’Sullivan T, Kuziemsky Toal-Sullivan D, Corneil W (2012) Unraveling the complexities of disaster management: a framework for critical social infrastructure to promote population health and resilience. Soc Sci Med 93:238–246
Rolfe RE (2006) Social cohesion and community resilience: a multi-disciplinary review of literature for rural health research. Submitted to the Rural Centre for Atlantic Canada. http://www.theruralcentre.com/SCCR%20Literature%20Review.pdf. Accessed 27 Jul 2013
Statistics Canada (2012) Morris Manitoba (Code 4603067) and division no. 3 Manitoba (Code 4603) (table). Census profile. 2011 census. Statistics Canada Catalogue no. 98-316-XWE. Ottawa. http://www12.statcan.gc.ca/census-recensement/2011/dp-pd/prof/index.cfm?Lang=E Accessed 5 Feb 2013
Townshend IJ (2001) The contribution of social and experiential community structures to the intra-urban ecology of well-being. Can J Urban Res 10(2):175–215 (Special issue on urban quality of life)
Townshend IJ (2002) Monitoring community dimensions: city-wide characteristics and differentiation by social region. In: Davies WKD, Townshend IJ (eds) Monitoring cities: international perspective. International Geographical Union, Urban Commission, pp 435–459
Townshend I, Hungerford L (2010) Enhancing rural well-being through ‘experiencing’ rural community as place. In: Beesley K (ed) The rural–urban fringe: conflict and controversy. Rural Development Institute, Brandon University, Brandon, pp 269–290
Tyhurst JS (1951) Individual reactions to community disaster. Am J Psychiatry 107:764–769
Vinson T (2004) Community adversity and resilience: the distribution of social disadvantage in Victoria and New South Wales and the mediating role of social cohesion. Report submitted to the Ignatious Centre, Jesuit Social Services, University of New South Wales. http://acl.arts.usyd.edu.au/jss/index.html. Accessed 27 July 2013
Wilkinson D (2007) The multidimensional nature of social cohesion: psychological sense of community, attraction, and neighboring. Am J Commun Psychol 40(3/4):214–229
Acknowledgments
Funding for the studies discussed here was provided by: Alberta Centre for Child, Family and Community Research; the Social Sciences and Humanities Research Council of Canada; the Government of Alberta; and the Institute of Catastrophic Loss Reduction. We gratefully acknowledge the helpful comments from anonymous referees.
Author information
Authors and Affiliations
Corresponding author
Rights and permissions
About this article
Cite this article
Townshend, I., Awosoga, O., Kulig, J. et al. Social cohesion and resilience across communities that have experienced a disaster. Nat Hazards 76, 913–938 (2015). https://doi.org/10.1007/s11069-014-1526-4
Received:
Accepted:
Published:
Issue Date:
DOI: https://doi.org/10.1007/s11069-014-1526-4
