Skip to main content

Interferon Gamma Potentiates the Injury Caused by MPP(+) on SH-SY5Y Cells, Which is Attenuated by the Nitric Oxide Synthases Inhibition

Abstract

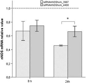
This study examined whether the cytokine interferon (IFN) gamma plays a role in the injury of SH-SY5Y cells caused by MPP(+) (1-methyl-4-phenylpyridinium). First of all, IFN-gamma sensitized cells to the neurotoxin MPP(+), as determined by MTT (3-(4,5-dimethylthiazol-2-y1)-2,5-diphenyltetrazolium bromide) assay. MPP(+)-injured cells showed higher reactive oxygen species (ROS) levels, which was reinforced by IFN-gamma. The injury triggered a marked expression of the neuronal NOS (nNOS) enzyme. L-NAME [N(ω)-nitro-l-arginine methyl ester, a non-specific NOS inhibitor] reestablished the cell viability after IFN-gamma challenging, and recovered cells from MPP(+) injury (95.0 vs. 84.7 %; P < 0.05). Seven-NI (7-nitroindazole, a nNOS inhibitor) protected cells against the injury by MPP(+) co-administered with IFN-gamma. Both inhibitors restrained the apoptosis of SH-SY5Y cells caused by MPP(+)/IFN-gamma. Regarding oxidative stress, L-NAME and 7-NI attenuated the increase in ROS levels caused by MPP(+) (45.3 or 48.4 vs. 87.9 %, P < 0.05). Indeed, L-NAME was more effective than 7-NI for reducing oxidative stress caused by MPP(+) under IFN-gamma exposition. The nNOS gene silencing by small-interfering RNAs recovered cells challenged by IFN-gamma (24 h), or MPP(+) (8 h). In conclusion, IFN-gamma sensitizes cells to MPP(+)-induced injury, also causing an increase in ROS levels. Pretreating cells with L-NAME or 7-NI reverts both the oxidative stress and apoptosis triggered by the neurotoxin MPP(+). Taking together, our data reinforce that IFN-gamma and NOS enzymes play a role in oxidative stress and dopaminergic cell death triggered by MPP(+).

This is a preview of subscription content, access via your institution.

Fig. 1
Fig. 2
Fig. 3
Fig. 4
Fig. 5
Fig. 6
Fig. 7
Fig. 8

References

  1. Shulman JM, De Jager PL, Feany MB (2011) Parkinson’s disease: genetics and pathogenesis. Annu Rev Pathol 6:193–222. doi:10.1146/annurev-pathol-011110-130242

    CAS  PubMed  Article  Google Scholar 

  2. Jellinger KA (2012) Neuropathology of sporadic Parkinson’s disease: evaluation and changes of concepts. Mov Disord 27(1):8–30. doi:10.1002/mds.23795

    CAS  PubMed  Article  Google Scholar 

  3. Przedborski S (2005) Pathogenesis of nigral cell death in Parkinson’s disease. Parkinsonism Relat Disord 11(Suppl 1):S3–S7. doi:10.1016/j.parkreldis.2004.10.012

    PubMed  Article  Google Scholar 

  4. Fahn S (2003) Description of Parkinson’s disease as a clinical syndrome. Ann N Y Acad Sci 991:1–14. doi:10.1111/j.1749-6632.2003.tb07458.x

    CAS  PubMed  Article  Google Scholar 

  5. Double KL (2012) Neuronal vulnerability in Parkinson’s disease. Parkinsonism Relat Disord 18(Suppl 1):S52–S54. doi:10.1016/S1353-8020(11)70018-9

    PubMed  Article  Google Scholar 

  6. Przedborski S (2010) Inflammation and Parkinson’s disease pathogenesis. Mov Disord 25(Suppl 1):S55–S57. doi:10.1002/mds.22638

    PubMed  Article  Google Scholar 

  7. Hirsch EC, Vyas S, Hunot S (2012) Neuroinflammation in Parkinson’s disease. Parkinsonism Relat Disord 18(Suppl 1):S210–S212. doi:10.1016/S1353-8020(11)70065-7

    PubMed  Article  Google Scholar 

  8. McGeer P, McGeer EG (2008) Glial reactions in Parkinson’s disease. Mov Disord 23:474–483. doi:10.1002/mds.21751

    PubMed  Article  Google Scholar 

  9. Teismann P, Tieu K, Cohen O, Choi DK, du Wu C, Marks D, Vila M, Jackson-Lewis V, Przedborski S (2003) Pathogenic role of glial cells in Parkinson’s disease. Mov Disord 18:121–129. doi:10.1002/mds.10332

    PubMed  Article  Google Scholar 

  10. Tansey MG, Goldberg MS (2010) Neuroinflammation in Parkinson’s disease: its role in neuronal death and implications for therapeutic intervention. Neurobiol Dis 37:510–518. doi:10.1016/j.nbd.2009.11.004

    CAS  PubMed Central  PubMed  Article  Google Scholar 

  11. More SV, Kumar H, Kim IS, Song SY, Choi DK (2013) Cellular and molecular mediators of neuroinflammation in the pathogenesis of Parkinson’s disease. Mediat Inflamm 952375. doi:10.1155/2013/952375

  12. Saha B, Jyothi Prasanna S, Chandrasekar B, Nandi D (2010) Gene modulation and immunoregulatory roles of interferon gamma. Cytokine 50(1):1–14. doi:10.1016/j.cyto.2009.11.021

    CAS  PubMed  Article  Google Scholar 

  13. Platanias LC (2005) Mechanisms of type-I- and type-II-interferon-mediated signalling. Nat Rev Immunol 5(5):375–386. doi:10.1038/nri1604

    CAS  PubMed  Article  Google Scholar 

  14. Hirsch EC, Breidert T, Rousselet E, Hunot S, Hartmann A, Michel PP (2003) The role of glial reaction and inflammation in Parkinson’s disease. Ann N Y Acad Sci 991:214–228. doi:10.1111/j.1749-6632.2003.tb07478.x

    CAS  PubMed  Article  Google Scholar 

  15. Gaki GS, Papavassiliou AG (2014). Oxidative stress-induced signaling pathways implicated in the pathogenesis of Parkinson’s disease. Neuromol Med 16(2):217–230. doi:10.1007/s12017-014-8294-x

    CAS  Article  Google Scholar 

  16. Moncada S, Bolanos JP (2006) Nitric oxide, cell bioenergetics and neurodegeneration. J Neurochem 97(6):1676–1689. doi:10.1111/j.1471-4159.2006.03988.x

    CAS  PubMed  Article  Google Scholar 

  17. Hara MR, Snyder SH (2007) Cell signaling and neuronal death. Annu Rev Pharmacol Toxicol 47:117–141. doi:10.1146/annurev.pharmtox.47.120505.105311

    CAS  PubMed  Article  Google Scholar 

  18. Schulz JB, Matthews RT, Jenkins BG, Ferrante RJ, Siwek D, Henshaw DR, Cipolloni PB, Mecocci P, Kowall NW, Rosen BR et al (1995) Blockade of neuronal nitric oxide synthase protects against excitotoxicity in vivo. J Neurosci 15(12):8419–8429

    CAS  PubMed  Google Scholar 

  19. Kamijo R, Harada H, Matsuyama T, Bosland M, Gerecitano J, Shapiro D, Le J, Koh SI, Kimura T, Green SJ et al (1994) Requirement for transcription factor IRF-1 in NO synthase induction in macrophages. Science 263(5153):1612–1615

    CAS  PubMed  Article  Google Scholar 

  20. Ebadi M, Sharma SK (2003) Peroxynitrite and mitochondrial dysfunction in the pathogenesis of Parkinson’s disease. Antioxid Redox Signal 5(3):319–335. doi:10.1089/152308603322110896

    CAS  PubMed  Article  Google Scholar 

  21. Hunot S, Boissiere F, Faucheux B, Brugg B, Mouatt-Prigent A, Agid Y, Hirsch EC (1996) Nitric oxide synthase and neuronal vulnerability in Parkinson’s disease. Neuroscience 72(2):355–363

    CAS  PubMed  Article  Google Scholar 

  22. Xie HR, Hu LS, Li GY (2010) SH-SY5Y human neuroblastoma cell line: in vitro cell model of dopaminergic neurons in Parkinson’s disease. Chin Med J 123(8):1086–1092

    CAS  PubMed  Google Scholar 

  23. Presgraves SP, Ahmed T, Borwege S, Joyce JN (2004) Terminally differentiated SH-SY5Y cells provide a model system for studying neuroprotective effects of dopamine agonists. Neurotox Res 5(8):579–598

    PubMed  Article  Google Scholar 

  24. Cheung YT, Lau WK, Yu MS, Lai CS, Yeung SC, So KF, Chang RC (2009) Effects of all-trans-retinoic acid on human SH-SY5Y neuroblastoma as in vitro model in neurotoxicity research. Neurotoxicology 30(1):127–135. doi:10.1016/j.neuro.2008.11.001

    CAS  PubMed  Article  Google Scholar 

  25. Agholme L, Lindstrom T, Kagedal K, Marcusson J, Hallbeck M (2010) An in vitro model for neuroscience: differentiation of SH-SY5Y cells into cells with morphological and biochemical characteristics of mature neurons. J Alzheimers Dis 20(4):1069–1082. doi:10.3233/JAD-2010-091363

    CAS  PubMed  Google Scholar 

  26. Brzozowski MJ, Alcantara SL, Iravani MM, Rose S, Jenner P (2011) The effect of nNOS inhibitors on toxin-induced cell death in dopaminergic cell lines depends on the extent of enzyme expression. Brain Res 1404:21–30. doi:10.1016/j.brainres.2011.05.063

    CAS  PubMed  Article  Google Scholar 

  27. Vistica DT, Skehan P, Scudiero D, Monks A, Pittman A, Boyd MR (1991) Tetrazolium-based assays for cellular viability: a critical examination of selected parameters affecting formazan production. Cancer Res 51(10):2515–2520

    CAS  PubMed  Google Scholar 

  28. Huesken D, Lange J, Mickanin C, Weiler J, Asselbergs F, Warner J, Meloon B, Engel S, Rosenberg A, Cohen D, Labow M, Reinhardt M, Natt F, Hall J (2005) Design of a genome-wide siRNA library using an artificial neural network. Nat Biotechnol 23(8):995–1001. doi:10.1038/nbt1118

    CAS  PubMed  Article  Google Scholar 

  29. Dotsch J, Harmjanz A, Christiansen H, Hanze J, Lampert F, Rascher W (2000) Gene expression of neuronal nitric oxide synthase and adrenomedullin in human neuroblastoma using real-time PCR. Int J Cancer 88(2):172–175. doi:10.1002/1097-0215

    CAS  PubMed  Article  Google Scholar 

  30. Kwon MJ, Oh E, Lee S, Roh MR, Kim SE, Lee Y, Choi YL, In YH, Park T, Koh SS, Shin YK (2009) Identification of novel reference genes using multiplatform expression data and their validation for quantitative gene expression analysis. PLoS One 4(7):e6162. doi:10.1371/journal.pone.0006162

    PubMed Central  PubMed  Article  Google Scholar 

  31. Livak KJ, Schmittgen TD (2001) Analysis of relative gene expression data using real-time quantitative PCR and the 2(−Delta Delta C(T)) method. Methods 25(4):402–408. doi:10.1006/meth.2001.1262

    CAS  PubMed  Article  Google Scholar 

  32. Calabrese V, Cornelius C, Rizzarelli E, Owen JB, Dinkova-Kostova AT, Butterfield DA (2009) Nitric oxide in cell survival: a janus molecule. Antioxid Redox Signal 11(11):2717–2739. doi:10.1089/ARS.2009.2721

    CAS  PubMed  Article  Google Scholar 

  33. Frank-Cannon TC, Alto LT, McAlpine FE, Tansey MG (2009) Does neuroinflammation fan the flame in neurodegenerative diseases? Mol Neurodegener 16:4–47. doi:10.1186/1750-1326-4-47

    Google Scholar 

  34. Mount MP, Lira A, Grimes D, Smith PD, Faucher S, Slack R, Anisman H, Hayley S, Park DS (2007) Involvement of interferon-gamma in microglial-mediated loss of dopaminergic neurons. J Neurosci 27(12):3328–3337. doi:10.1523/JNEUROSCI.5321-06.2007

    CAS  PubMed  Article  Google Scholar 

  35. Chakrabarty P, Ceballos-Diaz C, Lin WL, Beccard A, Jansen-West K, McFarland NR, Janus C, Dickson D, Das P, Golde TE (2011) Interferon-gamma induces progressive nigrostriatal degeneration and basal ganglia calcification. Nat Neurosci 14(6):694–696. doi:10.1038/nn.2829

    CAS  PubMed Central  PubMed  Article  Google Scholar 

  36. Langston JW, Irwin I, Langston EB, Forno LS (1984) 1-Methyl-4-phenylpyridinium ion (MPP+): identification of a metabolite of MPTP, a toxin selective to the substantia nigra. Neurosci Lett 48(1):87–92

    CAS  PubMed  Article  Google Scholar 

  37. Perfeito R, Cunha-Oliveira T, Rego AC (2013) Reprint of: revisiting oxidative stress and mithocondrial disfunction. Free Radic Biol Med 62:186–201. doi:10.1016/j.freeradbiomed.2013.05.042

    CAS  PubMed  Article  Google Scholar 

  38. Przedborski S, Jackson-Lewis V, Yokoyama R, Shibata T, Dawson VL, Dawson TM (1996) Role of neuronal nitric oxide in 1-methyl-4-phenyl-1,2,3,6-tetrahydropyridine (MPTP)-induced dopaminergic neurotoxicity. Proc Natl Acad Sci USA 93:4565–4571

    CAS  PubMed Central  PubMed  Article  Google Scholar 

  39. Alberio T, Lopiano L, Fasano M (2012) Cellular models to investigate biochemical pathways in Parkinson’s disease. FEBS J 279:1146–1155. doi:10.1111/j.1742-4658.2012.08516

    CAS  PubMed  Article  Google Scholar 

  40. Sapru MK, Yates JW, Hogan S, Jiang L, Halter J, Bohn MC (2006) Silencing of human alpha-synuclein in vitro and in rat brain using lentiviral-mediated RNAi. Exp Neurol 198(2):382–390. doi:10.1016/j.expneurol.2005.12.024

    CAS  PubMed  Article  Google Scholar 

  41. Zhang QL, Niu Q, Shi YT, Niu PY, Liu CY, Zhang L, Zhang C (2009) Therapeutic potential of BAK gene silencing in aluminum induced neural cell degeneration. J Inorg Biochem 103(11):1514–1520. doi:10.1016/j.jinorgbio.2009.06.010

    CAS  PubMed  Article  Google Scholar 

  42. Zhu Y, Hoell P, Ahlemeyer B, Sure U, Bertalanffy H, Krieglstein J (2007) Implication of PTEN in production of reactive oxygen species and neuronal death in in vitro models of stroke and Parkinson’s disease. Neurochem Int 50(3):507–516. doi:10.1016/j.neuint.2006.10.010

    CAS  PubMed  Article  Google Scholar 

  43. Ortiz-Ortiz MA, Morán JM, González-Polo RA, Niso-Santano M, Soler G, Bravo-San Pedro JM, Fuentes JM (2009) Nitric oxide-mediated toxicity in paraquat-exposed SH-SY5Y cells: a protective role of 7-nitroindazole. Neurotox Res 16(2):160–173. doi:10.1007/s12640-009-9065-6

    CAS  PubMed  Article  Google Scholar 

  44. Madathil KS, Karuppagounder SS, Haobam R, Varghese M, Rajamma U, Mohanakumar KP (2013) Nitric oxide synthase inhibitors protect against rotenone-induced, oxidative stress mediated parkinsonism in rats. Neurochem Int 62(5):674–683. doi:10.1016/j.neuint.2013.01.007

    CAS  PubMed  Article  Google Scholar 

  45. Yuste JE, Echeverry MB, Ros-Bernal F, Gomez A, Ros CM, Campuzano CM, Fernandez-Villalba E, Herrero MT (2012) 7-Nitroindazole down-regulates dopamine/DARPP-32 signaling in neostriatal neurons in a rat model of Parkinson’s disease. Neuropharmacology 63(7):1258–1267. doi:10.1016/j.neuropharm.2012.07.031

    CAS  PubMed  Article  Google Scholar 

  46. Yi F, He X, Wang D (2013) Lycopene protects against MPP(+)-induced cytotoxicity by maintaining mitochondrial function in SH-SY5Y cells. Neurochem Res 38(8):1747–1757. doi:10.1007/s11064-013-1079-z

    CAS  PubMed  Article  Google Scholar 

  47. Wang Y, Gao J, Miao Y, Cui Q, Zhao W, Zhang J, Wang H. (2014). Pinocembrin protects SH-SY5Y cells against MPP+-induced neurotoxicity through the mitochondrial apoptotic pathway. J Mol Neurosci doi:10.1007/s12031-013-0219-x

  48. Xu D, Duan H, Zhang Z, Cui W, Wang L, Sun Y, Lang M, Hoi PM, Han Y, Wang Y, Lee SM (2013) The novel tetramethylpyrazine bis-nitrone (TN-2) protects against MPTP/MPP+-induced neurotoxicity via inhibition of mitochondrial-dependent apoptosis. J Neuroimmune Pharmacol 9(2):245–258. doi:10.1007/s11481-013-9514-0

    Article  Google Scholar 

  49. Nicklas WJ, Vyas I, Heikkila RE (1985) Inhibition of NADH-linked oxidation in brain mitochondria by 1-methyl-4-phenyl-pyridine, a metabolite of the neurotoxin, 1-methyl-4-phenyl-1,2,5,6-tetrahydro-pyridine. Life Sci 36(26):2503–2508

    CAS  PubMed  Article  Google Scholar 

  50. Bate C, Kempster S, Last V, Williams A (2006) Interferon-gamma increases neuronal death in response to amyloid-beta1-42. J Neuroinflamm 3:7. doi:10.1186/1742-2094-3-7

    Article  Google Scholar 

  51. Tekautz TM, Zhu K, Grenet J, Kaushal D, Kidd VJ, Lahti JM (2006) Evaluation of IFN-gamma effects on apoptosis and gene expression in neuroblastoma–preclinical studies. Biochim Biophys Acta 1763(10):1000–1010. doi:10.1016/j.bbamcr.2006.06.014

    CAS  PubMed  Article  Google Scholar 

  52. Montaldo PG, Chiesa V, Bado M, Raffaghello L, Rozzo C, Ponzoni M (1997) Induction of differentiation and apoptosis by interferon-gamma in human neuroblastoma cells in vitro as a dual and alternative early biological response. Cell Death Differ 4(2):150–158. doi:10.1038/sj.cdd.4400215

    CAS  PubMed  Article  Google Scholar 

  53. Stark GR, Kerr IM, Williams BR, Silverman RH, Schreiber RD (1998) How cells respond to interferons. Annu Rev Biochem 67:227–264. doi:10.1146/annurev.biochem.67.1.227

    CAS  PubMed  Article  Google Scholar 

  54. Boehm U, Klamp T, Groot M, Howard JC (1997) Cellular responses to interferon-gamma. Annu Rev Immunol 15:749–795. doi:10.1146/annurev.immunol.15.1.749

    CAS  PubMed  Article  Google Scholar 

Download references

Acknowledgments

The present research received financial support from the following Brazilian institutions: Coordenação de Aperfeiçoamento de Pessoal de Nível Superior—CAPES, Conselho Nacional de Desenvolvimento Científico e Tecnológico—CNPq, and Fundação de Apoio à Pesquisa do Distrito Federal—FAP-DF.

Conflict of interest

Data regarding nNOS sequences used for designing the structures siRNAnNOShum_3987 (SEQ ID NO: 38/39) and siRNAnNOShum_4400 (SEQ ID NO: 41/42) are under patent registration at the Brazilian Institute for Industrial Property—“Instituto Nacional da Propriedade Industrial”—INPI, BR 10 2012 032844 5.

Author information

Affiliations

Authors

Corresponding author

Correspondence to Ricardo Titze-de-Almeida.

Rights and permissions

Reprints and Permissions

About this article

Verify currency and authenticity via CrossMark

Cite this article

Titze-de-Almeida, S.S., Lustosa, C.F., Horst, C.H. et al. Interferon Gamma Potentiates the Injury Caused by MPP(+) on SH-SY5Y Cells, Which is Attenuated by the Nitric Oxide Synthases Inhibition. Neurochem Res 39, 2452–2464 (2014). https://doi.org/10.1007/s11064-014-1449-1

Download citation

  • Received:

  • Revised:

  • Accepted:

  • Published:

  • Issue Date:

  • DOI: https://doi.org/10.1007/s11064-014-1449-1

Keywords

  • SH-SY5Y
  • Neurodegeneration
  • Nitric oxide synthases
  • Oxidative stress
  • Interferon gamma
  • MPP(+)