Skip to main content

Ephrin/Ephrin Receptor Expression in Ammonia-Treated Rat Astrocytes and in Human Cerebral Cortex in Hepatic Encephalopathy

Abstract

Hepatic encephalopathy (HE) represents a neuropsychiatric syndrome, which evolves as a consequence of a low grade cerebral edema and a concomitant oxidative/nitrosative stress response. Ephrin receptors (EphR) and their ligands (ephrins) regulate astrocytic glutamate uptake and gliotransmitter release thereby governing neurotransmission, but their role in HE and ammonia toxicity is unclear. We therefore tested effects of ammonia on expression levels of EphR/ephrin isoforms in cultured rat astrocytes and analysed underlying mechanisms. NH4Cl induced mRNA expression changes of several EphR/ephrin isoforms in a methionine sulfoximine-, NADPH oxidase- and NO synthase-dependent manner in cultured astrocytes. A prominent upregulation was noted for EphR A4 mRNA and protein in NH4Cl-treated astrocytes. NH4Cl-treatment decreased EphR A4 molecular mass to similar extent as found in astrocytes treated with the N-glycosylation inhibitor tunicamycin. Knockdown of EphR A4 by siRNA, or treating astrocytes with NH4Cl or tunicamycin abolished fibroblast growth factor-induced and EphR A4-dependent astrocyte proliferation. NH4Cl-treatment also decreased GLAST mRNA levels in cultured astrocytes. This effect was sensitive to inhibitors of NAPDH oxidase or glutamine synthetase, but was insensitive to siRNA-mediated EphR A4 knockdown. Eph/ephrin gene expression changes were also found in post mortem brain samples of cirrhotic patients without or with HE compared to controls suggesting a potential in vivo relevance of the present findings. The present study suggests that ammonia modulates EphR/ephrin signaling in astrocytes and in the brain of cirrhotic patients with HE with potential implications for deranged neurotransmission in HE.

This is a preview of subscription content, access via your institution.

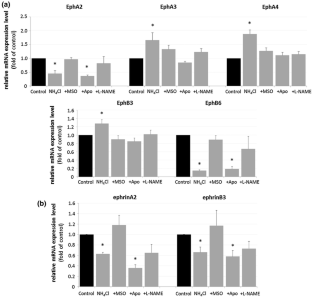
Fig. 1
Fig. 2
Fig. 3
Fig. 4
Fig. 5
Fig. 6
Fig. 7

References

  1. Häussinger D, Görg B (2011) Interaction of oxidative stress, astrocyte swelling and cerebral ammonia toxicity. Curr Opin Clin Nutr Metab Care 13:87–92

    Article  Google Scholar 

  2. Häussinger D, Kircheis G, Fischer R, Schliess F, vom Dahl S (2000) Hepatic encephalopathy in chronic liver disease: a clinical manifestation of astrocyte swelling and low-grade cerebral edema? J Hepatol 32:1035–1038

    Article  PubMed  Google Scholar 

  3. Häussinger D, Laubenberger J, vom Dahl S, Ernst T, Bayer S, Langer M, Gerok W, Hennig J (1994) Proton magnetic resonance spectroscopy studies on human brain myo-inositol in hypo-osmolarity and hepatic encephalopathy. Gastroenterology 107:1475–1480

  4. Shah NJ, Neeb H, Kircheis G, Engels P, Häussinger D, Zilles K (2008) Quantitative cerebral water content mapping in hepatic encephalopathy. Neuroimage 41:706–717

    Article  CAS  PubMed  Google Scholar 

  5. Görg B, Qvartskhava N, Keitel V, Bidmon HJ, Selbach O, Schliess F, Häussinger D (2008) Ammonia induces RNA oxidation in cultured astrocytes and brain in vivo. Hepatology 48:567–579

    Article  PubMed  Google Scholar 

  6. Schliess F, Görg B, Fischer R, Desjardins P, Bidmon HJ, Herrmann A, Butterworth RF, Zilles K, Häussinger D (2002) Ammonia induces MK-801-sensitive nitration and phosphorylation of protein tyrosine residues in rat astrocytes. FASEB J 16:739–741

    CAS  PubMed  Google Scholar 

  7. Kruczek C, Görg B, Keitel V, Pirev E, Kröncke KD, Schliess F, Häussinger D (2009) Hypoosmotic swelling affects zinc homeostasis in cultured rat astrocytes. Glia 57:79–92

    Article  PubMed  Google Scholar 

  8. Jayakumar AR, Liu M, Moriyama M, Ramakrishnan R, Forbush B III, Reddy PV, Norenberg MD (2008) Na-K-Cl Cotransporter-1 in the mechanism of ammonia-induced astrocyte swelling. J Biol Chem 283:33874–33882

    Article  PubMed Central  CAS  PubMed  Google Scholar 

  9. Görg B, Schliess F, Häussinger D (2013) Osmotic and oxidative/nitrosative stress in ammonia toxicity and hepatic encephalopathy. Arch Biochem Biophys 536:158–163

    Article  PubMed  Google Scholar 

  10. Görg B, Qvartskhava N, Bidmon HJ, Palomero-Gallagher N, Kircheis G, Zilles K, Häussinger D (2010) Oxidative stress markers in the brain of patients with cirrhosis and hepatic encephalopathy. Hepatology 52:256–265

    Article  PubMed Central  PubMed  Google Scholar 

  11. Görg B, Bidmon HJ, Häussinger D (2013) Gene expression profiling in the cerebral cortex of patients with cirrhosis with and without hepatic encephalopathy. Hepatology 57:2436–2447

    Article  PubMed  Google Scholar 

  12. Nikolov DB, Xu K, Himanen JP (2013) Eph/ephrin recognition and the role of Eph/ephrin clusters in signaling initiation. Biochim Biophys Acta 1834:2160–2165

    Article  PubMed Central  CAS  PubMed  Google Scholar 

  13. Goldshmit Y, McLenachan S, Turnley A (2006) Roles of Eph receptors and ephrins in the normal and damaged adult CNS. Brain Res Rev 52:327–345

    Article  CAS  PubMed  Google Scholar 

  14. Klein R (2009) Bidirectional modulation of synaptic functions by Eph/ephrin signaling. Nat Neurosci 12:15–20

    Article  CAS  PubMed  Google Scholar 

  15. Zhuang Z, Yang B, Theus MH, Sick JT, Bethea JR, Sick TJ, Liebl DJ (2010) EphrinBs regulate d-serine synthesis and release in astrocytes. J Neurosci 30:16015–16024

    Article  PubMed Central  CAS  PubMed  Google Scholar 

  16. Filosa A, Paixão S, Honsek SD, Carmona MA, Becker L, Feddersen B, Gaitanos L, Rudhard Y, Schoepfer R, Klopstock T, Kullander K, Rose CR, Pasquale EB, Klein R (2009) Neuron-glia communication via EphA4/ephrin-A3 modulates LTP through glial glutamate transport. Nat Neurosci 12:1285–1292

    Article  PubMed Central  CAS  PubMed  Google Scholar 

  17. Chen Y, Fu AK, Ip NY (2012) Eph receptors at synapses: implications in neurodegenerative diseases. Cell Signal 24:606–611

    Article  CAS  PubMed  Google Scholar 

  18. Yan LJ, Xiao M, Chen R, Cai Z (2013) Metabolic dysfunction of astrocyte: an initiating factor in beta-amyloid pathology? Aging Neurodegener 1:7–14

    PubMed Central  PubMed  Google Scholar 

  19. Zhang R, Zhong NN, Liu XG, Yan H, Qiu C, Han Y, Wang W, Hou WK, Liu Y, Gao CG, Guo TW, Lu SM, Deng HW, Ma J (2010) Is the EFNB2 locus associated with schizophrenia? Single nucleotide polymorphisms and haplotypes analysis. Psychiatry Res 180:5–9

    Article  CAS  PubMed  Google Scholar 

  20. Salim S (2014) Oxidative stress and psychological disorders. Curr Neuropharmacol 12:140–147

    Article  PubMed Central  CAS  PubMed  Google Scholar 

  21. Goudriaan A, de Leeuw C, Ripke S, Hultman CM, Sklar P, Sullivan PF, Smit AB, Posthuma D, Verheijen MH (2014) Specific glial functions contribute to schizophrenia susceptibility. Schizophr Bull 40:925–935

  22. Swain M, Butterworth RF, Blei AT (1992) Ammonia and related amino acids in the pathogenesis of brain edema in acute ischemic liver failure in rats. Hepatology 15:449–453

    Article  CAS  PubMed  Google Scholar 

  23. Kimelberg HK (1995) Current concepts of brain edema. Review of laboratory investigations. J Neurosurg 83:1051–1059

    Article  CAS  PubMed  Google Scholar 

  24. Lachmann V, Görg B, Bidmon HJ, Keitel V, Häussinger D (2013) Precipitants of hepatic encephalopathy induce rapid astrocyte swelling in an oxidative stress dependent manner. Arch Biochem Biophys 536:143–151

    Article  CAS  PubMed  Google Scholar 

  25. Zhou BG, Norenberg MD (1999) Ammonia downregulates GLAST mRNA glutamate transporter in rat astrocyte cultures. Neurosci Lett 276:145–148

    Article  CAS  PubMed  Google Scholar 

  26. Reinehr R, Görg B, Becker S, Qvartskhava N, Bidmon HJ, Selbach O, Haas HL, Schliess F, Häussinger D (2007) Hypoosmotic swelling and ammonia increase oxidative stress by NADPH oxidase in cultured astrocytes and vital brain slices. Glia 55:758–771

    Article  PubMed  Google Scholar 

  27. Kruczek C, Görg B, Keitel V, Bidmon HJ, Schliess F, Häussinger D (2011) Ammonia increases nitric oxide, free Zn(2+), and metallothionein mRNA expression in cultured rat astrocytes. Biol Chem 392:1155–1165

    Article  CAS  PubMed  Google Scholar 

  28. Zhuang Z, Huang J, Cepero ML, Liebl DJ (2011) Eph signaling regulates gliotransmitter release. Commun Integr Biol 4:223–226

    Article  PubMed Central  CAS  PubMed  Google Scholar 

  29. Yu X, Wang G, Gilmore A, Yee AX, Li X, Xu T, Smith SJ, Chen L, Zuo Y (2013) Accelerated experience-dependent pruning of cortical synapses in ephrin-A2 knockout mice. Neuron 80:64–71

    Article  PubMed Central  CAS  PubMed  Google Scholar 

  30. Jayakumar AR, Rama Rao KV, Schousboe A, Norenberg MD (2004) Glutamine-induced free radical production in cultured astrocytes. Glia 46:296–301

    Article  PubMed  Google Scholar 

  31. Jayakumar AR, Panickar KS, Murthy ChR, Norenberg MD (2006) Oxidative stress and mitogen-activated protein kinase phosphorylation mediate ammonia-induced cell swelling and glutamate uptake inhibition in cultured astrocytes. J Neurosci 26:4774–4784

    Article  CAS  PubMed  Google Scholar 

  32. Xu K, Tzvetkova-Robev D, Xu Y, Goldgur Y, Chan YP, Himanen JP, Nikolov DB (2013) Insights into Eph receptor tyrosine kinase activation from crystal structures of the EphA4 ectodomain and its complex with ephrin-A5. Proc Natl Acad Sci USA 110:14634–14639

    Article  PubMed Central  CAS  PubMed  Google Scholar 

  33. Fukai J, Yokote H, Yamanaka R, Arao T, Nishio K, Itakura T (2008) EphA4 promotes cell proliferation and migration through a novel EphA4-FGFR1 signaling pathway in the human glioma U251 cell line. Mol Cancer Ther 7:2768–2778

    Article  CAS  PubMed  Google Scholar 

Download references

Acknowledgments

This study was supported by Deutsche Forschungsgemeinschaft through Sonderforschungs-bereich SFB 974 “Communication and Systems Relevance in Liver Injury and Regeneration” (Düsseldorf). The authors are grateful for tissue support by the Australian Brain Donor Programs NSW Tissue Resource Centre, which is supported by the University of Sydney, National Health and Medical Research Council of Australia, Schizophrenia Research Institute, National Institute of Alcohol Abuse and Alcoholism and NSW Department of Health. We thank Miltenyi-Biotech for technical support and bioinformatic analysis. Expert technical assistance was provided by Torsten Janssen and Ursula Kristek.

Author information

Affiliations

Authors

Corresponding author

Correspondence to Dieter Häussinger.

Additional information

Special Issue: In Honor of Michael Norenberg.

Karmela Sobczyk and Markus S. Jördens contributed equally to this work.

Electronic supplementary material

Rights and permissions

Reprints and Permissions

About this article

Verify currency and authenticity via CrossMark

Cite this article

Sobczyk, K., Jördens, M.S., Karababa, A. et al. Ephrin/Ephrin Receptor Expression in Ammonia-Treated Rat Astrocytes and in Human Cerebral Cortex in Hepatic Encephalopathy. Neurochem Res 40, 274–283 (2015). https://doi.org/10.1007/s11064-014-1389-9

Download citation

  • Received:

  • Revised:

  • Accepted:

  • Published:

  • Issue Date:

  • DOI: https://doi.org/10.1007/s11064-014-1389-9

Keywords

  • Hepatic encephalopathy
  • Astrocytes
  • Cell volume
  • Glutamine
  • Ephrin receptor