Skip to main content

Effect of Anacyclus pyrethrum on Pentylenetetrazole-Induced Kindling, Spatial Memory, Oxidative Stress and Rho-Kinase II Expression in Mice

Abstract

Anacyclus pyrethrum (A. pyrethrum) has been reported to exhibit anticonvulsant activity. In the present study, the effect of hydro-alcoholic extract of A. pyrethrum root (HEAP) on pentylenetetrazole (PTZ) induced kindling, spatial memory, oxidative stress and rho kinase (ROCK II) was assessed. Male albino mice (25–30 g) were used in the study. PTZ (35 mg/kg, i.p. on alternate days) was injected to induce kindling and PTZ (70 mg/kg, i.p) challenge was given 7 days post-kindling. HEAP was administered orally daily in the doses of 100, 250 and 500 mg/kg along with PTZ injections during the kindling process and continued till PTZ challenge post kindling. Spatial memory was assessed using Morris water maze test. Oxidative stress parameters [malondialdehyde (MDA) and reduced glutathione (GSH)] and ROCK II expression were estimated in whole brain at the end of the study. Pre-treatment with HEAP (250 and 500 mg/kg) showed significant increase in the myoclonic jerk latency and delay in the development of kindling. A significant decrease in mortality was observed at higher doses of HEAP (250 and 500 mg/kg). Pre-treatment with HEAP significantly increased the number of platform crossings and decreased the escape latency, as opposed to the PTZ group, thus showing protection against memory deficit. HEAP pre-treatment also attenuated the oxidative stress induced by PTZ kindling. PTZ induced kindling increased the ROCK II expression whereas, HEAP pre-treatment attenuated the increase in ROCK II expression. To conclude, HEAP pre-treatment showed antiepileptic effect and also showed protection against cognitive impairment by decreasing oxidative stress and ROCK II expression in PTZ kindled mice.

This is a preview of subscription content, access via your institution.

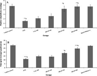
Fig. 1
Fig. 2
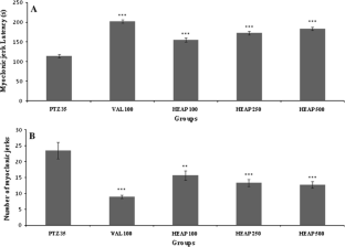
Fig. 3
Fig. 4
Fig. 5
Fig. 6

References

  1. Prilipko L, De Boer MH, Dua T, Bertolote J (2006) Epilepsy care—the WHO/ILAE/IBE global campaign against epilepsy. U.S. Neurological Disease, pp 39–40

  2. Jambaque I, Dellatolas G, Dulac D, Ponsot G, Signoret JL (1993) Verbal and visual memory impairment in children with epilepsy. Neuropsychologia 31:1321–1337

    PubMed  Article  CAS  Google Scholar 

  3. Thompson PJ, Trimble MR (1983) Anticonvulsant serum levels: relationship to impairments of cognitive functioning. J Neurol Neurosurg Psychiatry 46:227–233

    PubMed  Article  CAS  Google Scholar 

  4. Erakovic V, Zupan G, Varljen J, Laginja J, Simonic A (2001) Altered activities of rat brain metabolic enzymes caused by pentylenetetrazol kindling and pentylenetetrazol-induced seizures. Epilepsy Res 43:165–173

    PubMed  Article  CAS  Google Scholar 

  5. Bruce AJ, Baudry M (1995) Oxygen free radicals in rat limbic structures after kainate-induced seizures. Free Rad Biol Med 18:993–1002

    PubMed  Article  CAS  Google Scholar 

  6. Morimoto K, Fahnestock M, Racine RJ (2004) Kindling and status epilepticus models of epilepsy: rewiring the brain. Prog Neurobiol 73(1):1–60

    PubMed  Article  CAS  Google Scholar 

  7. Becker A, Grecksch G (1992) dTyr-D-Phe3 (Pro-D-Phe-Pro-Gly) interacts specifically with amygdaloid-kindled seizures and is capable of preventing the learning deficit occurring after kindling. Peptides 13(1):73–76

    PubMed  Article  CAS  Google Scholar 

  8. Gupta YK, Veerendra Kumar MH, Srivastava AK (2003) Effect of Centella asiatica on pentylenetetrazole-induced kindling, cognition and oxidative stress in rats. Pharmacol Biochem Behav 74(3):579–585

    PubMed  Article  CAS  Google Scholar 

  9. Mehla J, Reeta KH, Gupta P, Gupta YK (2010) Protective effect of curcumin against seizures and cognitive impairment in a pentylenetetrazole-kindled epileptic rat model. Life Sci 87(19–22):596–603

    PubMed  Article  CAS  Google Scholar 

  10. Loscher W (2011) Critical review of current animal models of seizures and epilepsy used in the discovery and development of new antiepileptic drugs. Seizure 20:359–368

    PubMed  Article  Google Scholar 

  11. Cavazos JE, Sutula TP (1990) Progressive neuronal loss induced by kindling: a possible mechanism for mossy fiber synaptic reorganization and hippocampal sclerosis. Brain Res 527:1–6

    PubMed  Article  CAS  Google Scholar 

  12. Inan SY, Buyukafsar K (2008) Antiepileptic effects of two Rho-kinase inhibitors, Y-27632 and fasudil, in mice. Br J Pharmacol 155:44–51

    PubMed  Article  CAS  Google Scholar 

  13. Schroder H, Becker A, Lossner B (1993) Glutamate binding to brain membranes is increased in pentylenetetrazole-kindled rats. J Neurochem 60:1007–1011

    PubMed  Article  CAS  Google Scholar 

  14. Rauca C, Zerbe R, Jantze H (1999) Formation of free hydroxyl radicals after pentylenetetrazol-induced seizure and kindling. Brain Res 847:347–351

    PubMed  Article  CAS  Google Scholar 

  15. Prajapati ND, Purohit SS, Sharma AK, Kumar T (2003) A handbook of medicinal plants: a complete source book. Agrobios, India, pp 43–44

    Google Scholar 

  16. Crombie L (1954) Isolation and structure of an N-isobutyldienediynamide from pellitory (Anacyclus pyrethrum DC.). Nature 174:832–833

    Article  CAS  Google Scholar 

  17. Bendjeddou D, Lalaoui K, Satta D (2003) Immunostimulating activity of the hot water-soluble polysaccharide extracts of Anacyclus pyrethrum, Alpinia galanga and Citrullus colocynthis. J Ethnopharmacol 88(2–3):155–160

    PubMed  Article  CAS  Google Scholar 

  18. Pahuja M, Mehla J, Reeta KH, Joshi S, Gupta YK (2012) Root extract of Anacyclus pyrethrum ameliorates seizures, seizure-induced oxidative stress and cognitive impairment in experimental animals. Epilepsy Res 98(2–3):157–165

    PubMed  Article  Google Scholar 

  19. Rimbau V, Cerdan C, Vila R, Iglesia J (1999) Antiinflammatory activity of some extracts from plants used in the traditional medicine of North-African countries. Phytother Res 10(5):421–423

    Article  Google Scholar 

  20. Kalim MD, Bhattacharyya D, Banerjee A, Chattopadhyay S (2010) Oxidative DNA damage preventive activity and antioxidant potential of plants used in Unani system of medicine. BMC Complement Altern Med 10:77–87

    PubMed  Article  Google Scholar 

  21. Sukumaran K, Kuttan R (1995) Inhibition of tobacco-induced mutagenesis by eugenol and plant extracts. Mutat Res 343(1):25–30

    PubMed  Article  CAS  Google Scholar 

  22. Szyndler J, Piechal A, Blecharz-Klin K, Skórzewska A, Maciejak P, Walkowiak J et al (2006) Effect of kindled seizures on rat behavior in water Morris maze test and amino acid concentrations in brain structures. Pharmacol Rep 58:75–82

    PubMed  CAS  Google Scholar 

  23. Ohkawa H, Ohishi N, Yagi K (1979) Assay of lipid peroxides in animal tissue by thiobarbituric acid reaction. Anal Biochem 95:351–358

    PubMed  Article  CAS  Google Scholar 

  24. Ellman GL (1959) Tissue sulphydryl groups. Arch Biochem Biophys 82:70–73

    PubMed  Article  CAS  Google Scholar 

  25. Genkova-Papazova MG, Petkova B, Shishkova N, Lazarova-Bakarova M (2001) Effect of calcium channel blockers nifedipine and diltiazem on pentylenetetrazole kindling-provoked amnesia in rats. Eur Neuropsychopharmacol 11:91–96

    PubMed  Article  CAS  Google Scholar 

  26. Broadbent NJ, Squire LR, Clark RE (2004) Spatial memory, recognition memory, and the hippocampus. Proc Natl Acad Sci USA 101:14515–14520

    PubMed  Article  CAS  Google Scholar 

  27. Ramos JM (2000) Long-term spatial memory in rats with hippocampal lesions. Eur J Neurosci 12:3375–3384

    PubMed  Article  CAS  Google Scholar 

  28. Hamm RJ, Pike BR, Temple MD, Dell DM, Lyeth BG (1995) The effect of postinjury kindled seizures on cognitive performance of traumatically brain-injured rats. Exp Neurol 136:143–148

    PubMed  Article  CAS  Google Scholar 

  29. Ilhan A, Gurel A, Armutcu F, Kamisli S, Iraz M (2005) Antiepileptogenic and antioxidant effects of Nigella sativa oil against pentylenetetrazol-induced kindling in mice. Neuropharmacology 49:456–464

    PubMed  Article  CAS  Google Scholar 

  30. Ono H, Sakamoto A, Sakura N (2000) Plasma total glutathione concentrations in epileptic patients taking anti-convulsants. Clin Chim Acta 298:135–143

    PubMed  Article  CAS  Google Scholar 

  31. Dubreuil CI, Marklund N, Deschamps K, McIntosh TK, McKerracher L (2006) Activation of Rho after traumatic brain injury and seizure in rats. Exp Neurol 198(2):361–369

    PubMed  Article  CAS  Google Scholar 

  32. Borisoff JF, Chan CC, Hiebert GW, Oschipok L, Robertson GS, Zamboni R et al (2003) Suppression of Rho-kinase activity promotes axonal growth on inhibitory CNS substrates. Mol Cell Neurosci 22:405–416

    PubMed  Article  CAS  Google Scholar 

  33. Schroder H, Schlichthaar R, Krug M (1994) Specific [3H]L-glutamate binding and [3H]D-aspartate release in the hippocampus of rat after pentylenetetrazol kindling and long-term potentiation. Neuroscience 60:337–342

    PubMed  Article  CAS  Google Scholar 

  34. Jeon S, Kim S, Park JB, Suh PG, Kim YS, Bae CD et al (2002) RhoA and Rho kinase-dependent phosphorylation of moesin at Thr-558 in hippocampal neuronal cells by glutamate. J Biol Chem 277:16576–16584

    PubMed  Article  CAS  Google Scholar 

Download references

Acknowledgments

The authors are thankful to Indian Council of Medical Research (ICMR), Ministry of Science, Government of India, New Delhi, India, for providing financial assistance to Monika Pahuja under the guidance of Dr. Y. K. Gupta, for carrying out this research work.

Author information

Affiliations

Authors

Corresponding author

Correspondence to Yogendra Kumar Gupta.

Rights and permissions

Reprints and Permissions

About this article

Cite this article

Pahuja, M., Mehla, J., Reeta, K.H. et al. Effect of Anacyclus pyrethrum on Pentylenetetrazole-Induced Kindling, Spatial Memory, Oxidative Stress and Rho-Kinase II Expression in Mice. Neurochem Res 38, 547–556 (2013). https://doi.org/10.1007/s11064-012-0947-2

Download citation

  • Received:

  • Revised:

  • Accepted:

  • Published:

  • Issue Date:

  • DOI: https://doi.org/10.1007/s11064-012-0947-2

Keywords

  • Epilepsy
  • Anacyclus pyrethrum
  • PTZ kindling
  • Spatial memory
  • Oxidative stress
  • Rho kinase II