Abstract
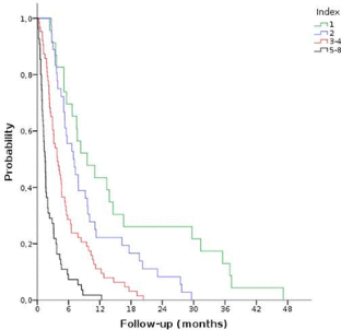
The study aimed to assess factors affecting survival of breast cancer patients suffering leptomeningeal metastasis (LM) and to compare survivals in patients with LM as the first and only site of metastases at presentation to patients with LM and metastases in other organs, along with selecting a patient group which had the best survival outcomes. Subject groups consisted of 187 patients consecutively referred during 1999–2015. A Cox proportional hazards model was used to identify factors associated with prolonged survival from LM. The Cox prognostic index was created to identify the group of patients with the most favorable prognosis. Median survival for all patients and for those with LM as the first site of metastases at presentation was 17 weeks and 1 year-survival was 15 and 16%, respectively. Factors beneficially affecting survival were: KPS ≥ 70, older age, biological subtype ER/PR+HER2−, systemic treatment, intrathecal treatment and radiation therapy. Based on these factors, 4 prognostic groups were found, with the most favorable group being 24 LM patients with median survival of 9.6 months. In this group, all patients were treated systemically and all were irradiated, 88% had KPS ≥ 70, about 80% had luminal breast cancer, 75% were treated intrathecally and 58% were more than 53 years old. Out of 4 prognostic groups of patients with LM, the most favorable group was selected. The median survival of breast cancer patients with the leptomeninges as the only site of metastases was comparable to those who had metastases in the leptomeninges and in other organs.

References
Le Rhun E, Taillibert S, Zairi F et al (2013) A retrospective case series of 103 consecutive patients with leptomeningeal metastasis and breast cancer. J Neurooncol 113:83–92. https://doi.org/10.1007/s11060-013-1092-8
Wasserstrom WR, Glass P, Posner JB (1982) Diagnosis and treatment of leptomeningeal metastases from solid tumors: experience with 90 patients. Cancer 49:759–772
Boogerd W, Hart AMH, van der Sande JJ, Engelsman E (1991) Meningeal carcinomatosis in breast cancer. Prognostic factors and influence of treatment. Cancer 67:1685–1695
Rudnicka H, Niwińska A, Murawska M (2007) Breast cancer leptomeningeal metastasis—the role of multimodality treatment. J Neurooncol 84:57–62
Fizazi K, Asselain B, Vincent-Salomon A, Jouve M, Dieras V, Palange T et al (1996) Meningeal carcinomathosis in patients with breast carcinoma. Clinical features, prognostic factors and results of high-dose intrathecal methotrexate regimen. Cancer 77:1315–1323
Gauthier H, Guilhaume MN, Bidard FC, Pierga JY, Girre V, Cottu PH et al (2010) Survival of breast cancer patients with meningeal carcinomatosis. Ann Oncol 21:2183–2187. https://doi.org/10.1093/annonc/mdq232
de Azevedo CRA, Cruz MRS, Chinen LTD, Peres SV, Peterlevitz MA, de Azevedo Pereira AE et al (2011) Meningeal carcinomatosis in breast cancer: prognostic factors and outcome. J Neurooncol 104:565–572. https://doi.org/10.1007/s11060-010-0524-y
Jo J-C, Kang MJ, Kim JE et al (2013) Clinical features and outcome of leptomeningeal metastasis in patients with breast cancer: a single center experience. Cancer Chemother Pharmacol 72:201–207. https://doi.org/10.1007/s00280-013-2185-y
Hyun J-W, Jeong IH, Joung AR et al (2016) Leptomeningeal metastasis: clinical experience of 519 cases. Eur J Cancer 56:107–114. https://doi.org/10.1016/j.ejca.2015.12.021
Le Rhun E, Taillibert S, Chamberlain MC (2013) Carcinomatous meningitis: leptomeningeal metastases in solid tumors. Surg Neurol Int 4:S265–S288. https://doi.org/10.4103/2152-7806.111304
Scott BJ, Oberheim-Bush NA, Kesari S (2016) Leptomeningeal metastasis in breast cancer—a systematic review. Oncotarget 7:3740–3747. https://doi.org/10.18632/oncotarget.5911
Boogerd W, van den Bent MJ, Koehler PJ et al (2004) The relevance if intraventricular chemotherapy for leptomeningeal metastasis in breast cancer: a randomized study. Eur J Cancer 40:2726–2733
Grossman SA, Finkelstein DM, Ruckdeschel JC et al (1993) Randomized prospective comparison if intraventricular methotrexate and thiothepa in patients with previously untreated neoplastic meningitis. Eastern Cooperative Oncology Group. J Clin Oncol 11:561–569
Hitchins RN, Bell DR, Woods RL et al (1987) A prospective randomized trial of single-agent versus combination chemotherapy in meningeal carcinomathosis. J Clin Oncol 5:1655–1662
Glantz MJ, Jaeckle KA, Chamberlain MC et al (1999) A randomized controlled trial comparing intrathecal sustained-release cytarabine (DepoCyt) to intrathecal methotrexate in patients with neoplastic meningitis from solid tumors. Clin Cancer Res 5:3394–3402
Shapiro WR, Johanson CE, Boogerd W (2009) Treatment modalities for leptomeningeal metastases. Semin Oncol 36:S46–S54. https://doi.org/10.1053/j.seminoncol.2009.05.006
Shapiro WR, Schmid M, Glantz M et al (2006) A randomized phase III/IV study to determine benefit and safety of cytarabine liposome injection for treatment of neoplastic meningitis. J Clin Oncol 24:1528
Niwińska A, Rudnicka H, Murawska M (2013) Breast cancer leptomeningeal metastasis: propensity of breast cancer subtypes for leptomeninges and the analysis of factors influencing survival. Med Oncol 30(1):408. https://doi.org/10.1007/s12032-012-0408-4
Niwińska A, Rudnicka H, Murawska M (2015) Breast cancer leptomeningeal metastasis: the results of combined treatment and the comparison of methotrexate and liposomal cytarabine as intra-cerebrospinal fluid chemotherapy. Clin Breast Cancer 15:66–72. https://doi.org/10.1016/j.clbc.2014.07.004
Lara-Medina F, Crismatt A, Villareal-Garza C et al (2012) Clinical features and prognostic factors in patients with carcinomatous meningitis secondary to breast cancer. Breast J 18:233–241. https://doi.org/10.1111/j.1524-4741.2012.01228.x
Torrejon D, Oliveira M, Cortes J et al (2013) Implication of breast cancer phenotype for patients with leptomeningeal carcinomatosis. Breast 22:19–23. https://doi.org/10.1016/j.breast.2012.10.009
Morikawa A, Jordan L, Rozner R et al (2017) Characteristics and outcomes of patients with breast cancer with leptomeningeal metastasis. Clin Breast Cancer 17:23–28. https://doi.org/10.1016/j.clbc.2016.07.002
Meattini I, Livi L, Saieva C et al (2012) Prognostic factors and clinical features in patients with leptomeningeal metastases from breast cancer: a single center experience. J Chemother 24:279–284. https://doi.org/10.1179/1973947812Y.0000000034
Le Rhun E, Taillibert S, Zairi F et al (2013) Prolonged survival of patients with breast cancer-related leptomeningeal metastases. Anticancer Res 33:2057–2064
Jayson GC, Howell A (1996) Carcinomatous meningitis in solid tumorurs. Ann Oncol 7:773–786
Chamberlain MC, Glantz M, Groves MD et al (2009) Diagnostic tools for neoplastic meningitis: detecting disease, identifying patient risk, and determining benefit of treatment. Semin Oncol 36:S35-45. https://doi.org/10.1053/j.seminoncol.2009.05.005
Chamberlain MC, Johnston SK, Glantz MJ (2009) Neoplastic meningitis-related prognostic significance of the Karnofsky performance status. Arch Neurol 66:74–78. https://doi.org/10.1001/archneurol.2008.506
Lee S, Ahn HK, Park YH, Nam DH, Lee JI, Park W et al (2011) Leptomeningeal metastases from breast cancer: intrinsic subtypes may affect unique clinical manifestations. Breast Cancer Res Treat 129:809–817. https://doi.org/10.1007/s10549-011-1682-0
Sacco K, Muhammad A, Saleem W et al (2016) Leptomeningeal carcinomatosis as the primary presentation of relapse in breast cancer (Review). Oncol Lett 12:779–782
Funding
This research did not receive any specific grant from funding agencies in the public, commercial or not-for-profit sectors.
Author information
Authors and Affiliations
Corresponding author
Ethics declarations
Conflict of interest
The authors declare that they have no conflict of interest.
Rights and permissions
About this article
Cite this article
Niwińska, A., Pogoda, K., Michalski, W. et al. Determinants of prolonged survival for breast cancer patient groups with leptomeningeal metastasis (LM). J Neurooncol 138, 191–198 (2018). https://doi.org/10.1007/s11060-018-2790-z
Received:
Accepted:
Published:
Issue Date:
DOI: https://doi.org/10.1007/s11060-018-2790-z