Abstract
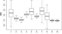
Timber investment returns were estimated for the principal exotic and selected native species in the Southern Cone of Latin America and in the Southern United States. Exotic eucalyptus plantations in South America were most profitable, with internal rates of returns (IRRs) ranging from 13% to 23%, followed by exotic loblolly pine, with IRRs from 9% to 17%. Average loblolly pine plantation returns in the US South were less profitable, with an IRR of about 9.5%, and natural forest management in the South had IRRs of 4% to 8%. Subtropical native species plantations of the best araucaria and nothofagus species had reasonable financial returns, with IRRs ranging from 5% to 13%. Subtropical or tropical native forests had fewer commercial timber species, and had much lower growth rates and returns. Their IRRs were less than 4%, or even negative for unmanaged stands. State subsidy payments for forest plantations or for timber stand improvements increased IRRs somewhat and reserving areas for environmental protection reduced their IRRs slightly. Including land costs in the cash flows decreased these internal rates of return substantially. Natural stand returns in Latin America were much less than those of plantations, but management of those stands offered better rates of return than only holding the land.
Similar content being viewed by others
References
Binkley C (1997) Preserving nature through intensive plantation forestry: the case for forestland allocation with illustrations from British Columbia. For Chron 73(5):553–559
Brealey RA, Myers SC (1991) Principles of corporate finance. McGraw-Hill, New York
Brown C (1998) Global forest products outlook study: thematic study on plantations. Consulting Report. Food and Agriculture Organization of the United Nations. 80 pp
Carle J, Vuorinen P, Del Lungo A (2002) Status and trends in global forest plantation development. For Products J 52(7/8):12–23
Carrere R, Lohmann L (1996) Pulping the South: industrial tree plantations and the world paper economy. Zed Books Ltd, London
Cossalter C, Pye-Smith C (2003) Fast-wood forestry: myths and realities. Center for International Forestry Research. Bogor, Barat, Indonesia. Accessed at: http://www.cifor.cigar.org. November 20, 2003
Davis LS, Johnson KN, Bettinger PS, Howard TA (2001) Forest management. McGraw-Hill Book Co, New York
Deloitte (2005) Country snapshots. Accessed at: http://www.deloitte.com/dtt. 23 May 2005
DiNicola A, Jones DJ, Gray G (1997) Opportunities for forestry investment in Asia and the Pacific through carbon offset initiatives. Asia-pacific Forestry Sector Outlook Study Working Paper No. 29. Food and Agriculture Organization of the United Nations, Rome
Economic Intelligence Unit (2005) Overview: country risk ratings: scores for March 2005 compared with December 2004. Accessed at: http://store.eiu.com. 23 May 2005
Egan L (2005) Tiny Uruguay pressed by neighbor to halt pulp mills. Environmental News Network. Accessed at: http://www.enn.com/today.html?id=8478. 17 August 2005
Evans J, Turnbull J (2004) Plantation forestry in the tropics, 3rd ed. Oxford University Press, New York, 467 pp
FAO (Food and Agriculture Organization of the United Nations) (2001) Global forest resources assessment 2000. Food and Agriculture Organization of the United Nations. Available at: http://www.fao.org/forestry/fo/fra/index.jsp
FAO (2003) State of the world’s forests, 2003. Food and Agriculture Organization of the United Nations, Rome, 243 pp
FAO (2005) Global forest resource assessment. Accessed at: www.fao.org/forestry/index.jsp. 23 July 2006
Klemperer D (1996) Forest resource economics and finance. McGraw-Hill Book Company, New York
Gregory RG (1987) Resource Economics for Foresters. John Wiley. New York
IADB (2005) Inversión directa en negocios forestales sostenibles. Banco Interamericano de Desarrollo. Accessed at: http://www.iadb.org/regions/re2/forestal/id/home-id.htm. 21 June 2005
Lamprecht H (1990) Silvicultura en los Trópicos. Duetsche Geseltschaft fur Technische Zusummenarbeit (GTZ) GmbH Cooperación Técnica–República Federal de Alemania. Eschborn. 335 pp
Oyarzún C, Aracena C, Rutherfod P, Godoy R, Deschrijver A (2006) Effect of land use conversion from native forests to exotic plantations on streamwater quality in southern Chile. Water, Air, Soil Pollution (in press)
Pandey D, Ball J (1998) The role of industrial plantations in future global fibre supply. Unasylva 193:37–43
Riegelhauppt E, Burkart R (2002) El uso madero sustentable de Selva Misionera. In: La Selva Misionera: Opciones para su Conservación y Uso Sustentable. Fundación para Conservación de las Especies y Medioambiente. Buenos Aires, Argentina, pp 73–90
Rivero L, Buffe N, Pascaul N, Mac Donagh P, Toma T (2004) Tree growth after selective harvesting in the Guarani Reserve, Misiones. In: 11 h Technical Meeting, Forest and Environment. Eldorado, Misiones
Roise JP, Cubbage FW, Abt RC, Siry JP (2000) Regulation of timber yield for sustainable management of industrial forest plantations: theory and practice. In: Klaus van Gadow (ed) Sustainable forest management. Elsevier, pp 217–255
Sayer J, Chokkalingam U, Poulsen K (2001) The restoration of forest biodiversity and ecological values. In: International seminar on restoration research on degraded forest ecosystems. Seoul, Korea. 10 pp
Sedjo RA (1983) The comparative economics of plantation forestry: a global assessment. Resources for the Future. Johns Hopkins Press, Baltimore
Sedjo RA (1999) The potential of high-yield forestry for meeting timber needs. New For 17:339–359
Sedjo RA (2001) The role of forest plantations in the world’s future timber supply. For Chron 77(2):221–225
Sedjo R, Botkin D (1997) Using forest plantations to spare natural forests. Environment 39(10):14–20
Siry JP, Cubbage FW, Rukunuddin Ahmed M (2005) Sustainable forest management: global trends and opportunities. J For Policy Econ 7(4):551–561
Smith WB, Vissage JS, Darr DR, Sheffield RM (2001) Forest resources of the United States, 1997. General Technical Report NC-219. St. Paul, MN: USDA Forest Service North Central Forest Experiment Station, 190 pp
Smith WB, Miles PD, Vissage JS, Pugh SA (2004) Forest Resources of the United States, 2002. General Technical Report NC-241. St. Paul, MN: USDA Forest Service North Central Forest Experiment Station, 137 pp
Tomberlin D, Buongiorno J (2001) Timber plantations, timber supply, and forest conservation. In: Palo M, Uusivuori J, Mery G (eds) World forests, markets, and polices world forests volume III. Kluwer Academic Publishers, Dordrecht, pp 85–94
Uruguay Dirección Forestal (1995) Uruguayan forestry: environmentally friendly and profitable—investment opportunities. República Oriental del Uruguay, Ministerio de Ganaderia Agricultura y Pesca, Dirección General de Recursos Naturales Renovables, 40 pp
Wadsworth FH (1997) Forest production for tropical America. U.S. Department of Agriculture, Forest Service. Agriculture handbook 710. Washington, DC, 563 pp
Yahoo Noticias (2005) Argentina es el país de mayor desarollo de América Latina, según Informe PNUD. Accessed at: http://ar.news.yahoo.com/050907/7/khl8.html. 8 September 2005
Yahoo Noticias (2006) Cumbre Vásquez-Kirchner por plantas celulosa. Accessed at: http://ar.news.yahoo.com/060327/4/ps6y.html. 27 March 2006
Zinkhan FC, Cubbage FW (2003) Financial analysis of timber investments. In: Sills EO, Abt KL (eds) Forests in a market economy. Kluwer Academic Publishers, Netherlands, pp 77–95
Author information
Authors and Affiliations
Corresponding author
Rights and permissions
About this article
Cite this article
Cubbage, F., Mac Donagh, P., Sawinski Júnior, J. et al. Timber investment returns for selected plantations and native forests in South America and the Southern United States. New Forests 33, 237–255 (2007). https://doi.org/10.1007/s11056-006-9025-4
Received:
Accepted:
Published:
Issue Date:
DOI: https://doi.org/10.1007/s11056-006-9025-4


