Skip to main content

A structural based feature extraction for detecting the relation of hidden substructures in coral reef images

Abstract

In this paper, we present an efficient approach to extract local structural color texture features for classifying coral reef images. Two local texture descriptors are derived from this approach. The first one, based on Median Robust Extended Local Binary Pattern (MRELBP), is called Color MRELBP (CMRELBP). CMRELBP is very accurate and can capture the structural information from color texture images. To reduce the dimensionality of the feature vector, the second descriptor, co-occurrence CMRELBP (CCMRELBP) is introduced. It is constructed by applying the Integrative Co-occurrence Matrix (ICM) on the Color MRELBP images. This way we can detect and extract the relative relations between structural texture patterns. Moreover, we propose a multiscale LBP based approach with these two schemes to capture microstructure and macrostructure texture information. The experimental results on coral reef (EILAT, EILAT2, RSMAS, and MLC) and four well-known texture datasets (OUTEX, KTH-TIPS, CURET, and UIUCTEX) show that the proposed scheme is quite effective in designing an accurate, robust to noise, rotation and illumination invariant texture classification system. Moreover, it makes an admissible tradeoff between accuracy and number of features.

This is a preview of subscription content, access via your institution.

Fig. 1
Fig. 2
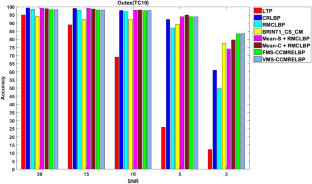
Fig. 3
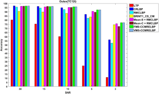
Fig. 4
Fig. 5
Fig. 6
Fig. 7
Fig. 8

References

  1. Bala A, Kaur T (2016) Local texton XOR patterns: A new feature descriptor for content-based image retrieval. Engineering Science and Technology, an International Journal 19(1):101–112

    Article  Google Scholar 

  2. Beijbom O, Edmunds PJ, Kline DI, Mitchell BG, Kriegman D (2012) Automated annotation of coral reef survey images. In: 2012 IEEE Conference on Computer Vision and Pattern Recognition, IEEE, pp 1170–1177

  3. Bewley M, Douillard B, Nourani-Vatani N, Friedman A, Pizarro O, Williams S (2012) Automated species detection: An experimental approach to kelp detection from sea-floor AUV images. In: Proc Australas Conf Rob Autom

  4. Bewley M, Nourani-Vatani N, Rao D, Douillard B, Pizarro O, Williams SB (2015) Hierarchical classification in AUV imagery. In: Field and service robotics. Springer, pp 3–16

  5. Bianconi F, Harvey RW, Southam P, Fernández A (2011) Theoretical and experimental comparison of different approaches for color texture classification. Journal of Electronic Imaging 20(4):043006

    Article  Google Scholar 

  6. Blanchet J-N, Déry S, Landry J-A, Osborne K (2016) Automated annotation of corals in natural scene images using multiple texture representations. PeerJ Preprints 4:e2026v2022

  7. Caputo B, Hayman E, Fritz M, Eklundh J-O (2010) Classifying materials in the real world. Image Vis Comput 28(1):150–163

    Article  Google Scholar 

  8. Dharma D (2018) Coral reef image/video classification employing novel octa-angled pattern for triangular sub region and pulse coupled convolutional neural network (PCCNN). Multimed Tools Appl 77(24):31545–31579

    Article  Google Scholar 

  9. Elawady M (2015) Sparse coral classification using deep convolutional neural networks. arXiv preprint arXiv:151109067

  10. Fathi A, Naghsh-Nilchi AR (2012) Noise tolerant local binary pattern operator for efficient texture analysis. Pattern Recogn Lett 33(9):1093–1100

    Article  Google Scholar 

  11. Gómez-Ríos A, Tabik S, Luengo J, Shihavuddin A, Krawczyk B, Herrera F (2019) Towards highly accurate coral texture images classification using deep convolutional neural networks and data augmentation. Expert Syst Appl 118:315–328

    Article  Google Scholar 

  12. Guo Z, Zhang L, Zhang D (2010) A completed modeling of local binary pattern operator for texture classification. IEEE Trans Image Process 19(6):1657–1663

    MathSciNet  MATH  Article  Google Scholar 

  13. Haralick RM, Shanmugam K, Dinstein IH (1973) Textural features for image classification. IEEE Transactions on Systems, Man, and Cybernetics 3(6):610–621

    Article  Google Scholar 

  14. Hayman E, Caputo B, Fritz M, Eklundh J-O (2004) On the significance of real-world conditions for material classification. In: European conference on computer vision. Springer, pp 253–266

  15. He K, Zhang X, Ren S, Sun J (2016) Deep residual learning for image recognition. In: Proceedings of the IEEE conference on computer vision and pattern recognition, pp 770–778

  16. Heikkilä M, Pietikäinen M, Schmid C (2009) Description of interest regions with local binary patterns. Pattern Recogn 42(3):425–436

    MATH  Article  Google Scholar 

  17. Huang G, Liu Z, Van Der Maaten L, Weinberger KQ (2017) Densely connected convolutional networks. In: Proceedings of the IEEE conference on computer vision and pattern recognition, pp 4700–4708

  18. Krizhevsky A, Sutskever I, Hinton GE (2012) Imagenet classification with deep convolutional neural networks. In: Advances in neural information processing systems, pp 1097–1105

  19. Lazebnik S, Schmid C, Ponce J (2005) A sparse texture representation using local affine regions. IEEE Trans Pattern Anal Mach Intell 27(8):1265–1278

    Article  Google Scholar 

  20. LeCun Y, Bottou L, Bengio Y, Haffner P (1998) Gradient-based learning applied to document recognition. Proc IEEE 86(11):2278–2324

    Article  Google Scholar 

  21. Liao S, Law MW, Chung AC (2009) Dominant local binary patterns for texture classification. IEEE Trans Image Process 18(5):1107–1118

    MathSciNet  MATH  Article  Google Scholar 

  22. Liu L, Lao S, Fieguth PW, Guo Y, Wang X, Pietikäinen M (2016) Median robust extended local binary pattern for texture classification. IEEE Trans Image Process 25(3):1368–1381

    MathSciNet  MATH  Article  Google Scholar 

  23. Liu L, Long Y, Fieguth PW, Lao S, Zhao G (2014) BRINT: binary rotation invariant and noise tolerant texture classification. IEEE Trans Image Process 23(7):3071–3084

    MathSciNet  MATH  Article  Google Scholar 

  24. Liu GH, Yang JY (2013) Content-based image retrieval using color difference histogram. Pattern Recogn 46(1):188–198

    Article  Google Scholar 

  25. Liu L, Zhao L, Long Y, Kuang G, Fieguth P (2012) Extended local binary patterns for texture classification. Image Vis Comput 30(2):86–99

    Article  Google Scholar 

  26. Lowe DG (2004) Distinctive image features from scale-invariant keypoints. Int J Comput Vis 60(2):91–110

    Article  Google Scholar 

  27. Loya Y (2004) The coral reefs of Eilat—past, present and future: three decades of coral community structure studies. In: Coral health and disease. Springer, pp 1–34

  28. Mahmood A, Bennamoun M, An S, Sohel F, Boussaid F, Hovey R, Kendrick G, Fisher R (2016) Automatic annotation of coral reefs using deep learning. In: Oceans 2016 mts/IEEE monterey, IEEE, pp 1–5

  29. Mahmood A, Bennamoun M, An S, Sohel F, Boussaid F, Hovey R, Kendrick G, Fisher R (2016) Coral classification with hybrid feature representations. In: 2016 IEEE International Conference on Image Processing (ICIP), IEEE, pp 519–523

  30. Manjunath BS, Ma W-Y (1996) Texture features for browsing and retrieval of image data. IEEE Trans Pattern Anal Mach Intell 18(8):837–842

    Article  Google Scholar 

  31. Manjunath BS, Ohm J-R, Vasudevan VV, Yamada A (2001) Color and texture descriptors. IEEE Transactions on Circuits and Systems for Video Technology 11(6):703–715

    Article  Google Scholar 

  32. Marcos MSA, David L, Peñaflor E, Ticzon V, Soriano M (2008) Automated benthic counting of living and non-living components in Ngedarrak Reef, Palau via subsurface underwater video. Environ Monit Assess 145(1–3):177–184

    Article  Google Scholar 

  33. Mary NAB, Dejey D (2018) Classification of Coral Reef Submarine Images and Videos Using a Novel Z with Tilted Z Local Binary Pattern (Z⊕ TZLBP). Wirel Pers Commun 98(3):2427–2459

    Article  Google Scholar 

  34. Mary NAB, Dharma D (2017) Coral reef image classification employing improved LDP for feature extraction. J Vis Commun Image Represent 49:225–242

    Article  Google Scholar 

  35. Mary NAB, Dharma D (2018) A novel framework for real-time diseased coral reef image classification. Multimed Tools Appl:1–39

  36. Ojala T (1997) Nonparametric texture analysis using simple spatial operators, with applications in visual inspection. Dissertation, Acta Univ Oul C 105, Department of Electrical Engineering, University of Oulu, Finland 105

  37. Ojala T, Maenpaa T, Pietikainen M, Viertola J, Kyllonen J, Huovinen S (2002) Outex-new framework for empirical evaluation of texture analysis algorithms. In: Object recognition supported by user interaction for service robots. IEEE, pp 701–706

  38. Ojala T, Pietikäinen M, Harwood D (1996) A comparative study of texture measures with classification based on featured distributions. Pattern Recogn 29(1):51–59

    Article  Google Scholar 

  39. Ojala T, Pietikainen M, Maenpaa T (2002) Multiresolution gray-scale and rotation invariant texture classification with local binary patterns. IEEE Trans Pattern Anal Mach Intell 24(7):971–987

    MATH  Article  Google Scholar 

  40. Padmavathi G, Muthukumar M, Thakur SK (2010) Kernel principal component analysis feature detection and classification for underwater images. In: 2010 3rd International Congress on Image and Signal Processing, IEEE, pp 983–988

  41. Palm C (2004) Color texture classification by integrative co-occurrence matrices. Pattern Recogn 37(5):965–976

    Article  Google Scholar 

  42. Pican N, Trucco E, Ross M, Lane D, Petillot Y, Ruiz IT (1998) Texture analysis for seabed classification: co-occurrence matrices vs. self-organizing maps. In: IEEE Oceanic Engineering Society. OCEANS'98. Conference Proceedings (Cat. No. 98CH36259), IEEE, pp 424–428

  43. Pietikäinen M, Ojala T, Xu Z (2000) Rotation-invariant texture classification using feature distributions. Pattern Recogn 33(1):43–52

    Article  Google Scholar 

  44. Pizarro O, Rigby P, Johnson-Roberson M, Williams SB, Colquhoun J (2008) Towards image-based marine habitat classification. In: OCEANS 2008, IEEE, pp 1–7

  45. Russakovsky O, Deng J, Su H, Krause J, Satheesh S, Ma S, Huang Z, Karpathy A, Khosla A, Bernstein M (2015) Imagenet large scale visual recognition challenge. Int J Comput Vis 115(3):211–252

    MathSciNet  Article  Google Scholar 

  46. Sabins FF (2007) Remote sensing: principles and applications. Waveland Press, Long Grove

    Google Scholar 

  47. Shakoor MH, Boostani R (2018) A novel advanced local binary pattern for image-based coral reef classification. Multimed Tools Appl 77(2):2561–2591

    Article  Google Scholar 

  48. Shakoor MH, Boostani R (2018) Radial mean local binary pattern for noisy texture classification. Multimed Tools Appl 77(16):21481–21508. https://doi.org/10.1007/s11042-017-5440-0

    Article  Google Scholar 

  49. Shihavuddin A (2017) Coral reef dataset, v2. 10.17632/86y667257h.2#file-5a2847d2-4c9f-41a9-8d7c-cdc74a0195c2

  50. Shihavuddin A, Gracias N, Garcia R, Gleason A, Gintert B (2013) Image-based coral reef classification and thematic mapping. Remote Sens 5(4):1809–1841

    Article  Google Scholar 

  51. Simonyan K, Zisserman A (2014) Very deep convolutional networks for large-scale image recognition. arXiv preprint arXiv:14091556

  52. Sotoodeh M, Moosavi MR, Boostani R (2019) A Novel Adaptive LBP-Based Descriptor for Color Image Retrieval. Expert Syst Appl

  53. Stokes MD, Deane GB (2009) Automated processing of coral reef benthic images. Limnol Oceanogr Methods 7(2):157–168

    Article  Google Scholar 

  54. Szegedy C, Vanhoucke V, Ioffe S, Shlens J, Wojna Z (2016) Rethinking the inception architecture for computer vision. In: Proceedings of the IEEE conference on computer vision and pattern recognition, pp 2818–2826

  55. Tan X, Triggs W (2010) Enhanced local texture feature sets for face recognition under difficult lighting conditions. IEEE Trans Image Process 19(6):1635–1650

    MathSciNet  MATH  Article  Google Scholar 

  56. Tusa E, Reynolds A, Lane DM, Robertson NM, Villegas H, Bosnjak A (2014) Implementation of a fast coral detector using a supervised machine learning and gabor wavelet feature descriptors. In: 2014 IEEE Sensor Systems for a Changing Ocean (SSCO). IEEE, pp 1–6

  57. Zhang B, Gao Y, Zhao S, Liu J (2010) Local derivative pattern versus local binary pattern: face recognition with high-order local pattern descriptor. IEEE Trans Image Process 19(2):533–544

    MathSciNet  MATH  Article  Google Scholar 

  58. Zhang J, Marszałek M, Lazebnik S, Schmid C (2007) Local features and kernels for classification of texture and object categories: A comprehensive study. Int J Comput Vis 73(2):213–238

    Article  Google Scholar 

  59. Zhao Y, Jia W, Hu R-X, Min H (2013) Completed robust local binary pattern for texture classification. Neurocomputing 106:68–76

    Article  Google Scholar 

  60. Zhu Z, You X, Chen CP, Tao D, Ou W, Jiang X, Zou J (2015) An adaptive hybrid pattern for noise-robust texture analysis. Pattern Recogn 48(8):2592–2608

    Article  Google Scholar 

Download references

Acknowledgements

The authors of this paper express their deepest gratitude to the late Dr. Farshad Tajeripour, who paved the road for Mahmood Sotoodeh with unwavering support in the early stages of his Ph.D. thesis. We offer our deepest condolences to his family and know that God welcomes his soul to a heavenly place.

Author information

Affiliations

Authors

Corresponding author

Correspondence to Mahmood Sotoodeh.

Additional information

Publisher’s note

Springer Nature remains neutral with regard to jurisdictional claims in published maps and institutional affiliations.

Rights and permissions

Reprints and Permissions

About this article

Verify currency and authenticity via CrossMark

Cite this article

Sotoodeh, M., Moosavi, M.R. & Boostani, R. A structural based feature extraction for detecting the relation of hidden substructures in coral reef images. Multimed Tools Appl 78, 34513–34539 (2019). https://doi.org/10.1007/s11042-019-08050-w

Download citation

  • Received:

  • Revised:

  • Accepted:

  • Published:

  • Issue Date:

  • DOI: https://doi.org/10.1007/s11042-019-08050-w

Keywords

  • Color texture descriptors
  • Coral reef images
  • Integrative co-occurrence matrix (ICM)
  • Local binary pattern (LBP)
  • Feature extraction
  • Macrostructure texture information