Skip to main content

Soft tissue fibroblasts from well healing and chronic human wounds show different rates of myofibroblasts in vitro

Abstract

Due to an increasing life expectancy in western countries, chronic wound treatment will be an emerging challenge in the next decades. Because therapies are improving slowly appropriate diagnostic tools enabling the early prediction of the healing success remain to be developed. We used a well-established in vitro assay in combination with the analysis of 27 cytokines to discriminate between fibroblasts from chronic (n = 6) and well healing (n = 8) human wounds. Proliferation and migration of the cells as well as their response to hypoxia and their behaviour in co-culture with microvascular endothelial cells were analyzed. Myofibroblast differentiation, a time-limited essential process of regular wound healing, was also quantified. Besides weaker proliferation and migration significantly higher rates of myofibroblasts were detected in chronic wounds. With respect to the cytokine release, there was a clear trend within the group of chronic wound fibroblasts, which were releasing interferon-γ, monocyte chemotactic protein-1, granulocyte–macrophage colony stimulating factor and basic fibroblast growth factor in higher amounts than fibroblasts from healing wounds. Although the overall response of both groups of fibroblasts to hypoxia and to the contact with endothelial cells was similar, especially chronic wound fibroblasts seemed to benefit from the endothelial interaction during hypoxia and displayed better migration characteristics. The study shows (1) that the assay can identify specific features of fibroblasts derived from different human wounds and (2) that wound fibroblasts are varying in their response to the chosen parameters. Thus, current therapeutic approaches and individual healing prediction might benefit from this assay.

This is a preview of subscription content, access via your institution.

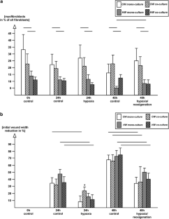
Fig. 1
Fig. 2
Fig. 3
Fig. 4
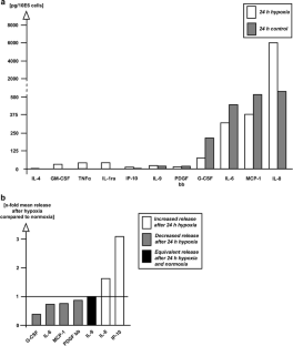
Fig. 5
Fig. 6

References

  1. Statistisches Bundesamt, 12. koordinierte Bevölkerungsvorausberechnung, http://www.destatis.de/bevoelkerungspyramide. Accessed Oct 2012

  2. Gosain A, DiPietro LA (2004) Aging and wound healing. World J Surg 28:321–326

    PubMed  Article  Google Scholar 

  3. Lebrun E, Tomic-Canic M, Kirsner RS (2010) The role of surgical debridement in healing of diabetic foot ulcers. Wound Repair Regen 18:433–438

    PubMed  Article  Google Scholar 

  4. Eneroth M, Persson BM (1993) Risk factors for failed healing in amputation for vascular disease. Aprospective, consecutive study of 177 cases. Acta Orthop Scand 64:369–372

    PubMed  Article  CAS  Google Scholar 

  5. Kannon GA, Garrett AB (1995) Moist wound healing with occlusive dressings. A clinical review. Dermatol Surg 21:583–590

    PubMed  Article  CAS  Google Scholar 

  6. Springfield DS (1993) Surgical wound healing. Cancer Treat Res 67:81–98

    PubMed  Article  CAS  Google Scholar 

  7. Silverstein P (1992) Smoking and wound healing. Am J Med 93:22S–24S

    PubMed  Article  CAS  Google Scholar 

  8. Warner DO (2006) Perioperative abstinence from cigarettes: physiologic and clinical consequences. Anesthesiology 104:356–367

    PubMed  Article  Google Scholar 

  9. Dill-Müller D, Tilgen W (2005) Bewährte und aktuelle Verfahren in der Wundheilung. Hautarzt 56:411–422

    PubMed  Article  Google Scholar 

  10. Ioannidou E (2006) Therapeutic modulation of growth factors and cytokines in regenerative medicine. Curr Pharm Des 12:2397–2408

    PubMed  Article  CAS  Google Scholar 

  11. Bello YM, Falabella AF, Eaglstein WH (2001) Tissue-engineered skin. Current status in wound healing. Am J Clin Dermatol 2(5):305–313

    PubMed  Article  CAS  Google Scholar 

  12. Horch RE, Kopp J, Kneser U, Beier J, Bach AD (2005) Tissue engineering of cultured skin substitutes. J Cell Mol Med 9(3):592–608

    PubMed  Article  Google Scholar 

  13. Johnson PC (2000) The role of tissue engineering. Adv Skin Wound Care 13(2):12–14

    PubMed  CAS  Google Scholar 

  14. Lazic T, Falanga V (2011) Bioengineered skin constructs and their use in wound healing. Plast Reconstr Surg 127(suppl 1):75S–90S

    PubMed  CAS  Google Scholar 

  15. Diegelmann RF, Evans MC (2004) Wound healing: an overview of acute, fibrotic and delayed healing. Front Biosci 9:283–289

    PubMed  Article  CAS  Google Scholar 

  16. Schilling JA (1976) Wound healing. Surg Clin North Am 56(4):859–874

    PubMed  CAS  Google Scholar 

  17. Singer AJ, Clark RA (1999) Cutaneous wound healing. N Engl J Med 341:738–746

    PubMed  Article  CAS  Google Scholar 

  18. Tandara AA, Mustoe TA (2004) Oxygen in wound healing-more than a nutrient. World J Surg 28(3):294–300

    PubMed  Article  Google Scholar 

  19. Gharaee-Kermani M, Phan SH (2001) Role of cytokines and cytokine therapy in wound healing and fibrotic diseases. Curr Pharm Des 7:1083–1103

    PubMed  Article  CAS  Google Scholar 

  20. Oberringer M, Meins C, Bubel M, Pohlemann T (2007) A new in vitro wound model based on the co-culture of human dermal microvascular endothelial cells and human dermal fibroblasts. Biol Cell 99(4):197–207

    PubMed  Article  CAS  Google Scholar 

  21. Oberringer M, Meins C, Bubel M, Pohlemann T (2008) In vitro wounding: effects of hypoxia and transforming growth factor β1 on proliferation, migration and myofibroblastic differentiation in an endothelial cell-fibroblast co-culture model. J Mol Histol 39:37–47

    PubMed  Article  CAS  Google Scholar 

  22. Breit S, Bubel M, Pohlemann T, Oberringer M (2011) Erythropoietin ameliorates the reduced migration of human fibroblasts during in vitro hypoxia. J Physiol Biochem 67:1–13

    PubMed  Article  CAS  Google Scholar 

  23. Hunt TK (1988) The physiology of wound healing. Ann Emerg Med 17:1265–1273

    PubMed  Article  CAS  Google Scholar 

  24. Trabold O, Wagner S, Wicke C, Scheuenstuhl H, Hussain Z, Rosen N, Seremetiev A, Becker HD, Hunt TK (2003) Lactate and oxygen constitute a fundamental regulatory mechanism in wound healing. Wound Repair Regen 11:504–509

    PubMed  Article  Google Scholar 

  25. Hopf HW, Rollins MD (2007) Wounds: an overview of the role of oxygen. Antioxid Redox Signal 9(8):1183–1192

    PubMed  Article  CAS  Google Scholar 

  26. Gabbiani G (2003) The myofibroblast in wound healing and fibrocontractive diseases. J Pathol 200:500–503

    PubMed  Article  CAS  Google Scholar 

  27. Moulin V, Castilloux G, Auger FA, Garrel D, O‘Connor-McCourt MD, Germain L (1998) Modulated response to cytokines of human wound healing myofibroblasts compared to dermal fibroblasts. Exp Cell Res 238:283–293

    PubMed  Article  CAS  Google Scholar 

  28. Powell DW, Mifflin RC, Valentich JD, Crowe SE, Saada JI, West AB (1999) Myofibroblasts. I. Paracrine cells important in health and disease. Am J Physiol 277:C1–C19

    PubMed  CAS  Google Scholar 

  29. Hopf HW, Gibson JJ, Angeles AP, Constant JS, Feng JJ, Rollins MD, Zamirul Hussain M, Hunt TK (2005) Hyperoxia and angiogenesis. Wound Repair Regen 13(6):558–564

    PubMed  Article  Google Scholar 

  30. Purins K, Enblad P, Sandhagen B, Lewén A (2010) Brain tissue oxygen monitoring: a study of in vitro accuracy and stability of neurovent-PTO and licox sensors. Acta Neurochir 152(4):681–688

    Article  Google Scholar 

  31. Gerdes J, Lemke H, Baisch H, Wacker HH, Schwab U, Stein H (1984) Cell cycle analysis of a cell proliferation-associated human nuclear antigen defined by the monoclonal antibody Ki-67. J Immunol 133:1710–1715

    PubMed  CAS  Google Scholar 

  32. Grimstad Ø, Sandanger Ø, Ryan L, Otterdal K, Damaas JK, Pukstad B, Espevik T (2011) Cellular sources and inducers of cytokines present in acute wound fluid. Wound Repair Regen 19(3):337–347

    PubMed  Article  Google Scholar 

  33. Miles RH, Paxton TP, Zacheis D, Dries DJ, Gamelli RL (1994) Systemic administration of interferon-gamma impairs wound healing. J Surg Res 56(3):288–294

    PubMed  Article  CAS  Google Scholar 

  34. Schäffer M, Weimer W, Wider S, Stülten C, Bongartz M, Budach W, Becker HD (2002) Differential expression of inflammatory mediators in radiation-impaired wound healing. J Surg Res 107(1):93–100

    PubMed  Google Scholar 

  35. Ishida Y, Kondo T, Takayasu T, Iwakura Y, Mukaida N (2004) The essential involvement of cross-talk between IFN-gamma and TGF-beta in the skin wound-healing process. J Immunol 172(3):1848–1855

    PubMed  CAS  Google Scholar 

  36. Tamai K, Ishikawa H, Mauviel A, Uitto J (1995) Interferon-gamma coordinately upregulates matrix metalloprotease (MMP)-1 and MMP-3, but not tissue inhibitor of metalloproteases (TIMP), expression in cultured keratinocytes. J Invest Dermatol 104(3):384–390

    PubMed  Article  CAS  Google Scholar 

  37. Gillitzer R, Goebeler M (2001) Chemokines in cutaneous wound healing. J Leukoc Biol 69(4):513–521

    PubMed  CAS  Google Scholar 

  38. Marisa C, Lucci I, Di Giulio C, Bianchi G, Grilli A, Patruno A, Reale M (2005) MCP-1 and MIP-2 expression and production in BB diabetic rat: effect of chronic hypoxia. Mol Cell Biochem 276:105–111

    PubMed  Article  CAS  Google Scholar 

  39. DiPietro LA, Polverini PJ, Rahbe SM, Kovacs EJ (1995) Modulation of JE/MCP-1 expression in dermal wound repair. Am J Pathol 146:868–875

    PubMed  CAS  Google Scholar 

  40. Sprenger H, Kaufmann A, Garn H, Lahme B, Gemsa D, Gressner AM (1999) Differential expression of monocyte chemotactic protein-1 (MCP-1) in transforming rat hepatic stellate cells. J Hepatol 30:88–94

    PubMed  Article  CAS  Google Scholar 

  41. Werner S, Grose R (2003) Regulation of wound healing by growth factors and cytokines. Physiol Rev 83:835–870

    PubMed  CAS  Google Scholar 

  42. Barrientos S, Stojadinovic O, Golinko MS, Brem H, Tomic-Canic M (2008) Growth factors and cytokines in wound healing. Wound Repair Regen 16:585–601

    PubMed  Article  Google Scholar 

  43. Brem H, Golinko MS, Stojadinovic O, Kodra A, Diegelmann RF, Vukelic S, Entero H, Coppock DL, Tomic-Canic M (2008) Primary cultured fibroblasts derived from patients with chronic wounds: a methodology to produce human cell lines and test putative growth factor therapy such as GMCSF. J Transl Med 6:75

    PubMed  Article  Google Scholar 

  44. Fang Y, Shen J, Yao M, Beagley KW, Hambly BD, Bao S (2010) Granulocyte-macrophage colony-stimulating factor enhances wound healing in diabetes via upregulation of proinflammatory cytokines. Br J Dermatol 162:478–486

    PubMed  Article  CAS  Google Scholar 

  45. McGee GS, Davidson JM, Buckley A, Sommer A, Woodward SC, Aquino AM, Barbour R, Demetriou AA (1988) Recombinant basic fibroblast growth factor accelerates wound healing. J Surg Res 45:145–153

    PubMed  Article  CAS  Google Scholar 

  46. Uhl E, Barker JH, Bondart TJ, Gallaf TJ, Leiderer R, Lehr HA, Messmer K (1993) Basic fibroblast growth factor accelerates wound healing in chronically ischaemic tissue. Br J Surg 80:977–980

    PubMed  Article  CAS  Google Scholar 

  47. Cooper DM, Yu EZ, Hennessey P, Ko F, Robson MC (1994) Determination of endogenous cytokines in chronic wounds. Ann Surg 219:688–692

    PubMed  Article  CAS  Google Scholar 

  48. Goldstein S (1981) Replicative senescence: the human fibroblast comes of age. Science 249:1129–1132

    Article  Google Scholar 

  49. Stanley AC, Park HY, Phillips TJ, Russakovsky V, Menzoian JO (1997) Reduced growth of dermal fibroblasts from chronic venous ulcers can be stimulated with growth factors. J Vasc Surg 26:994–999

    PubMed  Article  CAS  Google Scholar 

  50. Loots MA, Lamme EN, Mekkes JR, Bos JD, Middelkoop E (1999) Cultured fibroblasts from chronic diabetic wounds on the lower extremity (non-insulin-dependent diabetes mellitus) show disturbed proliferation. Arch Dermatol Res 291:93–99

    PubMed  Article  CAS  Google Scholar 

  51. Shiraha H, Glading A, Gupta K, Wells A (1999) IP-10 inhibits epidermal growth factor induced motility by decreasing epidermal growth factor receptor-mediated calpain activity. J Cell Biol 146:243–253

    PubMed  CAS  Google Scholar 

  52. Feniger-Barish R, Yron I, Meshel T, Matityahu E, Ben-Baruch A (2003) IL-8-induced migratory responses through CXCR1 and CXCR2: association with phosphorylation and cellular redistribution of focal adhesion kinase. Biochemistry 42:2874–2886

    PubMed  Article  CAS  Google Scholar 

  53. Ghazarian A, Garner WL, Ehrlich HP (2000) Memory of past exposure to the chemokine IL-8 inhibits the contraction of fibroblast-populated collagen lattices. Exp Mol Pathol 69:242–247

    PubMed  Article  CAS  Google Scholar 

  54. Goldberg MT, Han YP, Yan C, Shaw MC, Garner WL (2007) TNF-alpha suppresses alpha-smooth muscle actin expression in human dermal fibroblasts: an implication for abnormal wound healing. J Invest Dermatol 127:2645–2655

    PubMed  Article  CAS  Google Scholar 

  55. Aden N, Nuttall A, Shiwen X, de Winter P, Leask A, Black CM, Denton CP, Abraham DJ, Stratton RJ (2010) Epithelial cells promote fibroblast activation via IL-1 alpha in systemic sclerosis. J Invest Dermatol 130:2191–2200

    PubMed  Article  CAS  Google Scholar 

  56. Ishida Y, Kondo T, Kimura A, Matsushima K, Mukaida N (2006) Absence of IL-1 receptor antagonist impaired wound healing along with aberrant NF-kappaB activation and a reciprocal suppression of TGF-beta signal pathway. J Immunol 176:5598–5606

    PubMed  CAS  Google Scholar 

  57. Wall IB, Moseley R, Baird DM, Kipling D, Giles P, Laffafian I, Price PE, Thomas DW, Stephens P (2008) Fibroblast dysfunction is a key factor in the non-healing of chronic venous leg ulcers. J Invest Dermatol 128:2526–2540

    PubMed  Article  CAS  Google Scholar 

  58. Raffetto JD, Mendez MV, Marien BJ, Byers HR, Phillips TJ, Park HY, Menzoian JO (2001) Changes in cellular motility and cytoskeletal actin in fibroblasts from patients with chronic venous insufficiency and in neonatal fibroblasts in the presence of chronic wound fluid. J Vasc Surg 33(6):1233–1241

    PubMed  Article  CAS  Google Scholar 

  59. Carulli MT, Ong VH, Ponticos M, Shiwen X, Abraham DJ, Black CM, Denton CP (2005) Chemokine receptor CCR2 expression by systemic sclerosis fibroblasts: evidence for autocrine regulation of myofibroblast differentiation. Arthritis Rheum 52:3772–3782

    PubMed  Article  CAS  Google Scholar 

  60. Mutoh H, Sashikawa M, Hayakawa H, Sugano K (2010) Monocyte chemoattractant protein-1 is generated via TGF-beta by myofibroblasts in gastric intestinal metaplasia and carcinoma without H. pylori infection. Cancer Sci 101:1783–1789

    PubMed  Article  CAS  Google Scholar 

  61. Cornelissen AM, Maltha JC, von den Hoff JW, Kuijpers-Jagtman AM (2000) Local injection of IFN-gamma reduces the number of myofibroblasts and the collagen content in palatal wounds. J Dent Res 79:1782–1788

    PubMed  Article  CAS  Google Scholar 

  62. Tanaka K, Sano K, Yuba K, Katsumura K, Nakano T, Tanaka K, Kobayashi M, Ikeda T, Abe M (2003) Inhibition of induction of myofibroblasts by interferon gamma in a human fibroblast cell line. Int Immunopharmacol 3:1273–1280

    PubMed  Article  CAS  Google Scholar 

  63. Gu L, Zhu YJ, Guo ZJ, Xu XX, Xu WB (2004) Effect of IFN-gamma and dexamethasone on TGF-beta1-induced human fetal lung fibroblast-myofibroblast differentiation. Acta Pharmacol Sin 25:1479–1488

    PubMed  CAS  Google Scholar 

  64. Hinz B (2007) Formation and function of the myofibroblast during tissue repair. J Invest Dermatol 127:526–537

    PubMed  Article  CAS  Google Scholar 

  65. Sobral LM, Montan PF, Martelli-Junior H, Graner E, Coletta RD (2007) Opposite effects of TGF beta1 and IFN-gamma on transdifferentiation of myofibroblast in human gingival cell cultures. J Clin Periodontol 34:397–406

    PubMed  Article  CAS  Google Scholar 

  66. Ishiguro S, Akasaka Y, Kiguchi H, Suzuki T, Imaizumi R, Ishikawa Y, Ito K, Ishii T (2009) Basic fibroblast growth factor induces down-regulation of alpha-smooth muscle actin and reduction of myofibroblast areas in open skin wounds. Wound Repair Regen 17:617–625

    PubMed  Article  Google Scholar 

  67. Shephard P, Hinz B, Smola-Hess S, Meister JJ, Krieg T, Smola H (2004) Dissecting the roles of endothelin, TGF-beta and GM-CSF on myofibroblast differentiation by keratinocytes. Thromb Haemost 92:262–274

    PubMed  CAS  Google Scholar 

  68. Trautmann A, Toksoy A, Engelhardt E, Bröcker EB, Gillitzer R (2000) Mast cell involvement in normal human skin wound healing: expression of monocyte chemoattractant protein-1 is correlated with recruitment of mast cells which synthesize interleukin-4 in vivo. J Pathol 190(1):100–106

    PubMed  Article  CAS  Google Scholar 

Download references

Author information

Affiliations

Authors

Corresponding author

Correspondence to Martin Oberringer.

Rights and permissions

Reprints and Permissions

About this article

Cite this article

Schwarz, F., Jennewein, M., Bubel, M. et al. Soft tissue fibroblasts from well healing and chronic human wounds show different rates of myofibroblasts in vitro. Mol Biol Rep 40, 1721–1733 (2013). https://doi.org/10.1007/s11033-012-2223-6

Download citation

  • Received:

  • Accepted:

  • Published:

  • Issue Date:

  • DOI: https://doi.org/10.1007/s11033-012-2223-6

Keywords

  • Wound healing
  • Cytokines
  • Co-culture
  • Myofibroblast
  • Endothelial cell
  • Hypoxia