Abstract
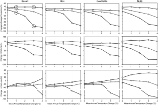
To prepare agricultural systems for climate change, scientists need to be able to effectively engage with land managers and policy makers to explore potential solutions. An ongoing challenge in engagement is to distil the complexity of climate-change-management-change interactions in agro-ecological systems to identify responses that are most important for adaptation planning. This paper presents an approach for selecting climate change scenarios to provide a focal point for engaging with stakeholders to evaluate adaptation options and communicate assessment outcomes. We illustrate how scenarios selected with the approach can be used by evaluating climate change impacts and an adaptation option for livestock industries in the north-east Australian rangelands. Climate change impacts on forage production, animal liveweight gain and soil loss are found to track projected climate changes in four pasture communities; increasing by up to 50% and declining by up to 110% in response to doubled atmospheric carbon-dioxide (CO2), 4°C warming, and +20% to −40% changes in mean annual rainfall. The effectiveness of reducing grazing pressure as an adaptation option shows a similar response; resulting in higher forage production (up to 40%), animal liveweight gains (up to 59%) and gross margins (up to 40%), and reduced soil erosion (down by 91%) per hectare relative to the baseline management. The results show that a few key scenarios may be selected to represent the range of global climate model (GCM) projections for use in assessing and communicating impacts and adaptation; simplifying the assessments and allowing limits to the effectiveness of adaptation options to be explored. The approach provides a framework for capturing and communicating trends in climate change impacts and the utility of options, which are required for successful engagement of stakeholders in finding viable adaption responses.
This is a preview of subscription content, access via your institution.




References
Ash AJ, Stafford Smith DM (1996) Evaluating stocking rate impacts in rangelands: Animals don’t practice what we preach. Rangel J 18:216–243
Ash AJ, O’Reagain P, McKeon GM et al (2000) Managing climate variability in grazing enterprises: A case study of Dalrymple Shire, North-Eastern Australia. In: Hammer GL, Nicholls N, Mitchell C (eds) Applications of seasonal climate forecasting in agricultural and natural ecosystems. Kluwer Academic Publishers, Dordrecht, pp 253–270
Baker BB, Hanson JD, Bourbon RM et al (1993) The potential effects of climate change on ecosystems processes and cattle production on U.S. rangelands. Clim Chang 25:97–117
Bortolussi G, McIvor JG, Hodgkinson JJ et al (2005) The northern Australian beef industry, a snapshot. 1. Regional enterprise activity and structure. Aust J Exp Agric 45:1057–1073
Burton I, Lim B (2005) Achieving adequate adaptation in agriculture. Clim Chang 70:191–200
Byjesh K, Kumar SN, Aggarwal PK (2010) Simulating impacts, potential adaptation and vulnerability of maize to climate change in India. Mitig Adapt Strateg Glob Chang 15:413–431
Cobon DH, Stone GS, Carter JO et al (2009) The climate change risk management matrix for the grazing industry of northern Australia. Rangel J 31:31–49
Crimp SJ, Flood NR, Carter JO et al (2002) Evaluation of the potential impacts of climate change on native pasture production—implications for livestock carrying capacity. Australian Greenhouse Office, Canberra
Crimp SJ, Stokes CJ, Howden SM et al (2010) Managing Murray-Darling Basin livestock systems in a variable and changing climate: challenges and opportunities. Rangel J 32:293–304
CSIRO-BoM 2007. Climate Change in Australia. Technical Report (2007) CSIRO Marine and Atmospheric Research, Aspendale
Cullen BR, Johnson IR, Eckard RJ et al (2009) Climate change effects on pasture systems in south-eastern Australia. Crop Pasture Sci 60:933–942
Day KA, McKeon GM, Carter JO (1997) Evaluating the risks of pasture and land degradation in native pastures in Queensland. Final Report for the Rural Industries Research and Development Corporation project DAQ124A, Queensland Department of Natural Resources, Brisbane
Deser C, Phillips A, Bourdette V et al (2011) Uncertainty in climate change projections: the role of internal variability. Climate Dynamics (in press). doi:10.1007/s00382-010-0977-x
Dessai S, Lu X, Risbey JS (2005) On the role of climate scenarios for adaptation planning. Glob Environ Chang 15:87–97
Dessai S, Hulme M, Lempert R, Pielke R Jr (2009) Do we need better predictions to adapt to a changing climate? Eos Trans Am Geophys Union 90(13):111
Hall WB, McKeon GM, Carter JO et al (1998) Climate change in Queensland’s grazing lands: II. An assessment of the impact on animal production from native pastures. Rangel J 20:177–205
Hassett RC, Wood HL, Carter JO et al (2000) A field method for statewide ground-truthing of a spatial pasture growth model. Australian Journal of Experimental Agriculture 40:1069–1079
Hawkins E, Sutton R (2011) The potential to narrow uncertainty in projections of regional precipitation change. Clim Dyn 37:407–418
Hinton AW (1993) Economics of Beef Production in the Dalrymple Shire. Report QO93005, Queensland Department of Primary Industries, Brisbane.
Howden SM, McKeon GM, Walker L et al (1999) Global change impacts on native pastures in south-east Queensland, Australia. Environ Model Softw 14:307–316
Howden SM, Soussana JF, Tubiello FN et al (2007) Adapting agriculture to climate change. Proc Natl Acad Sci 104:19691–19696
Hulme M, Brown O (1998) Portraying climate scenario uncertainties in relation to tolerable regional climate change. Clim Res 10:1–14
Hulme M, Mitchell J, Ingram W, Lowe J, Johns T, New M, Vinear D (1999) Climate change scenarios for global impacts studies. Glob Environ Chang 9:S3–S19
IPCC (2007) Climate Change 2007: the Physical Science Basis. Contribution of Working Group 1 to the Fourth Assessment Report of the Intergovernmental Panel on Climate Change, Cambridge University Press, Cambridge
IPCC-TGICA (2007) General Guidelines on the Use of Scenario Data for Climate Impact and Adaptation Assessment. Version 2. Prepared by TR Carter on behalf of the Intergovernmental Panel on Climate Change, Task Group on Data and Scenario Support for Impact and Climate Assessment. pp 66
Jeffrey SJ, Carter JO, Moodie KB et al (2001) Using spatial interpolation to construct a comprehensive archive of Australian climate data. Environ Model Assess 16:309–330
Littleboy M, McKeon GM (1997) Appendix 2—Subroutine GRASP: Grass Production Model. Documentation of the Marcoola Version of Subroutine GRASP. In Final Project Report DAQ124A, for the Rural Industries Research and Development Corporation
Lorenzoni I, Nicholson-Cole S, Whitmarsh L (2007) Barriers perceived to engaging with climate change among the UK public and their policy implications. Glob Environ Chang 17:445–459
MacLeod ND, Ash AJ (2001) Development of a spreadsheet herd dynamics model to assess the economic value of forecasts in extensive grazing enterprises. CSIRO, Brisbane
MacLeod ND, Ash AJ, McIvor JG (2004) An economic assessment of the impact of grazing land condition on livestock performance in tropical woodlands. Rangel J 26:49–71
MacLeod ND, Nelson BS, McIvor JG et al (2009) Wet season resting—economic insights from scenario modelling. Rangel J 31:143–150
McKeon GM, Ash AJ, Hall W et al (2000) Simulation of grazing strategies for beef production in North-East Queensland. In: Hammer GL, Nicholls N, Mitchell C (eds) Applications of seasonal climate forecasting in agricultural and natural ecosystems. Kluwer Academic Publishers, Dordrecht, The Netherlands, pp 227–252
McKeon GM, Hall WB, Henry BK et al (eds) (2004) Pasture degradation and recovery in Australia’s rangelands: Learning from History. Queensland Department of Natural Resources, Mines and Energy, Brisbane
McKeon GM, Stone GS, Syktus JI et al (2009) Climate change impacts on northern Australian rangeland livestock carrying capacity: a review of issues. Rangel J 31:1–29
Measham TG, Preston BL, Smith TF et al (2011) Adapting to climate change through local municipal planning: barriers and challenges. Mitigation and Adaptation Strategies for Global Change (in press). doi:10.1007/s11027-022-9301-2
Meehl GA, Stocker TF, Collins WD et al (2007) Global Climate Projections. In Climate Change 2007: The Physical Science Basis.Contribution of Working Group I to the Fourth Assessment Report of the Intergovernmental Panel on Climate Change. In Solomon S, Qin D, Manning M et al (eds) Cambridge, United Kingdom and New York, NY, USA: Cambridge University Press, 100
Mitchell TD (2003) Pattern scaling. An examination of the accuracy of the technique for describing future climates. Clim Chang 60:217–242
Moriondo M, Bindi M, Kundzewicz W et al (2010) Impact and adaptation opportunities for European agriculture in response to climate change and variability. Mitig Adapt Strateg Glob Chang 15:657–679
Moss RH, Edmonds JA, Hibbard KA et al (2010) The next generation of scenarios for climate change research and assessment. Nature 463:747–756
Nakicenovic NJ, Alcamo J, Davis G et al (2000) IPCC special report on emissions scenarios. Cambridge University Press, Cambridge, 599
Perring MP, Cullen BR, Johnson IR et al (2010) Modelled effects of rising CO2 concentration and climate change on native perennial grass and sown grass-legume pastures. Clim Res 42:65–78
Preston BL, Brooke C, Measham TG et al (2009) Igniting change in local government: lessons learned from a bushfire vulnerability assessment. Mitig Adapt Strateg Glob Chang 14:251–283
Rahmstorf S, Cazenave A, Church JA et al (2007) Recent climate observations compared to projections. Science 316:709
Rayner DP (2007) Wind run changes: The dominant factor affecting pan evaporation trends in Australia. J Clim 20:3379–3394
Rickert KG, Stuth JW, McKeon GM (2000) Modelling pasture and animal production. In: ‘t Mannetje L, Jones RM (eds) Field and laboratory methods for grassland and animal production research. CAB International, Wallingford, pp 29–65
Riedo M, Gyalistras D, Grub A et al (1997) Modelling grassland responses to climate change and elevated CO2. Acta Oecologica 18:305–311
Rosentrater LD (2010) Representing and using scenarios for responding to climate change. Climate Change 1:253–259
Slingo JM, Challinor AJ, Hoskins BJ et al (2005) Introduction: food crops in a changing climate. Philos Trans R Soc B 360:1983–1989
Stokes CJ, Ash AJ, Tibbett M et al (2005) OzFACE: the Australian savanna free air CO2 enrichment facility and its relevance to carbon-cycling issues in a tropical savanna. Aust J Bot 53:677–687
Stokes CJ, Ash AJ, Holtum JAM (2008) Savannas face the future: windows into a future CO2-rich world. In: Orr D (ed) Australian Rangeland Society 15th Biennial Conference Proceedings—A climate of change in the rangelands, Charters Towers, Queensland, 2008
Stokes CJ, Crimp S, Gifford R et al (2010) Broadacre Grazing. In: Stokes CJ, Howden SM (eds) Adapting agriculture to climate change. CSIRO Publishing, Melbourne, pp 153–170
Tebaldi C, Smith RL, Nychka D et al (2005) Quantifying uncertainty in projection of regional climate change: a Bayesian approach to the analysis of multimodel ensembles. J Clim 8:1524–1540
Twyman C, Fraser ED, Stringer LC et al (2011) Climate science, development practice, and policy interactions in dryland agroecological systems. Ecol Soc 16:14
Visser H, Folkert RJM, Hoekstra J et al (2000) Identifying key sources of uncertainty in climate change projections. Clim Chang 45:421–457
Webb NP, Stokes CJ, Scanlan JC (2011) Interacting effects of vegetation, soils and management on the sensitivity of Australian savanna rangelands to climate change. Climatic Change (in press). doi:10.1007/s10584-011-0236-0
Wheaton EE, MacIver DC (1999) A framework and key questions for adapting to climate variability and change. Mitig Adapt Strateg Glob Chang 4:215–225
Whetton PH, Hennessey K (2010) Potential benefits of a storyline approach to the provision of regional climate projection information. In: Proceedings of the International Climate Change Adaptation Conference 2010, June 29 to July 1, 2010. Gold Coast, Queensland, Australia, p 363–364
Whetton PH, MacInnes KL, Jones RN et al (2005) Australian climate change projections for impact assessment and policy application: A review. CSIRO, Aspendale
Wilby RL, Dessai S (2010) Robust adaptation to climate change. Weather 65:180–185
Wilby RL, Charles SP, Zorita E et al (2004) Guidelines for Use of Climate Scenarios Developed from Statistical Downscaling Methods. Supporting Material of the International Panel on Climate Change (IPCC) 27pp.
Xiao X, Ojima DS, Parton WJ et al (1995) Sensitivity of inner Mongolia grasslands to climate change. J Biogeogr 22:643–648
Acknowledgements
We are grateful to Greg McKeon, Giselle Wish, Neil MacLeod, Joe Scanlan and Cam McDonald for helpful discussions on applying the GRASP and Enterprise models to adaptation assessments. We thank Alison Laing, April Reside and the anonymous referees for their comments on an earlier version of the manuscript. The work was partly funded by the Australian Department of Agriculture, Forestry and Fishery’s Climate Change Research Program.
Author information
Authors and Affiliations
Corresponding author
Rights and permissions
About this article
Cite this article
Webb, N.P., Stokes, C.J. Climate change scenarios to facilitate stakeholder engagement in agricultural adaptation. Mitig Adapt Strateg Glob Change 17, 957–973 (2012). https://doi.org/10.1007/s11027-011-9355-1
Received:
Accepted:
Published:
Issue Date:
DOI: https://doi.org/10.1007/s11027-011-9355-1
Keywords
- Adaptation
- Agriculture
- Assessment
- Climate scenario
- Impacts
- Uncertainty