Abstract
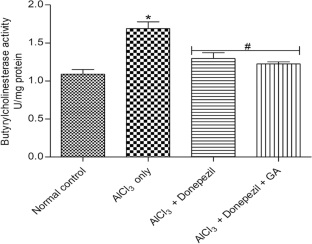
The present study compared the effect of donepezil only and combination of donepezil and gallic acid on oxidative status and cholinesterase activity in the brain of Wistar rats administered AlCl3 for 60 days. Twenty-eight rats (180 – 200 g) were arbitrarily distributed into four groups of seven animals apiece. Group 1 served as normal control and received distilled water throughout the study. Group 2 animals received only AlCl3 throughout the study while animals in groups 3 and 4 were administered donepezil only (10 mg/kg) and combination of donepezil (10 mg/kg) and gallic acid (50 mg/kg), respectively, in addition to AlCl3. Treatments were administered orally by gavage. At the end of the study, animals were sacrificed and activities of acetylcholinesterase, butyrylcholinesterase, superoxide dismutase (SOD) and catalase as well as levels of malondialdehyde (MDA), total thiol and nitric oxide (NO) were evaluated in the brain. Histopathological study was conducted on the hippocampus of experimental animals. Results showed that AlCl3 significantly (p < 0.05) increased brain activities of cholinesterases and levels of MDA and NO with a concomitant decrease in total thiol level as well as activities of SOD and catalase. Donepezil only and combination of donepezil and gallic acid reversed these alterations. Also, combination of donepezil and gallic acid significantly (p < 0.05) improved antioxidant status better than donepezil only. It could be concluded that a synergy might exist between gallic acid and donepezil especially in ameliorating oxidative stress associated with AlCl3-induced neurotoxicity.








Similar content being viewed by others
Data availability
Data available on request.
References
Abdel-Salam OME, Hamdy SM, Seadawy SAM, Galal AF, Abouelfadl DM, Atrees SS (2016) Effect of piracetam, vincamine, vinpocetine, and donepezil on oxidative stress and neurodegeneration induced by aluminum chloride in rats. Comp Clin Pathol 25:305–318. https://doi.org/10.1007/s00580-015-2182-0
Aly HF, Metwally FM, Ahmed HH (2011) Neuroprotective effects of dehydroepiandrosterone (DHEA) in rat model of Alzheimer’s disease. Acta Biochim Pol 58(4):513–520
Bartolini M, Marco-Contelles J (2019) Tacrines as Therapeutic Agents for Alzheimer’s Disease. IV.The Tacripyrines and Related Annulated Tacrines. Chem Rec 19(5):927–937. https://doi.org/10.1002/tcr.201800155
Boeing H, Bechthold A, Bub A, Ellinger S, Haller D, Kroke A, Watz B (2012) Critical review: Vegetables and fruit in the prevention of chronic diseases. Eur Journal Nutr 51:637–663. https://doi.org/10.1007/s00394-012-0380-y
Boran AM, Al-Khatib AJ, Alanazi BS, Massadeh AM (2013) Investigation of aluminum toxicity among workers in aluminum industry sector. Eur Scient J 9:440–451
Buraimoh A, Ojo S, Hambolu J, Adebisi S (2011) Effects of oral administration of Aluminium Chloride on the Histology of the Hippocampus of Wistar rats. Curr Res J Biol Sci 3(5):509–515
Cheng XJ, Gu JX, Pang YP, Liu J, Xu T, Li X, Hua Y, Newell KA, Huang X, Yu Y, Liu Y (2019) Tacrine-Hydrogen Sulfide Donor Hybrid Ameliorates Cognitive Impairment in the Aluminum Chloride Mouse Model of Alzheimer’s Disease. ACS Chem Neurosci 10(8):3500–3509. https://doi.org/10.1021/acschemneuro.9b00120
Cheraghi E, Roshanaei K (2019) The protective effect of curcumin against aluminum chloride induced oxidative stress and hepatotoxicity in rats. Pharm Biomed Res 5(1):11–18. https://doi.org/10.18502/pbr.v5i1.761
Di J, Yao K, Han W, Bi S (2006) Study on the interaction of copper–zinc superoxide dismutase with aluminum ions by electrochemical and fluorescent method. Spectrochim Acta A Mol Biomol Spectrosc 65(3–4):896–900. https://doi.org/10.1016/j.saa.2006.01.026
Džoljić E, Grabatinić I, Kostić V (2015) Why is nitric oxide important for our brain? Funct Neurol 30(3):159. https://doi.org/10.11138/FNeur/2015.30.3.159
Ellman GL (1959) Tissue sulfhydyl groups. Arch of Biochem Biophys 82:70–77. https://doi.org/10.1016/0003-9861(59)90090-6
El-Marasy SA, Abd-Elsalam RM, Ahmed-Farid OA (2018) Ameliorative Effect of Silymarin on Scopolamine-induced Dementia in Rats. Open Access Maced J Med Sci 6(7):1215–1224. https://doi.org/10.3889/oamjms.2018.257
Esparza JL, Gomez M, Domingo JL (2019) Role of melatonin in aluminum related neurodegenerative disorders: A review. Biol Trace Elem Res 188:60–67
Exley C (2013) Human exposure to aluminium. Environ Sci Process Impacts 15:1807–1816
Exley C, House E (2011) Aluminium in the human brain. Monatsh Chem 142:357–363. https://doi.org/10.1007/s00706-010-0417-y
Ghribi O, DeWitt DA, Forbes MS, Herman MM, Savory J (2001) Co-involvement of mitochondria and endoplasmic reticulum in regulation of apoptosis: Changes in cytochrome c, Bcl-2 and Bax in the hippocampus of aluminum treated rabbits. Brain Res 903:66–73. https://doi.org/10.1016/S0006-8993(01)02406-4
Guevara I, Iwanejko J, Dembińska-Kieć A, Pankiewicz J, Wanat A, Anna P, Gołabek I, Bartuś S, Malczewska Malec M, Szczudlik A (1998) Determination of nitrite/nitrate in human biological material by the simple Griess reaction. Clin Chim Acta 274(2):177–188. https://doi.org/10.1016/s0009-8981(98)00060-6
Halmenschelager PT, da Rocha JBT (2019) Biochemical CuSO4 Toxicity in Drosophila melanogaster Depends on Sex and Developmental Stage of Exposure. Biol Trace Elem Res 18:574585. https://doi.org/10.1007/s12011-018-1475-y
Han S, Lemire J, Appanna VP, Auger C, Castonguay Z, Appanna VD (2013) How aluminum, an intracellular ROS generator promotes hepatic and neurological diseases: the metabolic tale. Cell Biol Toxicol 29(2):75–84. https://doi.org/10.1007/s10565-013-9239-0
Huat TJ, Camats-Perna J, Newcombe EA, Valmas N, Kitazawa M, Medeiros R (2019) Metal toxicity links to Alzheimer’s disease and neuroinflammation. J Mol Biol 431:1843–1868
Igbokwe IO, Igwenagu E, Igbokwe NA (2011) Aluminium toxicosis: a review of toxic actions and effects. Interdiscip Toxicol 12(2):45–70. https://doi.org/10.2478/intox-2019-0007
Justin-Thenmozhi A, Dhivya Bharathi M, Kiruthika R, Manivasagam T, Borah A, Essa MM (2018) Attenuation of Aluminum Chloride-Induced Neuroinflammation and Caspase Activation Through the AKT/GSK-3β Pathway by Hesperidin in Wistar Rats. Neurotox Res 34(3):463–476. https://doi.org/10.1007/s12640-018-9904-4
Kahkeshani N, Farzaei F, Fotouhi M, Alavi SS, Bahramsoltani R, Naseri R, Momtaz S, Abbasabadi Z, Rahimi R, Farzaei MH, Bishayee A (2019) Pharmacological effects of gallic acid in health and diseases: A mechanistic review. Iran J Basic Med Sci 22:225–237. https://doi.org/10.22038/ijbms.2019.32806.7897
Kaizer RR, Corrêa MC, Spanevello RM, Morsch VM, Mazzanti CM, Gonçalves JF (2005) Acetylcholinesterase activation and enhanced lipid peroxidation after long-term exposure to low levels of aluminum on different mouse brain regions. J Inorg Biochem 99:1865–1870. https://doi.org/10.1016/j.jinorgbio.2005.06.015
Kawahara M, Kato-Negish M (2011) Link between Aluminum and the Pathogenesis of Alzheimer’s Disease: The Integration of the Aluminum and Amyloid Cascade Hypotheses. Int J Alzheimers Dis 2011:1–17. https://doi.org/10.4061/2011/276393
Korani MS, Farbood Y, Sarkaki A, Moghaddam HF, Mansouri MT (2014) Protective effects of gallic acid against chronic cerebral hypoperfusion-induced cognitive deficit and brain oxidative damage in rats. Eur J Pharmacol 733:62–67. https://doi.org/10.1016/j.ejphar.2014.03.044
Kumaran D, Hassabis D, McClelland JL (2016) What Learning Systems do Intelligent Agents Need? Complementary Learning Systems Theory Updated. Trends Cogn Sci 20(7):512–534. https://doi.org/10.1016/j.tics.2016.05.004
Liu L, Liu Y, Jing Z, Xing X, Zhang C, Meng H (2020). Neuroprotective Effects of D-(-)-Quinic Acid on Aluminum Chloride-Induced Dementia in Rats. Evid Based Complement Alternat Med1–10. https://doi.org/10.1155/2020/5602597
Lukiw WJ, LeBlanc HJ, Carver LA, McLachlan DR, Bazan NG (1998) Run-ongene transcription in human neocortical nuclei: inhibition by nanomolar aluminum and implications for neurodegenerative disease. J Mol Neurosci 11(1):67–78. https://doi.org/10.1385/JMN:11:1:67
Lüth HJ, Holzer M, Gärtner U, Staufenbiel M, Arendt T (2001) Expression of endothelial and inducible NOS-isoforms is increased in Alzheimer’s disease, in APP23 transgenic mice and after experimental brain lesion in rat: evidence for an induction by amyloid pathology. Brain Res 913:57–67. https://doi.org/10.1016/s0006-8993(01)02758-5
Lüth HJ, Münch G, Arendt T (2002) Aberrant expression of NOS isoforms in Alzheimer’s disease is structurally related to nitrotyrosine formation. Brain Res 953:135–143. https://doi.org/10.1016/S00068993(02)03280-8
Maya S, Prakash T, Madhu KD, Goli D (2016) Multifaceted effects of aluminium in neurodegenerative diseases: a review. Biomed and Pharmacother 83:746–754. https://doi.org/10.1016/j.biopha.2016.07.035
Misra HP, Fridovich I (1972) The role of superoxide anion in the autooxidation of epinephrine and a simple assay for superoxide dismutase. J Biol Chem 247:3170–3175
Miu AC, Olteanu AI, Miclea M (2004) A behavioral and ultrastructural dissection of the interference of aluminum with aging. J Alzheimers Dis 6:315–328. https://doi.org/10.3233/jad2004-6312
Murugan MS, Bhargavan R (2020) Neuroprotective effect of Bacopa monnieri against aluminum chloride-induced oxidative stress and apoptosis in the hippocampus of Wistar rats. Drug Invent Today 14(6):933–938
Nagpal K, Singh S, Mishra D (2013) Nanoparticle mediated brain targeted delivery of gallic acid: in vivo behavioral and biochemical studies for protection against scopolamine-induced amnesia. Drug Deliv 20:112–119. https://doi.org/10.3109/10717544.2013.779330
Nehru B, Anand P (2005) Oxidative damage following chronic aluminium exposure in adult and pup rat brains. J Trace Elem Med Biol 19(2–3):203–208. https://doi.org/10.1016/j.jtemb.2005.09.004
Newairy AA, Salama AF, Hussien HM, Yousef MI (2009) Propolis alleviates aluminium induced lipid peroxidation and biochemical parameters in male rats. Food Chem Toxicol 47:1093–1098
Niu Q, Yang Y, Zhang Q, Niu P, He S, Gioacchino MD, Conti P, Boscolo P (2007) The relationship between Bcl-2 gene expression and learning & memory impairment in chronic aluminum-exposed rats. Neurotox Res 12:163–169. https://doi.org/10.1007/BF03033913
Nordberg A, Ballad C, Bullock R, Darreh-Shori T, Somogyi M (2013) A review of butyrylcholinesterase as a therapeutic target in the treatment of Alzheimer’s disease. Prim Care Companion CNS Disord 15(2): PCC.12r01412. https://doi.org/10.4088/PCC.12r01412
Obafemi TO, Olaoye OOR, OA, Jaiyesimi KF, Adewumi FD, Adewale OB, Afolabi BA, (2020) Metformin/Donepezil combination modulates brain antioxidant status and hippocampal endoplasmic reticulum stress in type 2 diabetic rats. J Diabetes Metab Disord 19(1):499–510. https://doi.org/10.1007/s40200-020-00541-0
Ogunlade B, Adelakun SA, Agie JA (2020) Nutritional supplementation of gallic acid ameliorates Alzheimer-type hippocampal neurodegeneration and cognitive impairment induced by aluminum chloride exposure in adult Wistar rats. Toxicol, Drug Chem. https://doi.org/10.1080/01480545.2020.1754849
Olowoyeye AO, Osukoya OA, Obafemi TO, Akinyemi JA, Molehin OR (2018) Effect of Methanolic Extract of Platycerium angolence on Aluminium Chloride-induced Neurotoxicity in Rats. Int J Biomed Sci 14(2):57–65
Oyetayo BO, Abolaji AO, Fasae KD, Aderibigbe A (2020) Ameliorative role of diets fortified with Curcumin in a Drosophila melanogaster model of aluminum chloride-induced neurotoxicity. Journal of Functional Foods 71:104035. https://doi.org/10.1016/j.jff.2020.104035
Platt B, Fiddler G, Riedel G, Henderson Z (2001) Aluminium toxicity in the rat brain: histochemical and immunocytochemical evidence. Brain Res Bull 55(2):257–267. https://doi.org/10.1016/s0361-9230(01)00511-1
Praticò D (2002) Lipid peroxidation and the aging process. SAGE KE 50: re5. https://doi.org/10.1126/sageke.2002.50.re5
Puri A, Srivastavan P, Pandey P, Yadav RS, Bhatt PC (2014) Scopolamine induced behavioral and biochemical modifications and protective effect of Celastrus paniculatous and Angelica glauca in rats. Int J Nutr Pharmacol Neurol Dis 4(3):158. https://doi.org/10.4103/2231-0738.132675
Rondeau V, Jacqmin-Gadda H, Commenges D, Helmer C, Dartigues JF (2009) Aluminum and silica in drinking water and the risk of Alzheimer’s disease or cognitive decline: findings from 15-year follow-up of the PAQUID cohort. Am J Epidemiol 169:489–496. https://doi.org/10.1093/aje/kwn348
Sadhana S (2013) Amelioration of aluminium induced toxicity by Allium sativum. Sci Res Essays 8(4):168–177
Sahebkar A, Panahi Y, Yaribeygi H, Javadi B (2018) Oxidative stress in neurodegenerative diseases: A review.CNS Neurol Disord Drug Targets 17: 207–215.
Saiyed SM, Yokel RA (2005) Aluminum content of some foods and food products in the USA, with aluminum food additives. Food Addit Contam 22:234–244
Sinha AK (1972) Colorimetric assay of catalase. Anal Biochem 47(2):389–394. https://doi.org/10.1016/0003-2697(72)90132-7
Taniguchi S, Suzuki N, Masuda M, Hisanaga S, Iwatsubo T, Goedert M, Hasegawa M (2005) Inhibition of heparin-induced tau filament formation by phenothiazines, polyphenols, and porphyrins. J Biol Chem 280(9):7614–7623. https://doi.org/10.1074/jbc.M408714200
Tsaluchidu S, Cocchi M, Tonello L, Puri BK (2008) Fatty acids and oxidative stress in psychiatric disorders.BMC Psychiatry 8(1): S5 https://doi.org/10.1186/1471-244X-8-S1-S5
Varshney R, Kale RK (1990) Effect of calmodulin antagonists on radiation induced lipid peroxidation in microsomes. Int J Radiat Biol 58:733–743. https://doi.org/10.1080/09553009014552121
Walton JR (2007) An aluminum-based rat model for Alzheimer’s disease exhibits oxidative damage, inhibition of PP2A activity, hyperphosphorylated tau, and granulovacuolar degeneration. J Inorg Biochem 101(9):1275–1284. https://doi.org/10.1016/j.jinorgbio.2007.06.001
Wheeler DW, White CM, Rees CL, Komendantov AO, Hamilton DJ, Ascoli GA (2015) Hippocampome.org: a knowledge base of neuron types in the rodent hippocampus. Elife https://doi.org/10.7554/eLife.09960
World Health Organization (WHO) - Technical Report Series (2003). Diet, nutrition and the prevention of chronic diseases (916): i-149.
Yan D, Jin C, Cao Y, Wang L, Lu X, Yang J, Wu S, Cai Y (2017) Effects of Aluminium on Long-Term Memory in Rats and on SIRT1 Mediating the Transcription of CREB-Dependent Gene in Hippocampus. Basic Clin Pharmacol Toxicol 121:342–352. https://doi.org/10.1111/bcpt.12798
Yokel RA (2000) The toxicology of aluminum in the brain: a review. Neurotoxicology 21:813–828
Yokel RA, Allen DD, Ackley DC (1999) The distribution of aluminum into and out of the brain. J Inorg Biochem 76(2):127–132
Yuede CM, Dong H, Csernansky JG (2007) Anti-dementia drugs and hippocampal-dependent memory in rodents. Behav Pharmacol 18:347. https://doi.org/10.1097/FBP.0b013e3282da278d
Zemek F, Drtinova L, Nepovimova E, Sepsova V, Korabecny J, Klimes J, Kuca K (2014) Outcomes of Alzheimer’s disease therapy with acetylcholinesterase inhibitors and memantine. Expert Opin Drug Saf 13(6):759–774. https://doi.org/10.1517/14740338.2014.914168
Funding
The authors did not receive support from any organization for the submitted work.
Author information
Authors and Affiliations
Contributions
Obafemi TO and Afolabi BA designed the study; Owolabi OV, Omiyale BO and Rotimi D did most of the bench work; Ojo OA analyzed data; Onasanya A prepared the first draft of the manuscript; Adu IAI reviewed the final draft of the manuscript. All authors read and approved the final manuscript.
Corresponding author
Ethics declarations
Ethics approval
Ethical approval with number ABUAD/COS20/124.was obtained from Animal Care Committee of the Afe Babalola University Research Directorate, Ado-Ekiti, Nigeria.
Consent for publication
All authors approved the submission of the manuscript for publication.
Conflict of interest
The authors have no relevant financial or non-financial interests to disclose.
Additional information
Publisher's Note
Springer Nature remains neutral with regard to jurisdictional claims in published maps and institutional affiliations.
Rights and permissions
About this article
Cite this article
Obafemi, T.O., Owolabi, O.V., Omiyale, B.O. et al. Combination of donepezil and gallic acid improves antioxidant status and cholinesterases activity in aluminum chloride-induced neurotoxicity in Wistar rats. Metab Brain Dis 36, 2511–2519 (2021). https://doi.org/10.1007/s11011-021-00749-w
Received:
Accepted:
Published:
Issue Date:
DOI: https://doi.org/10.1007/s11011-021-00749-w


