Skip to main content

Post-mortem tissue analyses in a patient with succinic semialdehyde dehydrogenase deficiency (SSADHD). I. Metabolomic outcomes

A Correction to this article was published on 18 April 2020

This article has been updated

Abstract

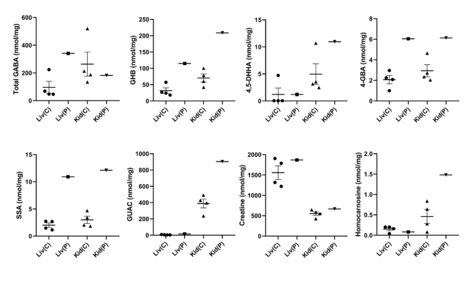
Metabolomic characterization of post-mortem tissues (frontal and parietal cortices, pons, cerebellum, hippocampus, cerebral cortex, liver and kidney) derived from a 37 y.o. male patient with succinic semialdehyde dehydrogenase deficiency (SSADHD) was performed in conjunction with four parallel series of control tissues. Amino acids, acylcarnitines, guanidino- species (guanidinoacetic acid, creatine, creatinine) and GABA-related intermediates were quantified using UPLC and mass spectrometric methods that included isotopically labeled internal standards. Amino acid analyses revealed significant elevation of aspartic acid and depletion of glutamine in patient tissues. Evidence for disruption of short-chain fatty acid metabolism, manifest as altered C4OH, C5, C5:1, C5DC (dicarboxylic) and C12OH carnitines, was observed. Creatine and guanidinoacetic acids were decreased and elevated, respectively. GABA-associated metabolites (total GABA, γ-hydroxybutyric acid, succinic semialdehyde, 4-guanidinobutyrate, 4,5-dihydroxyhexanoic acid and homocarnosine) were significantly increased in patient tissues, including liver and kidney. The data support disruption of fat, creatine and amino acid metabolism as a component of the pathophysiology of SSADHD, and underscore the observation that metabolites measured in patient physiological fluids provide an unreliable reflection of brain metabolism.

This is a preview of subscription content, access via your institution.

Fig. 1
Fig. 2
Fig. 3
Fig. 4
Fig. 5
Fig. 6
Fig. 7
Fig. 8
Fig. 9
Fig. 10
Fig. 11
Fig. 12
Fig. 13

Change history

  • 18 April 2020

    Upon publication, it was noted that five of the on-line supplementary figures had incorrect figure: figure legend associations. These were supplementary Figs.��6, 7, 14, 15, and 23.

Abbreviations

SSADH:

Succinic semialdehyde dehydrogenase

SSADHD:

Succinic semialdehyde dehydrogenase deficiency

PM:

Post-mortem

Cer:

Cerebellum

FrC:

Frontal cortex

Pon:

Pons

PaC:

Parietal cortex

Hip:

Hippocampus

CeC:

Cerebral cortex

Crn:

Creatinine

Cre:

Creatine

Suac:

Succinylacetone

AABA:

Alpha-aminobutyric acid

ASA:

Argininosuccinic acid

Xle:

the sum of isoleucine and leucine (isobaric). Standard 3-letter amino acid abbreviations are employed throughout (e.g., glutamine, gln; serine, ser; etc)

GABA:

4-aminobutyric acid

GHB:

4-hydroxybutyric acid

SSA:

Succinic semialdehyde

4,5-DHHA:

4,5-dihydroxyhexanoic acid

Guac:

Guanidinoacetic acid

4-GBA:

4-guanidinobutyric acid

HC:

Homocarnosine (dipeptide of GABA:L-histidine)

C3DC:

Dicarboxylic acid of 3 carbon chain length (e.g., malonylcarnitine)

C16-OH:

16 carbon length species with one hydroxyl- moiety

C10:2:

10 carbon chain length with 2 unsaturations (di-alkene)

C18:2-OH:

18 carbon length species with 2 unsaturations (di-alkene) and a single hydroxyl- moiety

PheAc:

Phenylacetyl carnitine

Benz:

Benzoyl carnitine

C0:

L-carnitine

FIGLU:

Formiminoglutamic acid

C5DC(C10OH):

e.g., the acylcarnitine peak is a mixture of identical molecular weight fragments, including C5 dicarboxylic acid and C10 monohydroxyl-carnitine (the first shown species predominates in concentration)

References

  • Akaboshi S, Hogema BM, Novelletto A, Malaspina P, Salomons GS, Maropoulos GD, Jakobs C, Grompe M, Gibson KM (2003) Mutational spectrum of the succinate semialdehyde dehydrogenase (ALDH5A1) gene and functional analysis of 27 novel disease-causing mutations in patients with SSADH deficiency. Hum Mutat 22:442–450

    Article  CAS  Google Scholar 

  • Almeida LS, Verhoeven NM, Roos B, Valongo C, Cardoso ML, Vilarinho L, Salomons GS, Jakobs C (2004) Creatine and guanidinoacetate: diagnostic markers for inborn errors in creatine biosynthesis and transport. Mol Genet Metab 82:214–219

    Article  CAS  Google Scholar 

  • Berendse K, Engelen M, Ferdinandusse S, Majoie CB, Waterham HR, Vaz FM, Koelman JH, Barth PG, Wanders RJ, Poll-The BT (2016) Zellweger spectrum disorders: clinical manifestations in patients surviving into adulthood. J Inherit Metab Dis 39:93–106

    Article  CAS  Google Scholar 

  • Brown GK, Cromby CH, Manning NJ, Pollitt RJ (1987) Urinary organic acids in succinic semialdehyde dehydrogenase deficiency: evidence of alpha-oxidation of 4-hydroxybutyric acid, interaction of succinic semialdehyde with pyruvate dehydrogenase and possible secondary inhibition of mitochondrial beta-oxidation. J Inherit Metab Dis 10:367–375

    Article  CAS  Google Scholar 

  • Brown M, Ashcraft P, Arning E, Bottiglieri T, Roullet JB, Gibson KM (2019) Gamma-Hydroxybutyrate content in dried bloodspots facilitates newborn detection of succinic semialdehyde dehydrogenase deficiency. Mol Genet Metab 128:109–112

  • Brown MN, Turgeon C, Rinaldo P, Pop A, Salomons G, Roullet J-B, Gibson KM (in press-aa) Longitudinal metabolomics in dried bloodspots yields profiles informing newborn screening for succinic semialdehyde dehydrogenase deficiency (SSADHD). J Inherit Metab Dis Rep

  • Brown M, Turgeon C, Rinaldo P, Roullet JB, Gibson KM (2019) Temporal metabolomics in dried bloodspots suggests multipathway disruptions in aldh5a1-/- mice, a model of succinic semialdehyde dehydrogenase deficiency. Mol Genet Metab 128:397–408

  • Buzzi A, Wu Y, Frantseva MV, Perez Velazquez JL, Cortez MA, Liu CC, Shen LQ, Gibson KM, Snead OC 3rd (2006) Succinic semialdehyde dehydrogenase deficiency: GABAB receptor-mediated function. Brain Res 1090:15–22

    Article  CAS  Google Scholar 

  • Chace DH, DiPerna JC, Mitchell BL, Sgroi B, Hofman LF, Naylor EW (2001) Electrospray tandem mass spectrometry for analysis of acylcarnitines in dried postmortem blood specimens collected at autopsy from infants with unexplained cause of death. Clin Chem 47:1166–1182

    Article  CAS  Google Scholar 

  • Chowdhury GM, Gupta M, Gibson KM, Patel AB, Behar KL (2007) Altered cerebral glucose and acetate metabolism in succinic semialdehyde dehydrogenase-deficient mice: evidence for glial dysfunction and reduced glutamate/glutamine cycling. J Neurochem 103:2077–2091

    Article  CAS  Google Scholar 

  • Gibson KM, Lee CF, Kamali V, Johnston K, Beaudet AL, Craigen WJ, Powell BR, Schwartz R, Tsai MY, Tuchman M (1990a) 3-Hydroxy-3-methylglutaryl-CoA lyase deficiency as detected by radiochemical assay in cell extracts by thin-layer chromatography, and identification of three new cases. Clin Chem 36:297–303

    Article  CAS  Google Scholar 

  • Gibson KM, Aramaki S, Sweetman L, Nyhan WL, DeVivo DC, Hodson AK, Jakobs C (1990b) Stable isotope dilution analysis of 4-hydroxybutyric acid: an accurate method for quantification in physiological fluids and the prenatal diagnosis of 4-hydroxybutyric aciduria. Biomed Environ Mass Spectrom 19:89–93

    Article  CAS  Google Scholar 

  • Gibson KM, ten Brink HJ, Schor DS, Kok RM, Bootsma AH, Hoffmann GF, Jakobs C (1993) Stable-isotope dilution analysis of D- and L-2-hydroxyglutaric acid: application to the detection and prenatal diagnosis of D- and L-2-hydroxyglutaric acidemias. Pediatr Res 34:277–280

  • Gibson KM, Burlingame TG, Hogema B, Jakobs C, Schutgens RB, Millington D, Roe CR, Roe DS, Sweetman L, Steiner RD, Linck L, Pohowalla P, Sacks M, Kiss D, Rinaldo P, Vockley J (2000) 2-Methylbutyryl-coenzyme a dehydrogenase deficiency: a new inborn error of L-isoleucine metabolism. Pediatr Res 47:830–833

    Article  CAS  Google Scholar 

  • Gibson KM, Schor DS, Gupta M, Guerand WS, Senephansiri H, Burlingame TG, Bartels H, Hogema BM, Bottiglieri T, Froestl W, Snead OC, Grompe M, Jakobs C (2002) Focal neurometabolic alterations in mice deficient for succinate semialdehyde dehydrogenase. J Neurochem 81:71–9

  • Gibson KM, Gupta M, Pearl PL, Tuchman M, Vezina LG, Snead OC 3rd, Smit LM, Jakobs C (2003) Significant behavioral disturbances in succinic semialdehyde dehydrogenase (SSADH) deficiency (gamma-hydroxybutyric aciduria). Biol Psychiatry 54:763–768

    Article  CAS  Google Scholar 

  • Gupta M, Polinsky M, Senephansiri H, Snead OC, Jansen EE, Jakobs C, Gibson KM (2004) Seizure evolution and amino acid imbalances in murine succinate semialdehyde dehydrogenase (SSADH) deficiency. Neurobiol Dis 16:556–562

    Article  CAS  Google Scholar 

  • Haan EA, Brown GK, Mitchell D, Danks DM (1985) Succinic semialdehyde dehydrogenase deficiency--a further case. J Inherit Metab Dis 8:99

    Article  CAS  Google Scholar 

  • Hogema BM, Gupta M, Senephansiri H, Burlingame TG, Taylor M, Jakobs C, Schutgens RB, Froestl W, Snead OC, Diaz-Arrastia R, Bottiglieri T, Grompe M, Gibson KM (2001) Pharmacologic rescue of lethal seizures in mice deficient in succinate semialdehyde dehydrogenase. Nat Genet 29:212–216

    Article  CAS  Google Scholar 

  • Jansen EE, Verhoeven NM, Jakobs C, Schulze A, Senephansiri H, Gupta M, Snead OC, Gibson KM (2006a) Increased guanidino species in murine and human succinate semialdehyde dehydrogenase (SSADH) deficiency. Biochim Biophys Acta 1762:494–498

    Article  CAS  Google Scholar 

  • Jansen EE, Gibson KM, Shigematsu Y, Jakobs C, Verhoeven NM (2006b) A novel, quantitative assay for homocarnosine in cerebrospinal fluid using stable-isotope dilution liquid chromatography-tandem mass spectrometry. J Chromatogr B Analyt Technol Biomed Life Sci 830:196–200

    Article  CAS  Google Scholar 

  • Jansen EE, Struys E, Jakobs C, Hager E, Snead OC, Gibson KM (2008) Neurotransmitter alterations in embryonic succinate semialdehyde dehydrogenase (SSADH) deficiency suggest a heightened excitatory state during development. BMC Dev Biol 8:112

    Article  CAS  Google Scholar 

  • Jansen EE, Vogel KR, Salomons GS, Pearl PL, Roullet JB, Gibson KM (2016) Correlation of blood biomarkers with age informs pathomechanisms in succinic semialdehyde dehydrogenase deficiency (SSADHD), a disorder of GABA metabolism. J Inherit Metab Dis 39:795–800

    Article  CAS  Google Scholar 

  • Kok RM, Howells DW, van den Heuvel CC, Guérand WS, Thompson GN, Jakobs C (1993) Stable isotope dilution analysis of GABA in CSF using simple solvent extraction and electron-capture negative-ion mass fragmentography. J Inherit Metab Dis 16:508–512

    Article  CAS  Google Scholar 

  • Malaspina P, Roullet JB, Pearl PL, Ainslie GR, Vogel KR, Gibson KM (2016) Succinic semialdehyde dehydrogenase deficiency (SSADHD): pathophysiological complexity and multifactorial trait associations in a rare monogenic disorder of GABA metabolism. Neurochem Int 99:72–84

    Article  CAS  Google Scholar 

  • Novotny EJ Jr, Fulbright RK, Pearl PL, Gibson KM, Rothman DL (2003) Magnetic resonance spectroscopy of neurotransmitters in human brain. Ann Neurol 54(Suppl 6):S25–S31

    Article  CAS  Google Scholar 

  • Sauer SW, Kölker S, Hoffmann GF, Ten Brink HJ, Jakobs C, Gibson KM, Okun JG (2007) Enzymatic and metabolic evidence for a region specific mitochondrial dysfunction in brains of murine succinic semialdehyde dehydrogenase deficiency (Aldh5a1−/− mice). Neurochem Int 50:653–659

    Article  CAS  Google Scholar 

  • Struys EA, Jansen EE, ten Brink HJ, Verhoeven NM, van der Knaap MS, Jakobs C (1998) An accurate stable isotope dilution gas chromatographic-mass spectrometric approach to the diagnosis of guanidinoacetate methyltransferase deficiency. J Pharm Biomed Anal 18:659–665

    Article  CAS  Google Scholar 

  • Struys EA, Jansen EE, Gibson KM, Jakobs C (2005) Determination of the GABA analogue succinic semialdehyde in urine and cerebrospinal fluid by dinitrophenylhydrazine derivatization and liquid chromatography-tandem mass spectrometry: application to SSADH deficiency. J Inherit Metab Dis 28:913–920

    Article  CAS  Google Scholar 

  • Turgeon C, Magera C, Allard P, Tortorelli S, Gavrilov D, Oglesbee D, Raymond K, Rinaldo P, Matern D (2008) Combined newborn screening for succinylacetone, amino acids, and acylcarnitines in dried blood spots. Clin Chem 54:657–664

    Article  CAS  Google Scholar 

  • Vogel KR, Arning E, Wasek BL, Bottiglieri T, Gibson KM (2013) Characterization of 2-(methylamino)alkanoic acid capacity to restrict blood-brain phenylalanine transport in Pah enu2 mice: preliminary findings. Mol Genet Metab 110(Suppl):S71–S78

    Article  CAS  Google Scholar 

  • Walters DC, Jansen EEW, Ainslie GR, Salomons GS, Brown MN, Schmidt MA, Roullet JB, Gibson KM (2019) Preclinical tissue distribution and metabolic correlations of vigabatrin, an antiepileptic drug associated with potential use-limiting visual field defects. Pharmacol Res Perspect 7:e00456

    Article  CAS  Google Scholar 

Download references

Acknowledgements

We gratefully acknowledge the family of the patient for agreeing to submission of autopsied tissues. We thank Dr. Timothy Fazio and Ms. Christine Fischer, Metabolic Disease Unit, Royal Melbourne Hospital, Victoria, Australia, for procurement, coordination, and shipment of tissues. This study was generously supported by the SSADH Association (www.ssadh.net) and HD 91142 from the National Institute of Child Health, National Institutes of Health (KMG).

Author information

Affiliations

Authors

Contributions

All authors contributed to the study conception, design and execution. Data collection and analysis were performed by Madalyn Brown, Coleman Turgeon, Piero Rinaldo, Erland Arning, Paula Ashcraft, Teodoro Bottiglieri, Erwin Jansen and Gajja Salomons. Data reduction, statistical analyses, and the first draft of the manuscript was written by Trevor Kirby and Dana Walters. Final oversight of data analyses, interpretation, and editing of the manuscript were performed by Jean-Baptiste Roullet and K. Michael Gibson. All authors commented on previous versions of the manuscript. All authors read and approved the final manuscript.

Corresponding author

Correspondence to K. Michael Gibson.

Additional information

Publisher’s note

Springer Nature remains neutral with regard to jurisdictional claims in published maps and institutional affiliations.

Electronic supplementary material

Suppl. Fig. 1
figure 14

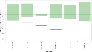
Amino acid content in extracts of frontal cortex spotted onto filter paper and measured by tandem mass spectrometry. The figure depicts the range of control values (n=4; green), with the median of control set to 1.0. Patient values are depicted as a horizontal black line. The y-axis depicts “multiples of the reference (control) median”. X-axis values indicate individual amino acid species. Abbreviations: PM-FrC, post-mortem frontal cortex; Xle, sum of leucine and isoleucine (isobaric); SUAC, succinylacetone; AABA, α-aminobutyric acid; ASA, argininosuccinic acid; all other amino acids described using standard three letter abbreviations (PNG 25.7 mb)

Suppl. Fig. 2
figure 15

Amino acid content in extracts of parietal cortex spotted onto filter paper and measured by tandem mass spectrometry. The figure depicts the range of control values (n=4; green), with the median of control set to 1.0. Patient values are depicted as a horizontal black line. The y-axis depicts “multiples of the reference (control) median”. X-axis values indicate individual amino acid species. Abbreviations: PM-PaC, post-mortem parietal cortex; Xle, sum of leucine and isoleucine (isobaric); SUAC, succinylacetone; AABA, α-aminobutyric acid; ASA, argininosuccinic acid; all other amino acids described using standard three letter abbreviations(PNG 6.44 mb)

Suppl. Fig. 3
figure 16

Amino acid content in extracts of cerebellum spotted onto filter paper and measured by tandem mass spectrometry.The figure depicts the range of control values (n=4; green), with the median of control set to 1.0. Patient values are depicted as a horizontal black line. The y-axis depicts “multiples of the reference (control) median”. X-axis values indicate individual amino acid species. Abbreviations: PM-Cer, post-mortem cerebellum; Xle, sum of leucine and isoleucine (isobaric); SUAC, succinylacetone; AABA, α-aminobutyric acid; ASA, argininosuccinic acid; all other amino acids described using standard three letter abbreviations(PNG 6.44 mb)

Suppl. Fig. 4
figure 17

Amino acid content in extracts of pons spotted onto filter paper and measuredby tandem mass spectrometry. The figure depicts the range of control values (n=4; green), with the median of control set to 1.0. Patient values are depicted as a horizontal black line. The y-axis depicts “multiples of the reference (control) median”. X-axis values indicate individual amino acid species. Abbreviations: PM-Pon, post-mortem pons; Xle, sum of leucine and isoleucine (isobaric); SUAC, succinylacetone; AABA, α-aminobutyric acid; ASA, argininosuccinic acid; all other amino acids described using standard three letter abbreviations(PNG 6.44 mb)

Suppl. Fig. 5
figure 18

Amino acid content in extracts of hippocampus spotted onto filter paper and measured by tandem mass spectrometry. The figure depicts the range of control values (n=4; green), with the median of control set to 1.0. Patient values are depicted as a horizontal black line. The y-axis depicts “multiples of the reference (control) median”. X-axis values indicate individual amino acid species. Abbreviations: PM-Hip, post-mortem hippocampus; Xle, sum of leucine and isoleucine (isobaric); SUAC, succinylacetone; AABA, α-aminobutyric acid; ASA, argininosuccinic acid; all other amino acids described using standard three letter abbreviations(PNG 6.44 mb)

Suppl. Fig. 6
figure 19

Amino acid content in extracts of hippocampus spotted onto filter paper and measured by tandem mass spectrometry. The figure depicts the range of control values (n=4; green), with the median of control set to 1.0. Patient values are depicted as a horizontal black line. The y-axis depicts “multiples of the reference (control) median”. X-axis values indicate individual amino acid species. Abbreviations: PM-Hip, post-mortem hippocampus; Xle, sum of leucine and isoleucine (isobaric); SUAC, succinylacetone; AABA, α-aminobutyric acid; ASA, argininosuccinic acid; all other amino acids described using standard three letter abbreviations(PNG 6.44 mb)

Suppl. Fig. 7
figure 20

Amino acid content in extracts of cerebral cortex spotted onto filter paper and measured by tandem mass spectrometry. The figure depicts the range of control values (n=4; green), with the median of control set to 1.0. Patient values are depicted as a horizontal black line. The y-axis depicts “multiples of the reference (control) median”. X-axis values indicate individual amino acid species. Abbreviations: PM-Liv, post-mortem liver; Xle, sum of leucine and isoleucine (isobaric); SUAC, succinylacetone; AABA, α-aminobutyric acid; ASA, argininosuccinic acid; all other amino acids described using standard three letter abbreviations(PNG 6.44 mb)

Suppl. Fig. 8
figure 21

Amino acid content in extracts of kidney spotted onto filter paper and measured by tandem mass spectrometry. The figure depicts the range of control values (n=4; green), with the median of control set to 1.0. Patient values are depicted as a horizontal black line. The y-axis depicts “multiples of the reference (control) median”. X-axis values indicate individual amino acid species. Abbreviations: PM-Kid, post-mortem kidney; Xle, sum of leucine and isoleucine (isobaric); SUAC, succinylacetone; AABA, α-aminobutyric acid; ASA, argininosuccinic acid; all other amino acids described using standard three letter abbreviations (PNG 6.44 mb)

Suppl. Fig. 9
figure 22

Acylcarnitine content in extracts of frontal cortex spotted onto filter paper and measured by tandem mass spectrometry. The figure depicts the range of control values (n=4; green), with the median of control set to 1.0. Patient values are depicted as a horizontal black line. The y-axis depicts “multiples of the reference (control) median”. For the x-axis, carnitine ester chain length is presented as carbon number (e.g., C3-carnitine, C4-carnitine). Single or double alkene species are presented as, for example, C14:1 and C14:2. Dicarboxylic acids (DC) are also presented as chain length, e.g., C12DC. Hydroxylated species are depicted as OH, e.g., C14-OH. Additional abbreviations employed: PM-FrC, post-mortem frontal cortex; CN, carnitine; salicyl, salicyl carnitine; PheAc-CN, phenylacetate carnitine; Benz-CN, benzoyl carnitine; FIGLU, formiminoglutamic acid. In those instances in which a marker is composed of two molecular ions of identical molecular weight, the data is depicted parenthetically (e.g. C5DC(C10OH), representing a mixture of C5 dicarboxylic acid and C10 hydroxyl carnitines) (PNG 6.44 mb)

Suppl. Fig. 10
figure 23

Acylcarnitine content in extracts of parietal cortex spotted onto filter paper and measured by tandem mass spectrometry. The figure depicts the range of control values (n=4; green), with the median of control set to 1.0. Patient values are depicted as a horizontal black line. The y-axis depicts “multiples of the reference (control) median”. For the x-axis, carnitine ester chain length is presented as carbon number (e.g., C3-carnitine, C4-carnitine). Single or double alkene species are presented as, for example, C14:1 and C14:2. Dicarboxylic acids (DC) are also presented as chain length, e.g., C12DC. Hydroxylated species are depicted as OH, e.g., C14-OH. Additional abbreviations employed: PM-PaC, post-mortem parietal cortex; CN, carnitine; salicyl, salicyl carnitine; PheAc-CN, phenylacetate carnitine; Benz-CN, benzoyl carnitine; FIGLU, formiminoglutamic acid. In those instances in which a marker is composed of two molecular ions of identical molecular weight, the data is depicted parenthetically (e.g. C5DC(C10OH), representing a mixture of C5 dicarboxylic acid and C10 hydroxyl carnitines) (PNG 6.44 mb)

Suppl. Fig. 11
figure 24

Acylcarnitine content in extracts of cerebellum spotted onto filter paper and measured by tandem mass spectrometry. The figure depicts the range of control values (n=4; green), with the median of control set to 1.0. Patient values are depicted as a horizontal black line. The y-axis depicts “multiples of the reference (control) median”. For the x-axis, carnitine ester chain length is presented as carbon number (e.g., C3-carnitine, C4-carnitine). Single or double alkene species are presented as, for example, C14:1 and C14:2. Dicarboxylic acids (DC) are also presented as chain length, e.g., C12DC. Hydroxylated species are depicted as OH, e.g., C14-OH. Additional abbreviations employed: PM-Cer, post-mortem cerebellum; CN, carnitine; salicyl, salicyl carnitine; PheAc-CN, phenylacetate carnitine; Benz-CN, benzoyl carnitine; FIGLU, formiminoglutamic acid. In those instances in which a marker is composed of two molecular ions of identical molecular weight, the data is depicted parenthetically (e.g. C5DC(C10OH), representing a mixture of C5 dicarboxylic acid and C10 hydroxyl carnitines)(PNG 6.44 mb)

Suppl. Fig. 12
figure 25

Acylcarnitine content in extracts of pons spotted onto filter paper andmeasured by tandem mass spectrometry. The figure depicts the range of control values (n=4; green), with the median of control set to 1.0. Patient values are depicted as a horizontal black line. The y-axis depicts “multiples of the reference (control) median”. For the x-axis, carnitine ester chain length is presented as carbon number (e.g., C3-carnitine, C4-carnitine). Single or double alkene species are presented as, for example, C14:1 and C14:2. Dicarboxylic acids (DC) are also presented as chain length, e.g., C12DC. Hydroxylated species are depicted as OH, e.g., C14-OH. Additional abbreviations employed: PM-Pon, post-mortem pons; CN, carnitine; salicyl, salicyl carnitine; PheAc-CN, phenylacetate carnitine; Benz-CN, benzoyl carnitine; FIGLU, formiminoglutamic acid. In those instances in which a marker is composed of two molecular ions of identical molecular weight, the data is depicted parenthetically (e.g. C5DC(C10OH), representing a mixture of C5 dicarboxylic acid and C10 hydroxyl carnitines)(PNG 6.44 mb)

Suppl. Fig. 13
figure 26

Acylcarnitine content in extracts of hippocampus spotted onto filter paper and measured by tandem mass spectrometry. The figure depicts the range of control values (n=4; green), with the median of control set to 1.0. Patient values are depicted as a horizontal black line. The y-axis depicts “multiples of the reference (control) median”. For the x-axis, carnitine ester chain length is presented as carbon number (e.g., C3-carnitine, C4-carnitine). Single or double alkene species are presented as, for example, C14:1 and C14:2. Dicarboxylic acids (DC) are also presented as chain length, e.g., C12DC. Hydroxylated species are depicted as OH, e.g., C14-OH. Additional abbreviations employed: CN, carnitine; salicyl, salicyl carnitine; PheAc-CN, phenylacetate carnitine; Benz-CN, benzoyl carnitine; FIGLU, formiminoglutamic acid; PM-Hip, post-mortem hippocampus. In those instances in which a marker is composed of two molecular ions of identical molecular weight, the data is depicted parenthetically (e.g. C5DC(C10OH), representing a mixture of C5 dicarboxylic acid and C10 hydroxyl carnitines)(PNG 6.44 mb)

Suppl. Fig. 14
figure 27

Acylcarnitine content in extracts of cerebral cortex spotted onto filter paper and measured by tandem mass spectrometry. The figure depicts the range of control values (n=4; green), with the median of control set to 1.0. Patient values are depicted as a horizontal black line. The y-axis depicts “multiples of the reference (control) median”. For the x-axis, carnitine ester chain length is presented as carbon number (e.g., C3-carnitine, C4-carnitine). Single or double alkene species are presented as, for example, C14:1 and C14:2. Dicarboxylic acids (DC) are also presented as chain length, e.g., C12DC. Hydroxylated species are depicted as OH, e.g., C14-OH. Additional abbreviations employed: PM-CeC, post-mortem cerebral cortex; CN, carnitine; salicyl, salicyl carnitine; PheAc-CN, phenylacetate carnitine; Benz-CN, benzoyl carnitine; FIGLU, formiminoglutamic acid. In those instances in which a marker is composed of two molecular ions of identical molecular weight, the data is depicted parenthetically (e.g. C5DC(C10OH), representing a mixture of C5 dicarboxylic acid and C10 hydroxyl carnitines)(PNG 227 kb)

Suppl. Fig. 15
figure 28

Acylcarnitine content in extracts of liver spotted onto filter paper and measured by tandem mass spectrometry. The figure depicts the range of control values (n=4; green), with the median of control set to 1.0. Patient values are depicted as a horizontal black line. The y-axis depicts “multiples of the reference (control) median”. For the x-axis, carnitine ester chain length is presented as carbon number (e.g., C3-carnitine, C4-carnitine). Single or double alkene species are presented as, for example, C14:1 and C14:2. Dicarboxylic acids (DC) are also presented as chain length, e.g., C12DC. Hydroxylated species are depicted as OH, e.g., C14-OH. Additional abbreviations employed: PM-Liv, post-mortem liver; CN, carnitine; salicyl, salicyl carnitine; PheAc-CN, phenylacetate carnitine; Benz-CN, benzoyl carnitine; FIGLU, formiminoglutamic acid. In those instances in which a marker is composed of two molecular ions of identical molecular weight, the data is depicted parenthetically (e.g. C5DC(C10OH), representing a mixture of C5 dicarboxylic acid and C10 hydroxyl carnitines)(PNG 314 kb)

Suppl. Fig. 16
figure 29

Acylcarnitine content in extracts of kidney spotted onto filter paper andmeasured by tandem mass spectrometry. The figure depicts the range of control values (n=4;green), with the median of control set to 1.0. Patient values are depicted as a horizontal blackline. The y-axis depicts “multiples of the reference (control) median”. For the x-axis, carnitineester chain length is presented as carbon number (e.g., C3-carnitine, C4-carnitine). Single ordouble alkene species are presented as, for example, C14:1 and C14:2. Dicarboxylic acids (DC)are also presented as chain length, e.g., C12DC. Hydroxylated species are depicted as OH, e.g.,C14-OH. Additional abbreviations employed: PM-Kid, post-mortem kidney; CN, carnitine;salicyl, salicyl carnitine; PheAc-CN, phenylacetate carnitine; Benz-CN, benzoyl carnitine;FIGLU, formiminoglutamic acid. In those instances in which a marker is composed of twomolecular ions of identical molecular weight, the data is depicted parenthetically (e.g.C5DC(C10OH), representing a mixture of C5 dicarboxylic acid and C10 hydroxyl carnitines).(PNG 6.44 mb)

Suppl. Fig. 17
figure 30

Content of C4OH carnitine in regional brain extracts spotted onto filterpaper and measured by tandem mass spectrometry. The figure depicts the range of control values (n=4; green), with the median of control set to 1.0. Patient values are depicted as a horizontal black line. The y-axis depicts “multiples of the reference (control) median”. For the x-axis, carnitine ester chain length is presented as carbon number (e.g., C3-carnitine, C4-carnitine). Single or double alkene species are presented as, for example, C14:1 and C14:2. Dicarboxylic acids (DC) are also presented as chain length, e.g., C12DC. Hydroxylated species are depicted as OH, e.g., C14-OH. Additional abbreviations employed: PM-Liv, post-mortem liver; CN, carnitine; salicyl, salicyl carnitine; PheAc-CN, phenylacetate carnitine; Benz-CN, benzoyl carnitine; FIGLU, formiminoglutamic acid. In those instances in which a marker is composed of two molecular ions of identical molecular weight, the data is depicted parenthetically (e.g. C5DC(C10OH), representing a mixture of C5 dicarboxylic acid and C10 hydroxyl carnitines)(PNG 6.44 mb)

Suppl. Fig. 18
figure 31

Content of C5DC carnitine in regional brain extracts spotted onto filter paperand measured by tandem mass spectrometry. The figure depicts the range of control values(n=4; green), with the median of control set to 1.0. Patient values are depicted as a horizontalblack line. The y-axis depicts “multiples of the reference (control) median”. Abbreviations:C5DC, C5 dicarboxylic acid carnitine (e.g., glutarylcarnitine); PM, post-mortem; Cer, cerebellum;CeC, cerebral cortex; FrC, frontal cortex; Hip, hippocampus; Pon, pons; PaC, parietal cortex.For C5DC carnitine, the data represents two molecular ions of identical molecular weight (e.g.C5DC(C10OH), representing a mixture of C5 dicarboxylic acid and C10 hydroxyl carnitines);nonetheless, the predominant species here is C5DC carnitine (PNG 6.44 mb)

Suppl. Fig. 19
figure 32

Content of C12OH carnitine in regional brain extracts spotted onto filterpaper and measured by tandem mass spectrometry. The figure depicts the range of controlvalues (n=4; green), with the median of control set to 1.0. Patient values are depicted as ahorizontal black line. The y-axis depicts “multiples of the reference (control) median”.Abbreviations: C12OH, C12 hydroxy carnitine; PM, post-mortem; Cer, cerebellum; CeC, cerebralcortex; FrC, frontal cortex; Hip, hippocampus; Pon, pons; PaC, parietal cortex (PNG 6.44 mb)

Suppl. Fig. 20
figure 33

Content of guanidino- species in extracts of liver spotted onto filter paperand measured by tandem mass spectrometry. The figure depicts the range of control values(n=4; green), with the median of control set to 1.0. Patient values are depicted as a horizontalblack line. The y-axis depicts “multiples of the reference (control) median”. Abbreviations: Liv,liver; guac, guanidinoacetic acid; cre, creatine; crn, creatinine; PM, post-mortem (PNG 6.44 mb)

Suppl. Fig. 21
figure 34

Content of guanidino- species in extracts of kidney spotted onto filter paperand measured by tandem mass spectrometry. The figure depicts the range of control values(n=4; green), with the median of control set to 1.0. Patient values are depicted as a horizontalblack line. The y-axis depicts “multiples of the reference (control) median”. Abbreviations: Kid,kidney; guac, guanidinoacetic acid; cre, creatine; crn, creatinine; PM, post-mortem (PNG 6.44 mb)

Suppl. Fig. 22
figure 35

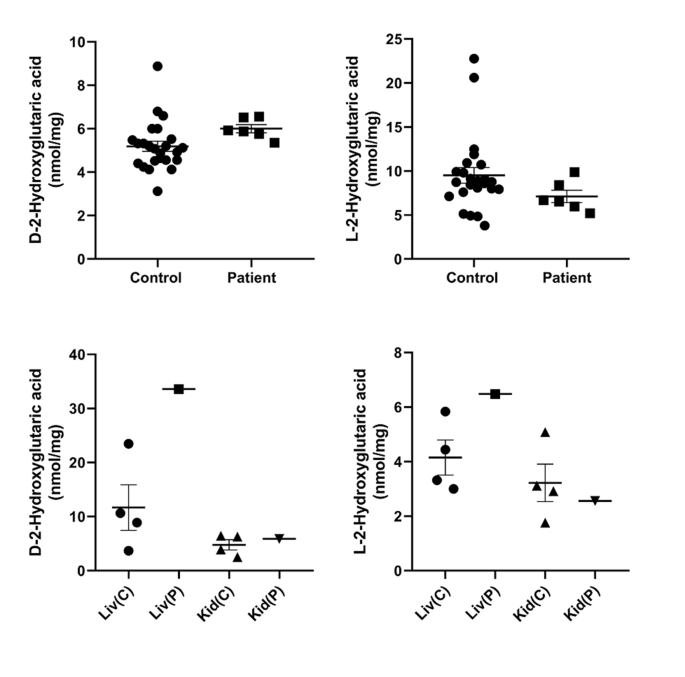
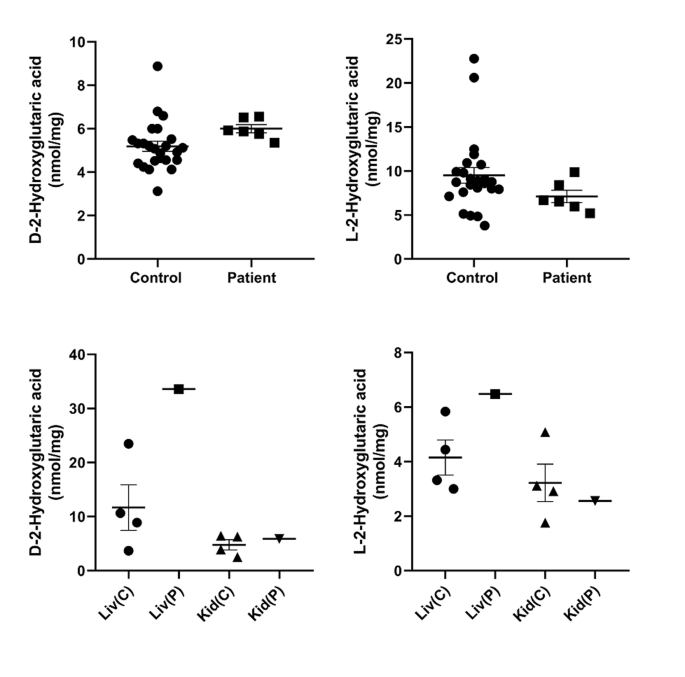
Quantitation of D- and L-2-hydroxyglutaric acids in pooled brain regions(top panels), as well as liver and kidney (bottom panels) using isotope dilution massspectrometry. Values in top panels represent the sum of all analyses across all brain regions forboth n=4 controls and the patient (regions: cerebellum, frontal and parietal cortices, pons,hippocampus, cerebral cortex, cerebellum). Statistical analyses, two-tailed t test (p=ns for both).Data depicted as mean + SEM. Bottom panels depict the range (mean + SEM) for controls (n=4)controls in both liver (liv) and kidney (kid), as well as the value obtained for the patient Additionalabbreviation: P, patient; C, control. Since only a single measure for the patient was available,statistical evaluation was not undertaken (PNG 6.61 mb)

Suppl. Fig. 23
figure 36

Quantitation of D- and L-2-hydroxyglutaric acids in pooled brain regions(top panels), as well as liver and kidney (bottom panels) using isotope dilution massspectrometry. Values in top panels represent the sum of all analyses across all brain regions forboth n=4 controls and the patient (regions: cerebellum, frontal and parietal cortices, pons,hippocampus, cerebral cortex, cerebellum). Statistical analyses, two-tailed t test (p=ns for both).Data depicted as mean + SEM. Bottom panels depict the range (mean + SEM) for controls (n=4)controls in both liver (liv) and kidney (kid), as well as the value obtained for the patient Additionalabbreviation: P, patient; C, control. Since only a single measure for the patient was available,statistical evaluation was not undertaken (PNG 7.20 mb)

High Resolution Image (TIF 161 kb)

High Resolution Image (TIF 140 kb)

High Resolution Image (TIF 140 kb)

High Resolution Image (TIF 152 kb)

High Resolution Image (TIF 148 kb)

High Resolution Image (TIF 157 kb)

High Resolution Image (TIF 156 kb)

High Resolution Image (TIF 166 kb)

High Resolution Image (TIF 292 kb)

High Resolution Image (TIF 292 kb)

High Resolution Image (TIF 251 kb)

High Resolution Image (TIF 249 kb)

High Resolution Image (TIF 245 kb)

High Resolution Image (TIF 142 kb)

High Resolution Image (TIF 187 kb)

High Resolution Image (TIF 250 kb)

High Resolution Image (TIF 91.5 kb)

High Resolution Image (TIF 101 kb)

High Resolution Image (TIF 96 kb)

High Resolution Image (TIF 91.8 kb)

High Resolution Image (TIF 92.3 kb)

High Resolution Image (TIF 142 kb)

High Resolution Image (TIF 187 kb)

Rights and permissions

Reprints and Permissions

About this article

Verify currency and authenticity via CrossMark

Cite this article

Kirby, T., Walters, D.C., Brown, M. et al. Post-mortem tissue analyses in a patient with succinic semialdehyde dehydrogenase deficiency (SSADHD). I. Metabolomic outcomes. Metab Brain Dis 35, 601–614 (2020). https://doi.org/10.1007/s11011-020-00550-1

Download citation

  • Received:

  • Accepted:

  • Published:

  • Issue Date:

  • DOI: https://doi.org/10.1007/s11011-020-00550-1

Keywords

  • GABA
  • γ-Hydroxybutyric acid
  • Metabolomics
  • Amino acids
  • Acylcarnitines