Skip to main content

Pre- and post-prandial expression of genes involved in lipid metabolism at the end of the overfeeding period of mule ducks

Abstract

In palmipeds, overfeeding leads to hepatic steatosis, also called “foie gras” which is the result of many metabolic mechanisms. In order to understand these mechanisms, we decided to measure the expression of genes implicated in lipid metabolism during 12 hours (h) following the last meal of the overfeeding period. We have shown that there is a precocious expression (within 2 h) of fatty acid synthase and acyl CoA synthetase long-chain 1 in liver and muscle of mule ducks in addition with a later peak. Furthermore, di-acyl glycerol acyl transferase presents the highest induction of expression in liver and it is overexpressed quite a long time, positioning this enzyme as a key factor in hepatic steatosis. These observations are quite similar in muscle. Lipoprotein secretion is upregulated later in postprandial period, with an upregulation of apolipoprotein and microsomal triglycerides transfer protein beginning at 5 h in liver or muscle. Regarding hepatic re-uptake of lipid, lesser variations are observed, suggesting that fatty acid binding protein and very low-density lipoprotein receptor (VLDLR) are already at their maximum expression specifically in these tissues. In muscle, VLDLR and LDLR upregulation is observed 5 h after the meal, associated with an overexpression in the adipose tissue of lipase maturation factor 1 involved in the maturation of lipoprotein lipase. These findings will allow us to better understand the kinetic treatment in lipid metabolism after a meal in overfed ducks. This first report on kinetic expression will allow researcher to better target their sampling time knowing the optimal point of expression of each gene.

This is a preview of subscription content, access via your institution.

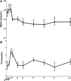
Fig. 1
Fig. 2
Fig. 3
Fig. 4
Fig. 5

References

  1. Hermier D, Saadounb A, Salichonb M et al (1991) Plasma lipoproteins and liver lipids in two breeds of geese with different susceptibility to hepatic steatosis : changes induced by development and force-feeding. Lipids 26:331–339

    CAS  Article  PubMed  Google Scholar 

  2. Saadoun A, Leclercq B (1986) In vivo lipogenesis of genetically lean and fat chickens: effects of nutritional state and dietary fat. J Nutr 87:428–435

    Google Scholar 

  3. Chartrin P, Bernadet M-D, Guy G et al (2006) Does overfeeding enhance genotype effects on energy metabolism and lipid deposition in breast muscle of ducks? Comp Biochem Physiol A: Mol Integr Physiol 145:413–418. doi:10.1016/j.cbpa.2006.07.024

    Article  Google Scholar 

  4. Davail S, Rideau N, Guy G et al (2003) Hormonal and metabolic responses to overfeeding in three genotypes of ducks. Comp Biochem Physiol Part A Mol Integr Physiol 134:707–715. doi:10.1016/S1095-6433(02)00365-3

    Article  Google Scholar 

  5. Saez G, Davail S, Gentès G et al (2009) Gene expression and protein content in relation to intramuscular fat content in Muscovy and Pekin ducks. Poult Sci 88:2382–2391. doi:10.3382/ps.2009-00208

    CAS  Article  PubMed  Google Scholar 

  6. André JM, Guy G, Gontier-Latonnelle K et al (2007) Influence of lipoprotein-lipase activity on plasma triacylglycerol concentration and lipid storage in three genotypes of ducks. Comp Biochem Physiol A: Mol Integr Physiol 148:899–902. doi:10.1016/j.cbpa.2007.09.006

    Article  Google Scholar 

  7. Hermier D, Guy G, Guillaumin S et al (2003) Differential channelling of liver lipids in relation to susceptibility to hepatic steatosis in two species of ducks. Comp Biochem Physiol Part B Biochem Mol Biol 135:663–675. doi:10.1016/S1096-4959(03)00146-5

    Article  Google Scholar 

  8. Hérault F, Saez G, Robert E et al (2010) Liver gene expression in relation to hepatic steatosis and lipid secretion in two duck species. Anim Genet 41:12–20. doi:10.1111/j.1365-2052.2009.01959.x

    Article  PubMed  Google Scholar 

  9. Wakil SJ, Stoops JK, Joshi VC (1983) Fatty acid synthesis and its regulation. Annu Rev Biochem 52:537–579. doi:10.1146/annurev.bi.52.070183.002541

    CAS  Article  PubMed  Google Scholar 

  10. Goodridge AG, Back DW, Wilson SB, Goldman MJ (1986) Regulation of genes for enzymes involved in fatty acid synthesis. Ann N Y Acad Sci 478:46–62

    CAS  Article  PubMed  Google Scholar 

  11. Morris SM, Winberry LK, Fisch JE et al (1984) Developmental and nutritional regulation of the messenger RNAs for fatty acid synthase, malic enzyme and albumin in the livers of embryonic and newly-hatched chicks. Mol Cell Biochem 64:63–68. doi:10.1007/BF00420929

    CAS  Article  PubMed  Google Scholar 

  12. Monetti M, Levin MC, Watt MJ et al (2007) Dissociation of hepatic steatosis and insulin resistance in mice overexpressing DGAT in the liver. Cell Metab 6:69–78. doi:10.1016/j.cmet.2007.05.005

    CAS  Article  PubMed  Google Scholar 

  13. Parkes HA, Preston E, Wilks D et al (2006) Overexpression of acyl-CoA synthetase-1 increases lipid deposition in hepatic (HepG2) cells and rodent liver in vivo. Am J Physiol Endocrinol Metab 291:737–744. doi:10.1152/ajpendo.00112.2006

    Article  Google Scholar 

  14. Zhu LH, Meng H, Duan XJ et al (2011) Gene expression profile in the liver tissue of geese after overfeeding. Poult Sci 90:107–117. doi:10.3382/ps.2009-00616

    CAS  Article  PubMed  Google Scholar 

  15. Furuhashi M, Saitoh S, Shimamoto K, Miura T (2014) Fatty acid-binding protein 4 (FABP4): pathophysiological insights and potent clinical biomarker of metabolic and cardiovascular diseases. Clin Med Insights Cardiol 8:23–33. doi:10.4137/CMC.S17067

    PubMed  Google Scholar 

  16. Auguet T, Berlanga A, Guiu-Jurado E et al (2014) Altered fatty acid metabolism-related gene expression in liver from morbidly obese women with non-alcoholic fatty liver disease. Int J Mol Sci 15:22173–22187. doi:10.3390/ijms151222173

    CAS  Article  PubMed  PubMed Central  Google Scholar 

  17. Koonen DPY, Jacobs RL, Febbraio M et al (2007) Increased hepatic CD36 expression contributes to dyslipidemia associated with diet-induced obesity. Diabetes 56:2863–2871. doi:10.2337/db07-0907

    CAS  Article  PubMed  Google Scholar 

  18. Tavernier A, Davail S, Ricaud K et al (2017) Genes involved in the establishment of hepatic steatosis in Muscovy, Pekin and mule ducks. Mol Cell Biochem 424:147–161. doi:10.1007/s11010-016-2850-7

    CAS  Article  PubMed  Google Scholar 

  19. Thumser AE, Moore JB, Plant NJ (2014) Fatty acid binding proteins: tissue-specific functions in health and disease. Curr Opin Clin Nutr Metab Care 17:124–129. doi:10.1097/MCO.0000000000000031

    CAS  Article  PubMed  Google Scholar 

  20. Lu L, Chen Y, Wang Z et al (2015) The goose genome sequence leads to insights into the evolution of waterfowl and susceptibility to fatty liver. Genome Biol 16:1–11. doi:10.1186/s13059-015-0652-y

    Article  Google Scholar 

  21. Raabe M, Véniant MM, Sullivan MA et al (1999) Analysis of the role of microsomal triglyceride transfer protein in the liver of tissue-specific knockout mice. J Clin Investig 103:1287–1298. doi:10.1172/JCI6576

    CAS  Article  PubMed  PubMed Central  Google Scholar 

  22. Roblin X, Pofelski J, Zarski J (2011) Rôle de l’homocystéine au cours de la stéatose hépatique et de l’hépatite chronique C. Gastroerol Clin Biol 31:415–420

    Article  Google Scholar 

  23. Ahmadian M, Suh JM, Hah N et al (2013) PPARgamma signaling and metabolism: the good, the bad and the future. Nat Med 19:557–566. doi:10.1038/nm.3159

    CAS  Article  PubMed  Google Scholar 

  24. Livak KJ, Schmittgen TD (2001) Analysis of relative gene expression data using real-time quantitative PCR and the 2(-Delta Delta C(T)) Method. Methods 25:402–408. doi:10.1006/meth.2001.1262

    CAS  Article  PubMed  Google Scholar 

  25. Gontier K, André J-M, Bernadet M-D et al (2013) Insulin effect on lipogenesis and fat distribution in three genotypes of ducks during overfeeding. Comp Biochem Physiol A: Mol Integr Physiol 164:499–505. doi:10.1016/j.cbpa.2012.12.019

    CAS  Article  Google Scholar 

  26. Teff KL, Elliott SS, Tschöp M et al (2004) Dietary fructose reduces circulating insulin and leptin, attenuates postprandial suppression of ghrelin, and increases triglycerides in women. J Clin Endocrinol Metab 89:2963–2972. doi:10.1210/jc.2003-031855

    CAS  Article  PubMed  Google Scholar 

  27. Grant KI, Marais MP, Dhansay MA (1994) Sucrose in a lipid-rich meal amplifies the postprandial excursion of serum and lipoprotein triglyceride and cholesterol concentrations by decreasing triglyceride clearance. Am J Clin Nutr 59:853–860

    CAS  Article  PubMed  Google Scholar 

  28. Paglialunga S, Julien P, Tahiri Y et al (2009) Lipoprotein lipase deficiency is associated with elevated acylation stimulating protein plasma levels. J Lipid Res 50:1109–1119. doi:10.1194/jlr.M800430-JLR200

    CAS  Article  PubMed  PubMed Central  Google Scholar 

  29. Farese RV, Yost TJ, Eckel RH (1991) Tissue-specific regulation of lipoprotein lipase activity by insulin/glucose in normal-weight humans. Metabolism 40:214–216

    CAS  Article  PubMed  Google Scholar 

  30. Dombret H (1996) Utilisation des facteurs de croissance hématopoïétiques: guide pratique, John Libbe

  31. Eaton S (2002) Control of mitochondrial B-oxidation flux. Prog Lipid Res 41:197–239. doi:10.1016/S0163-7827(01)00024-8

    CAS  Article  PubMed  Google Scholar 

  32. Cheol SC, Savage DB, Kulkarni A et al (2007) Suppression of diacylglycerol acyltransferase-2 (DGAT2), but not DGAT1, with antisense oligonucleotides reverses diet-induced hepatic steatosis and insulin resistance. J Biol Chem 282:22678–22688. doi:10.1074/jbc.M704213200

    Article  Google Scholar 

  33. Péterfy M, Ben-Zeev O, Mao HZ et al (2007) Mutations in LMF1 cause combined lipase deficiency and severe hypertriglyceridemia. Nat Genet 39:1483–1487. doi:10.1038/ng.2007.24

    Article  PubMed  Google Scholar 

  34. Baeza E, Rideau N, Chartrin P et al (2005) Canards de Barbarie, Pékin et leurs hybrides : aptitude à l’engraissement. INRA Prod Anim 18:131–141

    Google Scholar 

  35. Seiliez I, Médale F, Aguirre P et al (2013) Postprandial regulation of growth- and metabolism-related factors in zebrafish. Zebrafish 10:237–248. doi:10.1089/zeb.2012.0835

    CAS  Article  PubMed  PubMed Central  Google Scholar 

  36. Paulauskis JD, Sul HS (1988) Cloning and expression of mouse fatty acid synthase and other specific mRNAs. Developmental and hormonal regulation in 3T3-L1 cells. J Biol Chem 263:7049–7054

    CAS  PubMed  Google Scholar 

  37. Gruffat D, Durand D, Graulet B, Bauchart D (1996) Regulation of VLDL synthesis and secretion in the liver. Reprod Nutr Dev 36:375–389. doi:10.1051/rnd:19960404

    CAS  Article  PubMed  Google Scholar 

  38. Brown AM, Gibbons GF (2001) Insulin inhibits the maturation phase of VLDL assembly via a phosphoinositide 3-kinase-mediated event. Arterioscler Thromb Vasc Biol 21:1656–1661. doi:10.1161/hq1001.096640

    CAS  Article  PubMed  Google Scholar 

  39. Han C, Wei S, He F et al (2015) The regulation of lipid deposition by insulin in goose liver cells is mediated by the PI3 K-AKT-mTOR signaling pathway. PLoS ONE 10:e0098759. doi:10.1371/journal.pone.0098759

    Article  PubMed  PubMed Central  Google Scholar 

  40. Vollmers C, Gill S, DiTacchio L et al (2009) Time of feeding and the intrinsic circadian clock drive rhythms in hepatic gene expression. Proc Natl Acad Sci 106:21453–21458. doi:10.1073/pnas.0909591106

    CAS  Article  PubMed  PubMed Central  Google Scholar 

  41. Wang Y, Mu Y, Li H et al (2008) Peroxisome proliferator-activated receptor-gene: a key regulator of adipocyte differentiation in chickens. Poult Sci 87:226–232. doi:10.3382/ps.2007-00329

    CAS  Article  PubMed  Google Scholar 

  42. Rogue A, Spire C, Brun M et al (2010) Gene expression changes induced by PPAR gamma agonists in animal and human liver. PPAR Res 2010:325183. doi:10.1155/2010/325183

    Article  PubMed  PubMed Central  Google Scholar 

Download references

Acknowledgements

We thank the “Conseil Général des Landes” and the “Comité Interprofessionnel des Palmipèdes à Foie Gras” (CIFOG) for financing this work. We also thank the technical staff of INRA Artiguères for rearing ducks (Certificate of Authorization to Experiment on Living animals, No. B40-037-1, Ministry of Agriculture and Fish Products, ethic committee Aquitaine birds and fish No. C2EA-73). We are grateful to Frédéric Martins and Jean-José Maoret for performing Fluidigm analysis (Génopole Toulouse/Midi-pyrénées, Plateau Transcriptomique Quantitative (TQ), Toulouse, France). We finally thank Patrick Daniel, Karine Bellet, and Martine Chague of the laboratory Pyrénées Landes (LPL, Mont de Marsan, France) to let us use their material.

Author information

Affiliations

Authors

Corresponding author

Correspondence to Gontier Karine.

Rights and permissions

Reprints and Permissions

About this article

Verify currency and authenticity via CrossMark

Cite this article

Annabelle, T., Karine, R., Marie-Dominique, B. et al. Pre- and post-prandial expression of genes involved in lipid metabolism at the end of the overfeeding period of mule ducks. Mol Cell Biochem 438, 111–121 (2018). https://doi.org/10.1007/s11010-017-3118-6

Download citation

  • Received:

  • Accepted:

  • Published:

  • Issue Date:

  • DOI: https://doi.org/10.1007/s11010-017-3118-6

Keywords

  • Hepatic steatosis
  • Lipid metabolism
  • Kinetic
  • Ducks