Abstract
Context
Over the past decades, numerous threats from climate- and land-use change to ecosystems have been identified. Grassland ecosystems are among the most endangered in the world and ongoing grassland declines in the Great Plains have been a major concern for avian biodiversity conservation.
Objectives
Threat mitigation may include biofuel cultivation, CO2 emissions reductions, and land conservation strategies. However, spatially explicit and species-specific population responses to future scenarios remain unknown. We show how future land-use and climate scenarios may affect abundance and biodiversity patterns for grassland birds in the Upper Missouri River Basin.
Methods
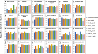
We used georeferenced abundance records, 20 environmental predictors, and gradient boosting machines to create spatial abundance models for 24 grassland bird species. Models were scored to current conditions and seven future landcover/climate-change scenarios to spatially predict changes in bird abundance for 2050.
Results
Model accuracy varied by species (0.2% ≤ NRMSE ≤ 39.3%) but spatial predictions were highly accurate (.03 ≤ MAE ≤ 7.67). Mean abundances declined for eight species in at least one scenario, whereas abundances increased for 16 species. Multi-species change analyses identified areas of decreasing abundance, particularly in the southeast, whereas increasing were predicted at higher elevations to the west. Important predictors included temperature, forest distance, and elevation.
Conclusions
Predicted abundances varied by species and geography. Abundances and distributions expanded for most species, but multi-species declines also occurred in many low-elevation areas. These models may improve understanding of species-specific responses to environmental change by identifying emerging areas of avian conservation concern.







Similar content being viewed by others
References
Arenas-Castro S, Gonçalves J, Alves P, Alcaraz-Segura D, Honrado JP (2018) Assessing the multi-scale predictive ability of ecosystem functional attributes for species distribution modelling. PLoS ONE 13(6):e0199292
Baker WL (2015) Are high-severity fires burning at much higher rates recently than historically in dry-forest landscapes of the Western USA? PLoS ONE 10(9):e0136147
Bakker KK, Higgins KF (2009) Planted grasslands and native sod prairie: equivalent habitat for grassland birds? West N Am Nat 69:235–242
Baltensperger AP, Huettmann F (2015a) Predictive spatial niche and biodiversity hotspot models for small mammal communities in Alaska: applying machine-learning to conservation planning. Landsc Ecol 30:681–697
Baltensperger AP, Huettmann F (2015b) Predicted shifts in small mammal distributions and biodiversity in the altered future environment of Alaska: an open access data and machine learning perspective. PLoS ONE 10(7):1–21
Barbet-Massin M, Thuiller W, Jiguet F (2012) The fate of European breeding birds under climate, land-use and dispersal scenarios. Glob Change Biol 18(3):881–890
Beringer T, Lucht W, Schaphoff S (2011) Energy production potential of global biomass plantations under environmental and agricultural constraints. Bioenergy 3:299–312
Bernath-Plaisted J, Koper N (2016) Physical footprint of oil and gas infrastructure, not anthropogenic noise, reduces nesting success of some grassland songbirds. Biol Conserv 204:434–441
Blank PJ, Sample DW, Williams CL, Turner MG (2014) Bird communities and biomass yields in potential bioenergy grasslands. PloS One 9(10):e109989. https://doi.org/10.1371/journal.pone.0109989
Boelman NT, Krause JS, Sweet SK, Chmura H, Perez JH, Gough L, Wingfield JC (2017) Extreme spring conditions in the Arctic delay spring phenology of long-distance migratory songbirds. Behav Ecol 185:69–80
Bollinger EK, Bollinger PB, Gavin TA (1990) Effects of hay-cropping on eastern populations of bobolink. Wildl Soc Bull 18:142–150
Brookshire ENJ, Weaver T (2015) Long-term decline in grassland productivity driven by increasing dryness. Nat Commun 6:1–7
Buckley LB, Khaliq I, Swanson DL, Hof C (2018) Does metabolism constrain bird and mammal ranges and predict shifts in response to climate change? Ecol Evol. https://doi.org/10.1002/ece3.4537
Copeland HE, Pocewicz A, Kiesecker JM (2011) Geography of energy development in Western North America: potential impacts on terrestrial ecosystems. In: Naugle DE (ed) Energy development and wildlife conservation in Western North America. Island Press, Washington, pp 7–22
Correll MD, Strasser EH, Green AW, Panjabi AO (2019) Quantifying specialist avifaunal decline in grassland birds of the Northern Great Plains. Ecosphere 10(1):e02523
Craig E, Huettmann F (2009) Using "blackbox" algorithms such as TreeNet and Random Forests for data-mining and for finding meaningful patterns, relationships, and outliers in complex ecological data: an overview, example using golden eagle satellite data and an outlook for a promising future. In: Wang HF (ed) Intelligent data analysis: developing new methodologies through pattern discovery and recovery. Idea Group Inc., Hershey, pp 65–84
Dolan KA, Stoy PC, Poulter B (2019) Land management and climate change determine second-generation bioenergy potential of the U.S. Northern Great Plains. GCB Bioenergy. https://doi.org/10.1111/gcbb.12686
Elith J, Graham CH, Anderson RP, Dudik M, Ferrier S, Guisan A, Hijmans RJ, Huettmann F, Leathwick JR, Lehmann A, Li J, Lohmann LG, Loiselle BA, Manion G, Moritz C, Nakamura M, Nakazawa Y, Overton JM, Peterson AT, Phillips SJ, Richardson K, Scachetti-Pereira R, Schapire RE, Soberon J, Williams S, Wisz MS, Zimmermann NE (2006) Novel methods improve prediction of species' distributions from occurrence data. Ecography 29(2):129–151
Evans JS, Murphy MA, Holden ZA, Cushman SA (2011) Modeling species distribution and change using Random Forest. In: Drew CA, Wiersma YF, Huettmann F (eds) Predictive species and habitat modeling in Landscape Ecology. Springer, Berlin, pp 139–160
Fox CH, Huettmann F, Harvey GKA et al (2017) Predictions from machine learning ensembles: marine bird distribution and abundance on Canada's Pacific coast. Mar Ecol Prog Ser 566:199–216
Gage AM, Olimb SK, Nelson J (2016) Plowprint: tracking cumulative cropland expansion to target grassland conservation. Great Plains Res 26:107–116
Greer MJ, Bakker KK, Dieter CD (2016) Grassland bird response to recent loss and degradation of native prairie in Central and Western South Dakota. Wilson J Ornithol 128(2):278–289
Hamer TL, Flather CH, Noon BR (2006) Factors associated with grassland bird species richness: the relative roles of grassland area, landscape structure, and prey. Landsc Ecol 21:569–583
Hanni DJ, White CM, Van Lanen NJ, Birek JJ, Berven JM, McLaren MF (2018) Integrated monitoring in bird conservation regions (IMBCR): field protocol for spatially-balanced sampling of land bird populations. Bird Conservancy of the Rockies, Brighton
Havstad KM, Peters DPC, Skaggs R, Brown J, Bestelmeyer B, Fredrickson E, Herrick J, Wright J (2007) Ecological services to and from rangelands of the United States. Ecol Econ 64(2):261–268
Hoekstra JM, Boucher TM, Ricketts TH, Roberts C (2004) Confronting a biome crisis: global disparities of habitat loss and protection. Ecol Lett 8:23–29
Hof C, Voskamp A, Biber MF, Böhning-Gaese K, Engelhardt EK (2018) Bioenergy cropland expansion may offset positive effects of climate change mitigation for global vertebrate diversity. Proc Natl Acad Sci USA 115(52):13294–13299
Hofner B, Hothorn T, Kneib T, Schmid M (2011) A framework for unbiased model selection based on boosting. J Comput Graph Stat 20(4):956–971
Howard C, Stephens PA, Pearce-Higgins JW, Gregory RD, Willis SG (2015) The drivers of avian abundance: patterns in the relative importance of climate and land use. Glob Ecol Biogeogr 24(11):1249–1260
IPCC (2018) Global Warming of 1.5°C. An IPCC Special Report on the impacts of global warming of 1.5°C above pre-industrial levels and related global greenhouse gas emission pathways, in the context of strengthening the global response to the threat of climate change, sustainable development, and efforts to eradicate poverty In: Masson-Delmotte V, Zhai P, Pörtner H-O, Roberts D, Skea J, Shukla PR, Pirani A, Moufouma-Okia W, Péan C, Pidcock R, Connors S, Matthews JBR, Chen Y, Zhou X, Gomis MI, Lonnoy E, Maycock T, Tignor M, Waterfield T (eds) In Press.
Jonas JL, Buhl DA, Symstad AJ (2015) Impacts of weather on long-term patterns of plant richness and diversity vary with location and management. Ecology 96(9):2417–2432
Kunkel KE, Karl TR, Easterling DR et al (2013) Probable maximum precipitation and climate change. Geophys Res Lett 40(7):1402–1408
Lipsey MK, Doherty KE, Naugle DE, Fields S, Evans JS, Davis SK, Koper N (2015) One step ahead of the plow: using cropland conversion risk to guide Sprague′s Pipit conservation in the northern Great Plains. Biol Conserv 191:739–749
Maestre FT, Eldridge DJ, Soliveres S (2016) A multifaceted view on the impacts of shrub encroachment. Appl Veg Sci 19:369–370
McFarlane BL, Parkins JR, Watson DOT (2012) Risk, knowledge, and trust in managing forest insect disturbance. Can J For Res 42(4):710–719
Mullen K, Yuan F, Mitchell M (2018) The mountain pine beetle epidemic in the Black Hills, South Dakota: the consequences of long term fire policy, climate change. J Geogr Geol 10:69–82
Murray L, Best L (2003) Short-term bird response to harvesting switchgrass for biomass in Iowa. J Wildl Manage 67:611
Nixon AE, Fisher RJ, Stralberg D, Bayne EM, Farr DR (2016) Projected responses of North American grassland songbirds to climate change and habitat availability at their northern range limits in Alberta, Canada. Avian Conserv Ecol. https://doi.org/10.1111/ddi.13057
Oppel S, Strobl C, Huettmann F (2009) Alternative methods to quantify variable importance in ecology. University of Munich, Munich, pp 1–6
Parmesan C, Yohe G (2003) A globally coherent fingerprint of climate change impacts across natural systems. Nature 42(2):37–42
Pearson RG, Dawson TP, Liu C (2004) Modelling species distributions in Britain: a hierarchical integration of climate and land-cover data. Ecography 27(3):285–298
Peterjohn BG, Sauer JR (1999) Population status of North American grassland birds from the North American breeding bird survey 1966–1996. Stud Avian Biol 19:27–44
R Core Team (2019) R: A language and environment for statistical computing. R Foundation for Statistical Computing,Vienna, Austria. https://www.R-project.org/
Robertson BA, Rice RA, Sillett TS, Ribic CA, Babcock BA, Landis DA, Herkert JR, Fletcher RJ, Fontaine JJ, Doran PJ, Schemske DW (2012) Are agrofuels a conservation threat or opportunity for grassland birds in the United States? Condor 114(4):679–688
Rodenhouse NL, Best LB, Oconnor RJ, Bollinger EK (1993) Effects of temperate agriculture on neotropric migrant landbirds. In: Finch DM, Stangel PW (eds) Status and management of neotropical migratory birds. USDA Forest Service, Fort Collins, pp 280–295
Rosenberg KV, Dokter AM, Blancher PJ, Sauer JR, Smith AC, Smith PA, Stanton JC, Panjabi A, Helft L, Parr M, Marra PP (2019) Decline of the North American avifauna. Science 366:120–124
Rosenberg KV, Kennedy JA, Dettmers R, Ford R, Reynolds D, Alexander J, Beardmore C, Blancher PJ, Bogart R, Butcher G, Camfield A, Couturier A, Demarest DW, Easton WE, Giocomoco JJ, Keller RH, Mini AE, Panjabi AO, Pashley DN, Rich TD, Ruth JM, Stabins H, Stanton J, Will T (2016) Partners in flight landbird conservation plan: 2016 revision for Canada and Continental United States. Partners in Flight Science Committee, pp. 119
Saalfeld DT, Saalfeld ST, Conway WC, Hartke KM (2016) Wintering grassland bird responses to vegetation structure, exotic invasive plant composition, and disturbance regime in coastal prairies of Texas. Wilson J Ornithol 128(2):290–305
Samson F, Knopf F (1994) Prairie conservation in North America. Other Publ Wildl Manag 41:418–421
Sauer JR, Niven D, Hines JE, Ziolkowski DJ Jr, Pardieck K, Link W (2017a) The North American Breeding Bird Survey, results and analysis. Version 2.07.2017. USGS Patuxent Wildlife Research Center, Laurel, MD
Sauer JR, Pardieck KL, Ziolkowski DJ Jr, Smith AC, Hudson M, Rodriguez V, Berlanga H, Niven D, Link W (2017b) The first 50 years of the North American Breeding Bird Survey. Condor 119(3):576–593
Schipper AM, Belmaker J, de Miranda MD, Navarro LM, Bohning-Gaese K, Costello MJ, Dornelas M, Foppen R, Hortal J, Huijbregts MAJ, Martin-Lopez B, Pettorelli N, Queiroz C, Rossberg AG, Santini L, Schiffers K, Steinmann ZJN, Visconti P, Rondinini C, Pereira HM (2016) Contrasting changes in the abundance and diversity of North American bird assemblages from 1971 to 2010. Glob Change Biol 22(12):3948–3959
Silver WL, Ryals R, Eviner V (2010) Soil carbon pools in California's annual grassland ecosystems. Rangeland Ecol Manage 63(1):128–136
Sohl TL (2014) The relative impacts of climate and land-use change on conterminous Unites States bird species from 2001 to 2075. PLoS ONE 9:1–18
Sohl TL, Dornbierer J, Wika S (2019) 33 high-resolution scenarios of land use and vegetation change in the Prairie Potholes. In: Survey USG. (ed). Sioux Falls, SD
Sohl TL, Sayler KL, Drummond MA, Loveland TR (2007) The FORE-SCE model: a practical approach for projecting land cover change using scenario-based modeling. J Land Use Sci 2(2):103–126
Stager M, Pollock HS, Benham PM, Sly ND, Brawn JD, Cheviron ZA (2016) Disentangling environmental drivers of metabolic flexibility in birds: the importance of temperature extremes versus temperature variability. Ecography 39(8):787–795
Stanton RL, Morrissey CA, Clark RG (2018) Analysis of trends and agricultural drivers of farmland bird declines in North America: a review. Agr Ecosyst Environ 254:244–254
Staudt A, Leidner AK, Howard J, Brauman KA, Dukes JS, Hansen LJ, Paukert C, Sabo J, Solórzano LA (2013) The added complications of climatechange: understanding and managing biodiversity and ecosystems. Front Ecol Environ 11:494–501
Steinberg D (2006) Modeling tricks with TreeNet: Treating Categorical Variables as Continuous. Dan Steinberg's Blog, Accessed 2016, 17 edn. Salford Systems, Inc., San Diego, CA; https://www.salford-systems.com/blog/dan-steinberg/modeling-tricks-with-treenet-treating-categorical-variables-as-continuous
Stoy PC, Ahmed S, Jarchow M, Rashford B, Swanson D, Albeke S, Bromley G, Brookshire E, Dixon MD, Haggerty J, Miller P, Peyton B, Royem A, Spangler L, Straub C, Poulter B (2018) Opportunities and trade-offs among BECCS and the food, water, energy, biodiversity, and social systems nexus at regional scales. Bioscience 68:100–111
Swanson DL, Garland T (2009) The evolution of high summit metabolism and cold tolerance in birds and its impacts on preset-day distributions. Evolution 63(1):184–194
Travers SE, Marquardt B, Zerr NJ, Finch JB, Boche MJ, Wilk R, Burdick SC (2015) Climate change and shifting arrival date of migratory birds over a century in the Northern Great Plains. Wilson J Ornithol 127(1):43–51
U.S. Department of Energy (2016) 2016 Billion-Ton Report: advancing domestic resources for a thriving bioeconomy. In: Langholtz MH, Stokes BJ, Eaton LM (eds) ORNL/TM-2016/160. Oak Ridge National Laboratory, Oak Ridge, TN, p 448
van Vuuren DP, Edmonds J, Kainuma M, Riahi K, Thomson A, Hibbard K, Hurtt GC, Kram T, Krey V, Lamarque J-F, Masui T, Meinshausen M, Nakicenovic N, Smith SJ, Rose SK (2011) The representative concentration pathways: an overview. Clim Change 109(1):5
van Vuuren DP, Deetman S, van Vliet J, van den Berg M, van Ruijven BJ, Koelbl B (2013) The role of negative CO2 emissions for reaching 2°C—insightsfrom integrated assessment modelling. Clim Change 118(1):15–27
White RP, Murray S, Rohweder M (2000) Pilot analysis of global ecosystems: grassland ecosystems. World Resources Institute, Washington, DC
Wiersma YF, Huettmann F, Drew CA (2011) Landscape modeling of species and their habitats: history, uncertainty, and complexity. In: Drew CA, Wiersma YF, Huettmann F (eds) Predictive species and habitat modeling in landscape ecology. Springer, New York, pp 1–8
Williams JW, Jackson ST (2007) Novel climates, no-analog communities, and ecological surprises. Front Ecol Environ 5(9):475–482
Willmott CJ, Ackleson SG, Davis RE, Feddema JJ, Klink KM, Legates DR, O’Donnell J, Rowe CM (1985) Statistics for the evaluation and comparisonof models. J Geophys Res 90:8995–9005
Wilson S, Smith AC, Naujokaitis-Lewis I (2018) Opposing responses to drought shape spatial population dynamics of declining grassland birds. Divers Distrib 24:1687–1698
Wright CK, Wimberly MC (2013) Recent land use change in the Western Corn Belt threatens grasslands and wetlands. Proc Natl Acad Sci 110:4134–4139
WWF (2018) The plowprint report. World Wide Fund for Nature, Bozeman, pp 1–7
Acknowledgements
We thank T. Sohl for providing the FORE-SCE landcover scenarios and for providing feedback regarding model construction and analysis. J. Timmer supplied the BCR data that served to train avian abundance models. K. Bakker provided background and species context based on prior experience sampling grassland birds in SD. This work was funded by NSF OIA-1632810.
Author information
Authors and Affiliations
Corresponding author
Additional information
Publisher's Note
Springer Nature remains neutral with regard to jurisdictional claims in published maps and institutional affiliations.
Electronic supplementary material
Below is the link to the electronic supplementary material.
Rights and permissions
About this article
Cite this article
Baltensperger, A.P., Dixon, M.D. & Swanson, D.L. Implications of future climate- and land-change scenarios on grassland bird abundance and biodiversity in the Upper Missouri River Basin. Landscape Ecol 35, 1757–1773 (2020). https://doi.org/10.1007/s10980-020-01050-4
Received:
Accepted:
Published:
Issue Date:
DOI: https://doi.org/10.1007/s10980-020-01050-4


