Abstract
Context
Islands harbor unique and sensitive wildlife. Little is currently known, however, on how touristic development affects island species. We analyzed how tourism-associated infrastructure impacts wildlife and habitat availability across a representative Mediterranean island landscape (Naxos, Aegean Sea, Greece).
Objectives
First, we aimed to quantify how human-built structures (buildings and roads) affect island bird and reptile populations. Additionally, we investigated whether specific factors associated with this development such as cats, water, and food shape these impacts. Second, we mapped and quantified how touristic-dominated development over 33 years has changed landscape habitat availability for wildlife.
Methods
We used wildlife field surveys and analyses to elucidate the spatial responses of wildlife to development, and combined this with a compilation of image-derived spatial data of the recent infrastructure expansion.
Results
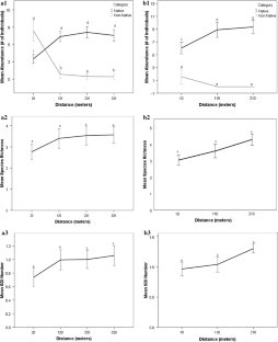
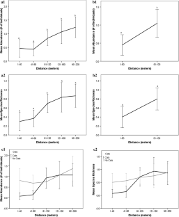
Native birds declined strongly close to buildings and roads, and were replaced there by non-native invasive species. Reptiles also largely disappeared close to human development; appearing to be influenced by predation by pet cats. Over the study period, 1982–2015, human-built structures nearly doubled. Combining the increase in infrastructure numbers with each structure’s estimated ecological footprint, 100 m, revealed that only 20.5% of the potential wildlife habitat remains unaffected by development in the study region.
Conclusions
This study demonstrates the landscape-level effects of diffuse tourism-dominated development on island wildlife and suggests the existence of cooperative effects between touristic expansion and exotic species. Given the pervasive presence of tourism in island habitats, it raises concerns about its effects on resident biodiversity.





Similar content being viewed by others
Explore related subjects
Discover the latest articles and news from researchers in related subjects, suggested using machine learning.References
Andriotis K (2010) Tourism planning and development in Crete: recent tourism policies and their efficacy. J Sustain Tour 9(4):298–316
Audsley BW, Bock CE, Jones ZF, Bock JH, Smith HM (2006) Lizard abundance in an exurban Southwestern Savanna, and the possible importance of roadrunner predation. Am Midl Nat 155:391–401
Bates D, Maechler M, Bolker B, Walker S (2015) Fitting linear mixed-effects models using lme4. J Stat Softw 67(1):1–48.
Bellard C, Rysman J, Leroy B, Claud C, Mace GM (2017) A global picture of biological invasion threat on islands. Nat Ecol Evol 1:1862–1869
Bergmeier E, Dimopoulos P (2003) The vegetation of islets in the Aegean and the relation between the occurrence of islet specialists, island size, and grazing. Phytocoenologia 33(2–3):447–474
Blair RB (1999) Birds and butterflies along an urban gradient: surrogate taxa for assessing biodiversity? Ecol Appl 9:164–170
Bock CE, Jones ZE, Bock JH (2008) The oasis effect: response of birds to exurban development in a Southwestern Savanna. Ecol Appl 18:1093–1106
Bonnaud E, Bourgeois K, Vidal E, Kayser Y, Tranchant Y, Legrand J (2007) Feeding ecology of a feral cat population on a small Mediterranean island. J Mammal 88:1074–1081
Casey JM, Wilson ME, Hollingshead N, Haskell DG (2009) The effects of exurbanization on birds and macroinvertebrate communities in deciduous forests on the Cumberland Plateau, Tennessee. Int J Ecol 2009:1–10
Clergeau P, Savard JL, Mennechiez G, Falardeau G (1998) Bird abundance and diversity along an urban-rural gradient: a comparative study between two cities on different continents. Condor 100:413–425
Crooks KR, Suarez AV, Bolger DT (2004) Avian assemblages along a gradient of urbanization in a highly fragmented landscape. Biol Cons 115:451–462
Donihue CM (2016) Aegean wall lizards switch foraging modes, diet, and morphology in a human-built environment. Ecol Evol 6(20):7433–7442
Dritsakis N (2004) Tourism as a long-run economic growth factor: an empirical investigation for Greece using causality analysis. Tour Econ 10(3):305–316
ESRI (2017) ArcGIS 10.5. Redlands, California
Geospatial Hexagon (2016) Erdas imagine professional 2016. Norcross, GA
Glennon MJ, Kretser HE, Hilty JA (2015) Identifying common patterns in diverse systems: effects of exurban development on birds of the Adirondack Park and the Greater Yellowstone Ecosystem, USA. Environ Manag 55:453–466
Gonzalez-Abraham CE, Radeloff VC, Hawbaker TJ, Hammer RB, Stewart SI, Clayton MK (2007) Pattern of houses and Habitat Loss from 1937 to 1999 in Northern Wisconsin, USA. Ecol Appl 17(7):2011–2023
Google and CNES/Astrium (2015) Google Earth (Version 7.0) and image data. Google, Mountain View, CA
Greece HMGS (1982) Hellenic military geography service aerial photography 1: 8,000. Greece, Athens
Hager SB, Cosentino BJ, McKay KJ, Monson C, Zuurdeeg W, Blevins B (2013) Window area and development drive spatial variation in bird-window collisions in an urban landscape. PLoS ONE 8(1):e53371
Haralambopoulos N, Pizam A (1996) Perceived impacts of tourism: the case of samos. Ann Tour Res 23(3):503–526
Harrop J (1973) The economics of the tourist boom. Bull Econ Res 25:55–72
Higgins-Desbiolles F (2006) More than an “industry”: the forgotten power of tourism as a social force. Tour Manag 27:1192–1208
Hopkins L (2002) IUCN and Mediterranean Islands: opportunities for biodiversity conservation and sustainable use. IUCN Centre for Conservation of Nature, Gland, Switzerland
IBM Corp. Released (2016) IBM SPSS Statistics for Windows, Version 24.0. Armonk, NY: IBM Corp
Kizos T, Koulouri M (2006) Agricultural landscape dynamics in the Mediterranean: Lesvos (Greece) case study using evidence from the last three centuries. Environ Sci Policy 9:330–342
Koenig J, Shine R, Shea G (2001) The dangers of life in the city: patterns of activity, injury and mortality in suburban lizards. J Herpetol 36:62–68
Krausmann F, Richter R, Eisenmenger N (2014) Resource use in small island states. J Ind Ecol 18(2):294–305
Lepczyk CA, Mertig AG, Liu J (2004) Landowners and cat predation across rural-to-urban landscapes. Biol Cons 115:191–201
Li B, Belasen A, Pafilis P, Bednekoff P, Foufopoulos J (2014) Effects of feral cats on the evolution of anti-predator behaviours in island reptiles: insights from an ancient introduction. Proc R Soc B 281:1–6
Loss SR, Will T, Marra PP (2013) The impact of free-ranging domestic cats on wildlife of the United States. Nat Commun 4:1396
Loumou A, Giourga C, Dimitrakopoulos P, Koukoulas S (2000) PROFILE: tourism contribution to agro-ecosystems conservation: the case of Lesbos Island, Greece. Environ Manag 26(4):363–370
Lymberakis P, Pafilis P, Poulakakis N, Sotiropoulos K, Valakos ED (2018) The amphibians and reptiles of the Aegean Sea. In: Fenthourakis S et al. (eds) Biogeography and biodiversity of the Aegean. In honour of Prof. Moysis Mylonas. Broken Hill Publishers Ltd, Nicosia, Cyprus, pp 169–189
Magurran AE, McGill BJ (eds) (2011) Biological diversity: frontiers in measurement and assessment. Oxford University Press, New York
Merenlender AM, Reed SE, Heise KL (2009) Exurban development influences woodland bird composition. Landsc Urban Plan 92:255–263
Myers N, Mittermeier RA, Mittermeier CG, da Fonseca GAB, Kent J (2000) Biodiversity hotspots for conservation priorities. Nature 403:853–858
Nastos PT, Evelpidou N, Vassilopoulos A (2010) Does climatic change in precipitation drive erosion in Naxos Island, Greece? Nat Hazard Earth Syst Sci 10:379–382
Obrador-Pons P, Crang M, Travlou P (2009) Cultures of mass tourism: doing the Mediterranean in the age of banal mobilities. Ashgate Publishing Ltd, Farnham, p 181
Odell EA, Knight RL (2001) Songbirds and medium-sized mammal communities associated with exurban development in Pitkin County, Colorado. Conserv Biol 15(4):1143–1150
Olson DM, Dinerstein E, Wikramanayake ED, Burgess ND, Powell GVN, Underwood EC (2001) Terrestrial ecoregions of the world: a new map of life on Earth. Bioscience 51:933–938
OpenStreetMap Foundation (2017) OpenStreetmap. http://www.mapcruzin.com/free-greece-arcgis-maps-shapefiles.htm. Accessed 16 Apr 2017
R Core Team (2019) R: A language and environment for statistical computing. R Foundation for Statistical Computing, Vienna, Austria. URL https://www.R-project.org/
Smart R, Whiting MJ, Twine W (2005) Lizards and landscapes: integrating field surveys and interviews to assess the impact of human disturbance on lizard assemblages and selected reptiles in a savanna in South Africa. Biol Cons 122:23–31
Spatz DR, Zilliacus KM, Holmes ND, Butchart SHM, Genovesi P, Ceballos G, Tershy BR, Croll DA (2017) Globally threatened vertebrates on islands with invasive species. Conserv Biol 3(10):1–12
Stuart YE, Losos JB, Algar AC (2012) The island-mainland species turnover relationship. Proc R Soc B. https://doi.org/10.1098/rspb.2012.0816
Suarez-Rubio M, Leimgruber P, Renner SC (2011) Influence of exurban development on bird species richness and diversity. J Ornithol 152:461–471
Sutherland RW (2009) The effects of urbanization on reptiles and amphibians in the Sandhills region of North Carolina. Unpublished Duke University Dissertation, Duke University, Durham, NC, p 179
Thomas L, Buckland ST, Rexstad EA, Laake JL, Strindberg S, Hedley SL, Bishop JRB, Marques TA, Burnham KP (2010) Distance software: design and analysis of distance sampling surveys for estimating population size. J Appl Ecol 47:5–14
Tryjanowski P, Sparks TH, Biaduń W, Brauze T, Hetmański T, Martyka R, Skórka P, Indykiewicz P, Myczko Ł, Kunysz P, Kawa P, Czyż S, Czechowski P, Polakowski M, Zduniak P, Jerzak L, Janiszewski T, Goławski A, Duduś L, Nowakowski JJ, Wuczyński A, Wysocki D (2015) Winter bird assemblages in rural and urban environments: a national survey. PLoS ONE 10(6):e0130299
Wickham H (2016) ggplot2: Elegant graphics for data analysis. Springer-Verlag, New York
Acknowledgements
We would like to thank the University of Michigan School for Environment and Sustainability, International Institute, and the Rackham School for Graduate Studies for providing the support to conduct this research. We also acknowledge the statistical consulting assistance of S.Y.P. Chen from at the University of Michigan CSCAR. We thank J. Fornberg, S. Semegen, B. Graber, K. McDonald, and L. Vesprani, for assistance during the field work portion. We extend our gratitude to V. Tamez, Z. Gizicki, and our friends and family for their advice and support over the course of this study. All fieldwork was conducted with special permission issued from the Greek Ministry of Environment and Energy (Permit code, ΑΔΑ: ΩΘΤ84653Π8-Β3Μ).
Author information
Authors and Affiliations
Corresponding author
Additional information
Publisher's Note
Springer Nature remains neutral with regard to jurisdictional claims in published maps and institutional affiliations.
Electronic supplementary material
Below is the link to the electronic supplementary material.
Rights and permissions
About this article
Cite this article
Krawczyk, E., Hedman, H., Pafilis, P. et al. Effects of touristic development on Mediterranean island wildlife. Landscape Ecol 34, 2719–2734 (2019). https://doi.org/10.1007/s10980-019-00917-5
Received:
Accepted:
Published:
Issue Date:
DOI: https://doi.org/10.1007/s10980-019-00917-5
