Abstract
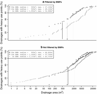
Riparian buffers, a best management practice (BMP), lessen environmental impacts caused by pasture-based agriculture by excluding livestock from streams and removing sediment and nutrients from overland flow before they enter the watercourse. Geospatial data analysis of digital elevation models (DEMs) can improve BMP placement by ensuring that BMPs intercept flow paths. Livestock heavy use areas and riparian buffers within 100 m of the stream were digitized using aerial photography of Spring Creek watershed (Pennsylvania, USA). Flow path lengths and stream entry points from heavy use areas, from all agricultural land uses, and from a random sample of points were calculated using 1, 10, and 30 m DEM resolutions. Euclidean distances identified the nearest stream entry point regardless of topography. Drainage areas for each streambank cell were evaluated using each DEM resolution. Topographic calculations differed significantly from Euclidean, with median differences of 14.3 m for flow path length and 24.1 m between stream entry points for the 10 m DEM. Existing buffers intercepted runoff from only 23 % of heavy use areas. Drainage areas ranged from one to hundreds of DEM cells. Any DEM is an arbitrary representation of a continuous surface; both resolution and processing method affect the suitability of such a representation for any given purpose. We found that 30 m DEMs did not provide reasonable flow path estimates at the scale of grazing agriculture in this region, while Pennsylvania 1 m DEMs were minimally smoothed during DEM preparation, resulting in erratic flow paths. The 10 m DEMs were the most suitable available DEM product, and should be used in conjunction with site visits for planning pasture BMP placement.






Similar content being viewed by others
Explore related subjects
Discover the latest articles and news from researchers in related subjects, suggested using machine learning.References
Agouridis CT, Workman SR, Warner RC, Jennings GD (2005) Livestock grazing management impacts on stream water quality: a review. J Am Water Resour Assoc 41:591–606
Baker ME, Weller DE, Jordan TE (2006) Improved methods for quantifying potential nutrient interception by riparian buffers. Landscape Ecol 21:1327–1345
Berry JK, Delgado JA, Khosla R, Pierce FJ (2003) Precision conservation for environmental sustainability. J Soil Water Conserv 58:332–339
Bren LJ (1998) The geometry of a constant-loading buffer design method for humid watersheds. Forest Ecol Manag 110:113–125
Carline RF, Walsh MC (2007) Responses to riparian restoration in the Spring Creek Watershed, Central Pennsylvania. Restor Ecol 15:731–742
Cassell EA, Dorioz JM, Kort RL, Hoffmann JP, Mealse DW, Kirschtel D, Braun DC (1998) Modelling phosphorus dynamics in ecosystems: mass balance and dynamic simulation approaches. J Environ Qual 27:293–298
Castelle AJ, Johnson AW, Conolly C (1994) Wetland and stream buffer size requirements: a review. J Environ Qual 23:878–882
Charrier R, Li Y (2012) Assessing resolution and source effects of digital elevation models on automated floodplain delineation: a case study from the Camp Creek Watershed, Missouri. Appl Geogr 34:38–46
Chaubey I, Chiang L, Gitau MW, Mohamed S (2010) Effectiveness of best management practices in improving water quality in a pasture-dominated watershed. J Soil Water Conserv 65:424–437
Cuttle SP (2008) Impacts of pastoral grazing on soil quality. In: McDowell RW (ed) Environmental impacts of pasture-based farming. CAB International, Cambridge, pp 33–74
Doody D, Moles R, Tunney H, Kurz I, Bourke D, Daly K, O’Regan B (2006) Impact of flow path length and flow rate on phosphorus loss in simulated overland flow from a humic gleysol grassland soil. Sci Total Environ 372:247–255
Dosskey MG, Helmers MJ, Eisenhauer DE, Franti TG, Hoagland KD (2002) Assessment of concentrated flow through riparian buffers. J Soil Water Conserv 57:336–343
Dosskey MG, Helmers MJ, Eisenhauer DE (2006) An approach for using soil surveys to guide the placement of water quality buffers. J Soil Water Conserv 61:344–354
Easton ZM, Walter MT, Schneiderman EM, Zion MS, Steenhuis TS (2009) Including source-specific phosphorus mobility in a non-point source pollution model for agricultural watersheds. J Environ Eng 135:25–35
ESRI (2009) ArcGIS Version 9.3.1. 380 New York Street, Redlands, CA
Fairfield J, Leymarie P (1991) Drainage networks from grid digital elevation models. Water Resour Res 27:709–717
Fuhlendorf SD, Harrell WC, Engle DM, Hamilton RG, Davis CA, Leslie DM Jr (2006) Should heterogeneity be the basis for conservation? Grassland bird response to fire and grazing. Ecol Appl 16:1706–1716
Galzki JC, Birr AS, Mulla DS (2011) Identifying critical agricultural areas with three-meter LiDAR elevation data for precision conservation. J Soil Water Conserv 66:423–430
Garbrecht TJ, Martz LW (2000) Digital elevation model issues in water resources modeling. In: Maidment D, Djokic D (eds) Hydrologic and hydraulic modeling support with geographic information systems. ESRI, Inc., Redlands, pp 1–28
Gburek WJ, Sharpley AN (1998) Hydrological controls on phosphorus loss from upland agricultural watersheds. J Environ Qual 27:267–277
Ghebremichael LT, Cerosaletti PE, Veith TL, Rotz CA, Hamlett JM, Gburek WJ (2007) Economic and phosphorus-related effects of precision feeding and forage management at a farm-scale. J Dairy Res 90:3700–3715
Gitau MW, Veith TL, Gburek WJ (2004) Farm-level optimization of BMP placement for cost-effective pollution reduction. Trans ASAE 47:1923–1931
Harrell Jr FE and with contributions from many other users (2012) Hmisc: harrell miscellaneous. R package version 3.9-1, http://CRAN.R-project.org/package=Hmisc
Heathwaite AL (1995) Sources of eutrophication: hydrological pathways of catchment nutrient export. Int Assoc Hydro Sci Publ 230:161–176
Hively WD, Bryant RB, Fahey TJ (2005) Phosphorus concentrations in overland flow from diverse locations on a New York dairy farm. J Environ Qual 34:1224–1233
Hopkinson C, Hayashi M, Peddle D (2009) Comparing alpine watershed attributes from LiDAR, photogrammetric, and contour-based digital elevation models. Hydrol Process 23:451–463
Lee K, Isenhart TM, Schultz RC, Mickelson SK (2000) Multispecies riparian buffers trap sediment and nutrients during rainfall simulations. J Environ Qual 29:1200–1205
Logan TJ (1990) Agricultural best management practices and groundwater protection. J Soil Water Conserv 45:201–206
Maas RP, Smolen MD, Dressing SA (1985) Selecting critical areas for nonpoint-source pollution control. J Soil Water Conserv 40:68–71
Moore ID, Grayson RB, Ladson AR (1991) Digital terrain modeling: a review of hydrological geomorphological, and biological applications. Hydrol Process 5:3–30
Orlandini S, Moretti G (2009) Determination of surface flow paths from gridded elevation data. Water Resour Res 45:W03417
PAMAP (2012) PAMAP LiDAR Data FAQ. http://www.dcnr.state.pa.us/topogeo/pamap/PAMAP_LiDAR_Data_FAQ_062009.pdf. Accessed April 2012
PASDA (2012) Pennsylvania spatial data clearinghouse. http://www.pasda.psu.edu. Accessed April 2012
Pionke HB, Gburek WJ, Sharpley AN (2000) Critical source area controls on water quality in an agricultural watershed located in the Chesapeake Basin. Ecol Eng 14:325–335
Sanderson MA, Feldman C, Schmidt J, Herrmann A, Taube F (2010) Spatial distribution of livestock concentration areas and soil nutrients in pastures. J Soil Water Conserv 65:180–189
Spruill T (2000) Statistical evaluation of effect of riparian buffers on nitrate and ground water quality. J Environ Qual 29:1523–1538
Tarboton DG (1997) A new method for the determination of flow directions and upslope areas in grid digital elevation models. Water Resour Res 33:309–319
Tarboton DG, Schreuders KAT, Watson DW, Baker ME (2009) Generalized terrain-based flow analysis of digital elevation models. In: Anderssen RS, Braddock RD, Newham LTH (eds) Paper presented to 18th World IMACS Congress and MODSIM09 international congress on modelling and simulation. Modelling and Simulation Society of Australia and New Zealand and International Association for Mathematics and Computers in Simulation, Belgium, July 2009, pp 2000–2006
R Core (2011) foreign: read data stored by Minitab, S, SAS, SPSS, Stata, Systat, dBase, R package version 0.8-48. http://CRAN.R-project.org/package=foreign. Accessed June 2011
R Development Core Team (2011) R: a language and environment for statistical computing. R foundation for statistical computing, Vienna, Austria. ISBN 3-900051-07-0. http://www.R-project.org. Accessed June 2011
Tim US, Jolly R, Liao HH (1995) Impact of landscape feature and feature placement on agricultural non-point source pollution control. J Water Res 121:463–470
Tomer MD, James DE, Isenhart TM (2003) Optimizing placement of riparian practices in a watershed using terrain analysis. J Soil Water Conserv 58:198–206
US EPA (2009) National Water Quality Inventory: quality of our nation’s waters: Report to Congress 2004 Reporting Cycle. EPA 841-R-08-001. U.S. Environmental Protection Agency, Office of Water, Washington. http://water.epa.gov/lawsregs/guidance/cwa/305b/upload/2009_01_22_305b_2004report_2004_305Breport.pdf. Accessed April 2012
US EPA (2010) Chesapeake bay compliance and enforcement strategy. US Environmental Protection Agency Office of Enforcement and Compliance Assurance. http://www.epa.gov/oecaerth/civil/initiatives/chesapeake-strategy-enforcement.pdf. Accessed June 2011
USDA ERS (2011) Census of agriculture state fact sheets. http://www.ers.usda.gov/StateFacts. Accessed June 2011
USGS (2012a) National elevation dataset. http://seamless.usgs.gov/. Accessed April 2012
USGS (2012b) National hydrography dataset. http://nhd.usgs.gov/data.html. Accessed April 2012
Veith TL, Ghebremichael LT (2010) Determining whole-farm conservation solutions for small farms in the northeastern United States. In: 10th international conference on precision agriculture proceedings CD, Paper No. 311, Denver, 18–21 July 2010
Veith TL, Wolfe ML, Heatwole CD (2004) Cost-effective BMP placement: optimizing versus targeting. Trans ASAE 47:1585–1594
Warner ED, Myers WL, Bishop JA, Miller D (2007) 2005 Land cover classification for Pennsylvania. Digital map data. Penn State Institutes of Energy and the Environment, The Pennsylvania State University, University Park, PA. In cooperation with the Pennsylvania Department of Conservation of Natural Resources, Harrisburg, PA
Wilson JP, Gallant JC (eds) (2000) Terrain analysis: principles and applications. Wiley, New York
Acknowledgments
This work contributes to the Conservation Effects Assessment Project (CEAP), jointly funded, coordinated and administered by the United States Department of Agriculture Natural Resources Conservation Service; Agricultural Research Service; and Cooperative State Research, Education, and Extension Service. Funding for this project was provided by the USDA-NRCS. We would like to thank Bob Carline for assistance with locations of BMPs installed in Spring Creek Watershed, and Hannah Ingram for her land use digitizing efforts. Mention of trade names or commercial products in this publication is solely for the purpose of providing specific information and does not imply recommendation or endorsement by the U.S. Department of Agriculture. USDA is an equal opportunity provider and employer.
Author information
Authors and Affiliations
Corresponding author
Rights and permissions
About this article
Cite this article
Piechnik, D.A., Goslee, S.C., Veith, T.L. et al. Topographic placement of management practices in riparian zones to reduce water quality impacts from pastures. Landscape Ecol 27, 1307–1319 (2012). https://doi.org/10.1007/s10980-012-9783-7
Received:
Accepted:
Published:
Issue Date:
DOI: https://doi.org/10.1007/s10980-012-9783-7


