Abstract
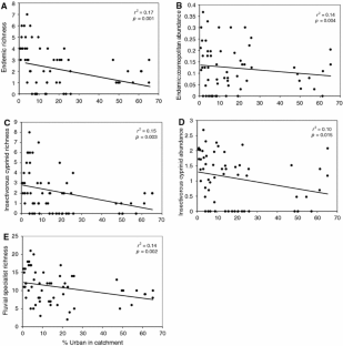
We assessed the influence of land cover at multiple spatial extents on fish assemblage integrity, and the degree to which riparian forests can mitigate the negative effects of catchment urbanization on stream fish assemblages. Riparian cover (urban, forest, and agriculture) was determined within 30 m buffers at longitudinal distances of 200 m, 1 km, and the entire network upstream of 59 non-nested fish sampling locations. Catchment and riparian land cover within the upstream network were highly correlated, so we were unable to distinguish between those variables. Most fish assemblage variables were related to % forest and % urban land cover, with the strongest relations at the largest spatial extent of land cover (catchment), followed by riparian land cover in the 1-km and 200-m reach, respectively. For fish variables related to urban land cover in the catchment, we asked whether the influence of riparian land cover on fish assemblages was dependent on the amount of urban development in the catchment. Several fish assemblage metrics (endemic richness, endemic:cosmopolitan abundance, insectivorous cyprinid richness and abundance, and fluvial specialist richness) were all best predicted by single variable models with % urban land cover. However, endemic:cosmopolitan richness, cosmopolitan abundance, and lentic tolerant abundance were related to % forest cover in the 1-km stream reach, but only in streams that had <15% catchment urban land cover. In these cases, catchment urbanization overwhelmed the potential mitigating effects of riparian forests on stream fishes. Together, these results suggest that catchment land cover is an important driver of fish assemblages in urbanizing catchments, and riparian forests are important but not sufficient for protecting stream ecosystems from the impacts of high levels of urbanization.




Similar content being viewed by others
References
Allan JD (2004) Landscapes and riverscapes: the influence of land use on stream ecosystems. Annu Rev Ecol Evol Syst 35:257–284
Allan JD, Johnson LB (1997) Catchment-scale analysis of aquatic ecosystems. Freshw Biol 37:107–111
Allan JD, Erickson DL, Fay J (1997) The influence of catchment land use on stream integrity across multiple spatial scales. Freshw Biol 37:149–161
Burkhead NM, Walsh SJ, Freeman BJ, Williams JD (1997) Status and restoration of the Etowah River, and imperiled Southern Appalachian ecosystem. In: Benz GW, Collins DE (eds) Aquatic fauna in Peril, the Southeastern perspective. Southeast Aquatic Research Institute, Lenz Design and Communication, Decatur, Georgia, USA, pp 374–444
Burnham KP, Anderson DR (2002) Model selection and inference: a practical information-theoretic approach, 2nd edn. Springer-Verlag, Inc., New York, New York, USA
Burnham KP, Overton WS (1979) Robust estimation of population size when capture probabilities vary among animals. Ecology 60:927–936
Calhoun JM (1988) Riparian management practices of the Department of Natural Resources. In: Raedeke K (ed) Streamside management: riparian wildlife and forestry interactions. Contribution No. 59, Institute of Forest Resources, University of Washington, Seattle, Washington, USA, pp 207–211
Davies PE, Nelson M (1994) Relationships between riparian buffer widths and the effects of logging on stream habitat, invertebrate community composition and fish abundance. Aust J Mar Freshw Res 45:1289–1305
Detenbeck NE, Devore PW, Niemi GJ, Lima A (1992) Recovery of temperate-stream fish communities from disturbance—a review of case-studies and synthesis of theory. Environ Manage 16:33–53
Etnier DA, Starnes WC (1993) The fishes of Tennessee. The University of Tennessee Press, Knoxville, Tennessee, USA
Fitzpatrick FA, Scudder BC, Lenz BN, Sullivan DJ (2001) Effects of multi-scale environmental characteristics on agricultural stream biota in eastern Wisconsin. J Am Water Res Assoc 37:1489–1507
Gregory SV, Swanson FJ, McKee WA, Cummins KW (1991) An ecosystem perspective of riparian zones. BioScience 41:540–551
Harding JS, Benfield EF, Bolstad PV, Helfman GS, Jones EBD III (1998) Stream biodiversity: the ghost of land use past. Proc Natl Acad Sci USA 45:14843–14847
Jones EBD III, Helfman GS, Harper JO, Bolstad PV (1999) Effects of riparian forest removal on fish assemblages in southern Appalachian streams. Conserv Biol 13:1454–1465
Lammert M, Allan JD (1999) Assessing biotic integrity of streams: Effects of scale in measuring the influence of land use/cover and habitat structure on fish and macroinvertebrates. Environ Manage 23:257–270
Lattin PD, Wigington PJ Jr, Moser TJ, Peniston BE, Lindeman DR, Oetter DR (2004) Influence of remote sensing imagery source on quantification of riparian land cover/land use. J Am Water Res Assoc 40:215–227
Lee KE, Goldstein RM, Hanson PE (2001) Relation between fish communities and riparian zone conditions at two spatial scales. J Am Water Res Assoc 37:1465–1473
Lee P, Smith C, Boutin S (2004) Quantitative review of riparian buffer width guidelines from Canada and the United States. J Environ Manage 70:165–180
Lowrance RR (1998) Riparian forest ecosystems as filters for nonpoint-source pollution. In: Pace ML, Groffman PM (eds) Successes, limitations and frontiers in ecosystem science. Springer-Verlag, Inc., New York, New York USA, pp 113–141
May CW, Horner R, Karr JR, Mar BW, Welch EB (1997) Effects of urbanization on small streams in the Puget Sound lowland ecoregion. Watershed Prot Tech 2:482–494
Meador MR, Goldstein RM (2003) Assessing water quality at large geographic scales: relations among land use, water physiochemistry, riparian condition, and fish community structure. Environ Manage 31:504–517
Mettee MF, O’Neil PE, Pierson JM (1996). Fishes of Alabama and the Mobile Basin. Oxmore House Inc., Birmingham Alabama USA
Miller DL, Leonard PM, Hughes RM, Karr JR, Moyle PB, Schrader LH, Thompson BA, Daniels RA, Fausch KD, Fitxhugh GA, Gammon JR, Halliwell DB, Angermeier PL, Orth DJ (1988) Regional applications of an index of biotic integrity for use in water resource management. Fisheries 13(5):12–20
Naiman RJ, Decamps H (1997) The ecology of interfaces: Riparian zones. Annu Rev Ecol Syst 28:621–658
Nichols JD, Boulinier T, Hines JE, Pollock KH, Sauer JR (1998) Inference methods for spatial variation in species richness and community composition when not all species are detected. Conserv Biol 12:1390–1398
Paul MJ, Meyer JL (2001) Streams in the urban landscape. Annu Rev Ecol Syst 32:333–365
Pusey BJ, Arthington AH (2003) Importance of the riparian zone to the conservation and management of freshwater fish: a review. Mar Freshw Res 54:1–16
Roth NE, Allan JD, Erickson DL (1996) Landscape influences on stream biotic integrity assessed at multiple spatial scales. Landsc Ecol 11:141–156
Roy AH, Freeman MC, Meyer JL, Leigh DS (2003) Patterns of land use change in upland and riparian areas in the Etowah River basin. In Hatcher KJ (ed) Proceedings of the 2003 Georgia water resources conference. Institute of Ecology, University of Georgia, Athens, Georgia, USA, pp. 331–334
Roy AH, Faust CL, Freeman MC, Meyer JL (2005a) Reach-scale effects of riparian forest cover on urban stream ecosystems. Can J Fish Aquat Sci 62:2312–2329
Roy AH, Freeman MC, Freeman BJ, Wenger SJ, Ensign WE, Meyer JL (2005b) Investigating hydrologic alteration as a mechanism of fish assemblage shifts in urbanizing streams. J North Am Benthol Soc 24:656–678
Roy AH, Freeman MC, Freeman BJ, Wenger SJ, Meyer JL, Ensign WE (2006) Importance of riparian forests in urban catchments contingent on sediment and hydrologic regimes. Environ Manage 37:523–529
Scott MC, Helfman GS (2001) Native invasions, homogenization, and the mismeasure of integrity of fish assemblages. Fisheries 26(11):6–15
Snyder CD, Young JA, Villella R, Lemarie DP (2003) Influences of upland and riparian land use patterns on stream biotic integrity. Landsc Ecol 18:647–664
Stauffer JC, Goldstein RM, Newman RM (2000) Relationship of wooded riparian zones and runoff potential to fish community composition in agricultural streams. Can J Fish Aquat Sci 57:307–316
Steedman RJ (1988) Modification and assessment of an index of biotic integrity to quantify stream quality in southern Ontario. Can J Fish Aquat Sci 45:492–501
Stevens MHH, Cummins KW (1999) Effects of long-term disturbance on riparian vegetation and in-stream characteristics. J Freshw Ecol 14:1–17
Stewart JS, Wang L, Lyons J, Horwatich J, Bannerman R (2001) Influence of watershed, riparian corridor, and reach-scale characteristics on aquatic biota in agricultural watersheds. J Am Water Res Assoc 37:1475–1487
Strayer DL, Beighley RE, Thompson LC, Brooks S, Nilsson C, Pinay G, Naiman RJ (2003) Effects of land cover on stream ecosystems: roles of empirical models and scaling issues. Ecosystems 6:407–423
Sweeney BW (1992) Streamside forests and the physical, chemical, and trophic characteristics of Piedmont streams in eastern North America. Water Sci Technol 26:2653–2673
Travnichek VH, Bain MB, Maceina MJ (1995) Recovery of a warmwater fish assemblage after the initiation of a minimum-flow release downstream from a hydroelectric dam. Trans Am Fish Soc 124:836–844
Turner MG (1989) Landscape ecology: the effect of pattern on process. Annu Rev Ecol Syst 20:171–197
U.S. Census Bureau (2000) State and County QuickFacts. http://www.quickfacts.census.gov/qfd/
Van Sickle J, Baker J, Herlihy A, Bayley P, Gregory S, Haggerty P, Ashkenas L, Li J (2004) Protecting the biological condition of streams under alternative scenarios of human land use. Ecol Appl 14:368–380
Walters DM, Leigh DS, Bearden AB (2003) Urbanization, sedimentation, and the homogenization of fish assemblages in the Etowah River Basin, USA. Hydrobiologia 494:5–10
Wang L, Lyons J, Kanehl P, Gatti R (1997) Influences of watershed land use on habitat quality and biotic integrity in Wisconsin streams. Fisheries 22(6):6–12
Wang L, Lyons J, Kanehl P, Bannerman R (2001) Impacts of urbanization on stream habitat and fish across multiple spatial scales. Environ Manage 28:255–266
Wiens JA (2002) Riverine landscapes: taking landscape ecology into the water. Freshw Biol 47:501–515
Acknowledgements
The authors would like to thank the numerous people with the Freeman lab at the University of Georgia and the Stream Survey Team with the Georgia Department of Natural Resources for making this project possible by collecting fish data and maintaining an informative fish database. P. Johnson, C. Straight, and S. Wenger provided fish database and GIS support. J. Lee and E. Kramer from the Natural Resources Spatial Analysis Laboratory (NARSAL) at the University of Georgia provided land cover and impervious surface cover maps. Funding for this project was provided by a US Fish & Wildlife Service Habitat Conservation Planning Grant awarded to the Georgia Department of Natural Resources, and by a University of Georgia Dissertation Writing Fellowship awarded to A.H.R.
Author information
Authors and Affiliations
Corresponding author
Appendix
Appendix
Rights and permissions
About this article
Cite this article
Roy, A.H., Freeman, B.J. & Freeman, M.C. Riparian influences on stream fish assemblage structure in urbanizing streams. Landscape Ecol 22, 385–402 (2007). https://doi.org/10.1007/s10980-006-9034-x
Received:
Accepted:
Published:
Issue Date:
DOI: https://doi.org/10.1007/s10980-006-9034-x


