Skip to main content

Thermal behavior and decomposition kinetics of ETN and its mixtures with PETN and RDX

Abstract

Erythritol tetranitrate (butane-1,2,3,4-tetrayl tetranitrate, ETN) has become one of the most synthesized improvised explosives nowadays as it can be found on public internet discussion boards. However, the low melting point, nitrocellulose gelling ability, high energy content, and availability of its precursor make the substance potentially useful in industry as an energetic component or additive in certain gun propellants. Mixtures of ETN with other high explosives are also frequently discussed on web pages dealing with improvised explosives. This article describes thermal behavior and decomposition kinetics of pure ETN and its mixtures with pentaerythritol tetranitrate and cyclonite (1,3,5-trinitro-1,3,5-triazinane, RDX). The thermal behavior and decomposition kinetics of such mixtures are described using non-isothermal DSC and TG techniques. Kissinger method, Soviet manometric method, and modified Kissinger–Akahira–Sunose method were used for data evaluation.

This is a preview of subscription content, access via your institution.

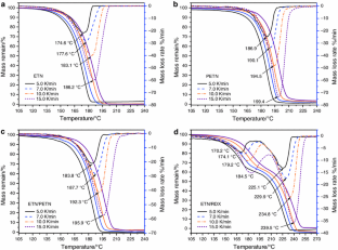
Fig. 1
Fig. 2
Fig. 3
Fig. 4
Fig. 5
Fig. 6
Fig. 7

References

  1. Stenhouse J. Ueber die näheren Bestandtheile einiger Flechten. Justus Liebigs Ann Chem. 1849;70:218–28.

    Article  Google Scholar 

  2. Urbański T. Chemistry and technology of explosives, vol. 2. Oxford: Pergamon Press; 1965. p. 517.

    Google Scholar 

  3. Naoúm P. Nitroglycerine and nitroglycerine explosives. Baltimore: The Williams & Wilkins Company; 1928. p. 469.

    Google Scholar 

  4. Afanasiev AG, Svetlov BS. O termicheskom razlozenii polinitratov gomologicheskogo ryada O2NOCH2[CH(ONO2)] n CH2ONO2. Trudy Moskovskogo ordena Lenina khimiko-tekhnologicheskogo instituta imeni D. I. Mendeleeva. 1968;58:185–188.

    Google Scholar 

  5. Oxley JC, Smith JL, Brady JE, Brown AC. Characterization and analysis of tetranitrate esters. Propellants Explos Pyrotech. 2012;37:24–39.

    CAS  Article  Google Scholar 

  6. Bergeim FH. Production of erythritol tetranitrate, US patent 1,691,954; 1928.

  7. Detail Specification RDX. Military Standard MIL-DTL-398D, US Department of Defense; 1999.

  8. Kim DI, Kim KJ. Solubility of cyclotrimethylenetrinitramine (RDX) in binary solvent mixtures. J Chem Eng Data. 2007;52:1946–9.

    CAS  Article  Google Scholar 

  9. Vyazovkin S, Burnham AK, Criado JM, Pérez-Maqueda LA, Popescu C, Sbirrazzuoli N. ICTAC kinetics committee recommendations for performing kinetic computations on thermal analysis data. Thermochim Acta. 2011;520:1–19.

    CAS  Article  Google Scholar 

  10. Yan Q-L, Zeman S, Elbeih A. Recent advances in thermal analysis and stability evaluation of insensitive plastic bonded explosives (PBXs). Thermochim Acta. 2012;537:1–12.

    CAS  Article  Google Scholar 

  11. Yan Q-L, Zeman S, Šelešovský J, Svoboda R, Elbeih A. Thermal behavior and decomposition kinetics of Formex-bonded explosives containing different cyclic nitramines. J Therm Anal Calorim. 2012;111:1419–30.

    Article  Google Scholar 

  12. Starink MJ. The determination of activation energy from linear heating rate experiments: a comparison of the accuracy of isoconversion methods. Thermochim Acta. 2003;404:163–76.

    CAS  Article  Google Scholar 

  13. Yan Q-L, Zeman S, Svoboda R, Elbeih A, Málek J. The effect of crystal structure on the thermal initiation of CL-20 and its C4 bonded explosives (II): models for overlapped reactions and thermal stability. J. Therm. Anal. Calorim. 2012. doi:10.1007/s10973-012-2629-3.

  14. Singh G, Felix P, Pandey DK, Agrawal JP, Sikder AK. Studies on energetic compounds. Part XXXIX. Thermal analysis of a plastic bonded explosive containing RDX and HTPB. J Therm Anal Calorim. 2005;79:631–5.

    Article  Google Scholar 

  15. Klimenko GK. Goreniye i vzryv. In: 4th All-union symposium on combustion and explosion. Moskva: Nauka; 1977. p. 587.

  16. Andreev KK, Kaidymov BI. Termicheskii raspad TENa. In: Andreeva KK, Belyaeva AF, Golbindera AI, Gorsma AG, editors. Teoriya vzryvchatykh veshchestv. Moskva: Oborongiz; 1963. p. 241–73.

    Google Scholar 

  17. Criado JM, Pérez-Maqueda LA, Gotor FJ, Málek J, Koga N. A unified theory for the kinetic analysis of solid state reaction under any thermal pathway. J Therm Anal Calorim. 2003;72:901–6.

    CAS  Article  Google Scholar 

  18. Málek J. Kinetic analysis of crystallization processes in amorphous materials. Thermochim Acta. 2000;355:239–53.

    Article  Google Scholar 

  19. Málek J. The kinetic analysis of non-isothermal data. Thermochim Acta. 1992;200:257–69.

    Article  Google Scholar 

  20. Svoboda R, Málek J. Interpretation of crystallization kinetics results provided by DSC. Thermochim Acta. 2011;526:237–51.

    CAS  Article  Google Scholar 

  21. Khawam A, Flanagan DR. Solid-state kinetic models: basics and mathematical fundamentals. J Phys Chem B. 2006;110:17315–28.

    CAS  Article  Google Scholar 

  22. Khawam A, Flanagan DR. Basics and applications of solid-state kinetics: a pharmaceutical perspective. J Pharm Sci. 2006;95:472–98.

    CAS  Article  Google Scholar 

Download references

Acknowledgments

The work in this article was mainly carried out as a part of the Ministry of Interior of the Czech Republic Project No. VG20102014032.

Author information

Authors and Affiliations

Authors

Corresponding author

Correspondence to Martin Künzel.

Rights and permissions

Reprints and Permissions

About this article

Cite this article

Künzel, M., Yan, QL., Šelešovský, J. et al. Thermal behavior and decomposition kinetics of ETN and its mixtures with PETN and RDX. J Therm Anal Calorim 115, 289–299 (2014). https://doi.org/10.1007/s10973-013-3265-2

Download citation

  • Received:

  • Accepted:

  • Published:

  • Issue Date:

  • DOI: https://doi.org/10.1007/s10973-013-3265-2

Keywords

  • Erythritol tetranitrate
  • ETN
  • Pentaerythritol tetranitrate
  • Hexogen
  • Decomposition
  • Improvised explosive