Abstract
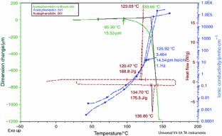
Thermal mechanical analysis (TMA) of crystalline drugs and excipients in their pre-melt temperature range performed in this study corroborate their newly found linear dielectric conductivity properties with temperature. TMA of crystalline active pharmacy ingredients (APIs) or excipients shows softening at 30–100 °C below the calorimetric melting phase transition, which is also observed by dielectric analysis (DEA). Acetophenetidin melts at 135 °C as measured calorimetrically by DSC, but softens under a low mechanical stress at 95 °C. At this pre-melting temperature, the crystals collapse under the applied load, and the TMA probe shows rapid displacement. The mechanical properties yield a softening structure and cause a dimensionally slow disintegration resulting in a sharp dimensional change at the melting point. In order to incorporate these findings into a structure–property relationship, several United States Pharmacopeia (USP) melting-point standard drugs were evaluated by TMA, DSC, and DEA, and compared to the USP standard melt temperatures. The USP standard melt temperature for vanillin (80 °C) [1], acetophenetidin (135 °C) [2], and caffeine (235 °C) [3] are easily verified calorimetrically via DSC. The combined thermal analysis techniques allow for a wide variety of the newly discovered physical properties of drugs and excipients.
This is a preview of subscription content, access via your institution.




References
Chemical Book Inc. CAS no. 121-33-5 Vanillin. Merck. 2011;14:9932.
Chemical Book Inc. CAS no. 62-44-2, Acetophenetidin. Merck, 2011;14:7204.
Chemical Book Inc. CAS no 58-08-2, Caffeine. Merck. 2011;14:1636.
Hancock BC, Parks M. What is the true solubility advantage for amorphous pharmaceuticals? Pharm Res. 2000;17(4):397–404.
Danchen G, Howard RJ. Use of solution calorimetry to determine the extent of crystallinity of drugs and excipients. Int J Pharm. 1997;151(2):26, 183–192.
Raymond CR, Paul JS, Paul JW. Handbook of pharmaceutical excipients, 4th edn. Washington, DC: Pharmaceutical Press, American Pharmaceutical Association, 1976; p. 50, 51, 86, 252–254, 326, 373, 374, 667.
Riga AT, Roy S, Alexander KS. A statistical approach for the evaluation of parameter affecting preformulation studies of pharmaceuticals by differential scanning calorimetry. American Pharmaceutical Review. 2003; p. 89–95.
Sax NI. Dangerous properties of industrial materials. 3rd ed. New York: Van Nostrand Reinhold Co; 1968. p. 892.
Neag CM. Thermomechanical analysis in materials science, material characterization by thermomechanical analysis, ASTM STP 1136. In: Riga AT Neag CM, editors. Philadelphia: American Society for Testing and Materials, 1991. p. 3–21.
Grady LT, Reamer JT. Testing of heat sealing by thermal analysis. J Pharm Sci. 1976;65(4):628–30.
Masilungan FC, Lordi NG. Evaluation of film coating compositions by thermomechanical analysis. I. penetration mode. Int J Pharm. 1984;20:295–305.
Wunderlich B. Thermomechanical analysis and dilatomerty, chapter 6. Boston: Academic Press; 1990. p. 315.
Höhne G, Hemminger W, Flammersheim HJ. Differential scanning calorimetry, second edition. Thermochim Acta. 2003;160:1.
Watson ES, O’Neill MJ. US Patent 3,263,484, 2 August 1966.
Verdonck E, Schaap K, Thomas LC. A discussion of the principles and applications of modulated temperature DSC (MTDSC). Int J Pharm. 1999;192:3–20.
Riga A, Judovits L. Materials characterization by dynamic and modulated thermal analytical techniques. San Francisco: ASTM Special Technical Publication; 2001. p. 1402.
Saleh SW, Molek SM, Mantheni D, Sam-Yellowe MPKMT, Riga A. Thermal behavior and signature patterns of human cytokine and soluble cytokine receptors investigated using dielectric thermal analysis and thermogravimetry. J Therm Anal Calorim Anal. 2011. doi:10.1007/s10973-011-1530-9.
Mantheni RD, Maheswaram MPK, Sobhi HF, Perera I, Riga AT, Matthews E, Alexander K. Solid state studies of drugs and chemicals by dielectric and calorimetric analysis. J Therm Anal Calorim. 2011. doi:10.1007/s10973-011-1423-y.
Author information
Authors and Affiliations
Corresponding author
Rights and permissions
About this article
Cite this article
Thakur, S.S., Maheswaram, M.P.K., Mantheni, D.R. et al. Solid-state mechanical properties of crystalline drugs and excipients. J Therm Anal Calorim 108, 283–287 (2012). https://doi.org/10.1007/s10973-011-1859-0
Received:
Accepted:
Published:
Issue Date:
DOI: https://doi.org/10.1007/s10973-011-1859-0