Skip to main content

Coping and Stress Reactivity as Moderators of Maternal Depressive Symptoms and Youth’s Internalizing and Externalizing Symptoms

Abstract

Youth’s responses to stress are a central feature of risk and resilience across development. The current study examined whether youth coping and stress reactivity moderate the association of current maternal depressive symptoms with youth’s internalizing and externalizing symptoms. Mothers (Mage = 41.58, SD = 6.18) with a wide range of depressive symptoms and their children ages 9–15 (Mage = 12.25, SD = 1.89, 45.3% girls) completed measures of youth symptoms and coping and automatic responses to stress. Mothers also completed a self-report measure of depressive symptoms. Youth’s primary and secondary control coping, stress reactivity, and involuntary disengagement moderated the association between current maternal depressive symptoms and youth symptoms. Maternal depressive symptoms were associated with youth’s internalizing and externalizing symptoms when youth used low as opposed to high levels of primary and secondary control coping. Conversely, maternal depressive symptoms were associated with youth symptoms for youth with high levels of stress reactivity and involuntary disengagement. The findings suggest interventions focused on improving the use of primary and secondary control coping skills and reducing reactivity and involuntary disengagement to stress may benefit youth with mothers who are experiencing high levels of depressive symptoms.

This is a preview of subscription content, access via your institution.

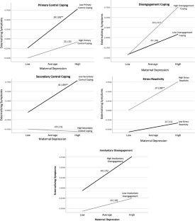
Fig. 1
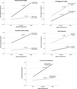
Fig. 2

Notes

  1. Mother-reports of youth primary control coping (β = −0.15, p < 0.05), secondary control coping (β = −0.16, p < 0.05), and stress reactivity (β = 0.15, p < 0.05) all significantly moderated the relationship between maternal depressive symptoms and youth’s internalizing symptoms (β = −0.30 to 0.15, ps < 0.01). Youth-report of child primary control coping (β = −0.31, p < 0.01), secondary control coping (β = −0.23, p < 0.01), stress reactivity (β = 0.15, p < 0.01), and involuntary disengagement (β = 0.28, p < 0.05) all significantly moderated the relationship between maternal depressive symptoms and youth’s internalizing symptoms. Neither mother reports of disengagement coping (β = 0.08, p = 0.65), involuntary disengagement coping (β = 0.16, p = 0.13) nor youth reports of disengagement coping (β = 0.01, p = 0.96) were significant moderators of the relationship between maternal depressive symptoms and youth’s internalizing symptoms.

  2. Mother-report of youth primary control coping (β = −0.02, p = 0.78) and stress reactivity (β = 0.08, p = 0.28) did not significantly predict the relationship between maternal depression and youth’s externalizing problems. Mother-report of youth secondary control coping (β = −0.19, p < 0.05) did significantly moderate the relationship between maternal depression and youth’s externalizing symptoms. Youth-report of child primary control coping (β = −0.25, p < 0.01), secondary control coping (β = −0.28, p < 0.01), and stress reactivity (β = 0.19, p < 0.01) all significantly moderated the relationship between maternal depression and youth’s externalizing symptoms. Neither mother report of disengagement coping (β = 0.18, p = 0.33), involuntary disengagement coping (β = 0.08, p = 0.62) nor youth report of disengagement coping (β = 0.08, p = 0.67) or involuntary disengagement coping (β = 0.19, p = 0.28) were significant moderators of the relationship between maternal depressive symptoms and children’s externalizing symptoms.

References

  • Achenbach, T. M., & Rescorla, L. A. (2001). Manual for the ASEBA school-age forms and profiles. Burlington, VT: University of Vermont, Research Center for Children, Youth, and Families.

    Google Scholar 

  • American Psychiatric Association. (1994). DSM-IV sourcebook 1, Washington DC: American Psychiatric Association.

    Google Scholar 

  • Beck, A. T., Steer, R. A., Ball, R., & Ranieri, W. F. (1996). Comparison of beck depression inventories-IA and -II in psychiatric outpatients. Journal of Personality Assessment, 67(3), 588–597.

    Article  PubMed  PubMed Central  Google Scholar 

  • Beck, A. T., Steer, R. A., & Brown, G. K. (1996). Beck depression inventory. 2nd ed. San Antonio, TX: The Psychological Corporation.

    Google Scholar 

  • Benson, M. A., Compas, B. E., Layne, C. M., Vandergrift, N., Pasalic, H., Katalinksi, R., & Pynoos, R. S. (2011). Measurement of post-war coping and stress responses: a study of Bosnian adolescents. Journal of Applied Developmental Psychology, 32(6), 323–335.

    Article  Google Scholar 

  • Compas., B. E., Boyer, M. C., Stanger, C., Colletti, R. B., Thomsen, A. H., Dufton, L. M., & Cole, D. A. (2006). Latent variable analysis of coping, anxiety/depression, and somatic symptoms in adolescents with chronic pain. Journal of Consulting and Clinical Psychology, 74(6), 1132–1142.

    Article  PubMed  Google Scholar 

  • Compas, B. E., Champion, J. E., Forehand, R., Cole, D. A., Reeslund, K. L., Fear, J., & Roberts, L. (2010). Coping and parenting: mediators of 12-month outcomes of a family group cognitive–behavioral preventive intervention with families of depressed parents. Journal of Consulting and Clinical Psychology, 78, 623–634.

    Article  PubMed  PubMed Central  Google Scholar 

  • Compas, B. E., Connor-Smith, J., Saltzman, H., Thomsen, A. H., & Wadsworth, M. E. (2001). Coping with stress during childhood and adolescence: problems, progress, and potential in theory and research. Psychological Bulletin, 127(1), 87–127.

    Article  Google Scholar 

  • Compas., B. E., Forehand, R., Thigpen, J., Hardcastle, E., Garai, E., McKee, L., & Sterba, S. (2015). Efficacy and moderators of a family group cognitive-behavioral preventive intervention for children of depressed parents. Journal of Consult and Clinical Psychology, 83(3), 541–553.

    Article  Google Scholar 

  • Compas, B. E., Jaser, S. S., Bettis, A. H., Watson, K. H., Gruhn, M. A., Dunbar, J. P., & Thigpen, J. C. (2017). Coping, emotion regulation, and psychopathology in childhood and adolescence: a meta-analysis and narrative review. Psychological Bulletin, 143(9), 939.

    Article  PubMed  Google Scholar 

  • Connor-Smith, J. K., & Compas, B. E. (2002). Vulnerability to social stress: coping as a mediator or moderator of sociotropy and symptoms of anxiety and depression. Cognitive Therapy and Research, 26(1), 39–55.

    Article  Google Scholar 

  • Dufton, L. M., Dunn, M. J., Slosky, L. S., & Compas, B. E. (2011). Self-reported and laboratory-based responses to stress in children with recurrent pain and anxiety. Journal of Pediatric Psychology, 36(1), 95–105.

    Article  PubMed  Google Scholar 

  • First, M. B., Spitzer, R. L., Gibbon, M., & Williams, J. B. W. (2001). Structured clinical interview for DSM–IV–TR axis I disorders, research version, patient ed. (SCIDI/P). New York, NY: Biometrics Research, New York State Psychiatric Institute.

    Google Scholar 

  • Foland-Ross, L. C., Kircanski, K., & Gotlib, I. (2014). Coping with having a depressed mother: the role of stress and coping in the hypothalamic-pituitary-adrenal axis dysfunction in girls at familial risk for major depression. Development and Psychopathology, 26, 1401–1409.

    Article  PubMed  Google Scholar 

  • Garber, J., Clarke, G. N., Weersing, V. R., Beardslee, W. R., Brent, D. A., Gladstone, T. R., & Iyengar, S. (2009). Prevention of depression in at-risk adolescents: a randomized controlled trial. Journal of the American Medical Association, 301, 2215–2224.

    Article  PubMed  Google Scholar 

  • Goodman, S. H., & Gotlib, I. H. (1999). Risk for psychopathology in the children of depressed mothers: a developmental model for understanding mechanisms of transmission. Psychological Review, 106(3), 458.

    Article  PubMed  Google Scholar 

  • Goodman, S. H., Rouse, M. H., Connell, A. M., Broth, M. R., Hall, C. M., & Heyward, D. (2011). Maternal depression and child psychopathology: a meta-analytic review. Clinical Child and Family Psychology Review, 14, 1–27.

    Article  PubMed  PubMed Central  Google Scholar 

  • Harris, P. A., Taylor, R., Thielke, R., Payne, J., Gonzalez, N., & Conde, J. C. (2009). Research electronic data capture (REDCap): a metadata-driven methodology and workflow process for providing translational research informatics support. Journal of Biomedical Informatics, 42(2), 311–381.

    Article  Google Scholar 

  • Hayes, A. F. (2013). An introduction to mediation, moderation, and conditional process analysis: a regression-based approach. New York, NY: Guilford Press.

    Google Scholar 

  • Jaser, S. S., Fear, J. M., Reeslund, K. L., Champion, J. E., Reising, M. M., & Compas, B. E. (2008). Maternal sadness and adolescents’ responses to stress in offspring of mothers with and without a history of depression. Journal of Clinical Child and Adolescent Psychology, 37(4), 736–746.

    Article  PubMed  PubMed Central  Google Scholar 

  • Jaser, S. S., Langrock, A. M., Keller, G., Merchant, M. J., Benson, M., Reeslund, K., & Compas, B. E. (2005). Coping with the stress of parental depression II: adolescent and parent reports of coping and adjustment. Journal of Clinical Child and Adolescent Psychology, 34, 193–205.

    Article  PubMed  Google Scholar 

  • Kessler, R. C., Berglund, P., Demler, O., Jin, R., Koretz, D., Merikangas, K. R., & Wang, P. S. (2003). The epidemiology of major depressive disorder. Results from the National Comorbidity Survey Replication (NCS-R). Journal of the American Medical Association, 289(23), 3095–3105.

    Article  PubMed  Google Scholar 

  • Langrock, A. M., Compas, B. E., Keller, G., Merchant, M. J., & Copeland, M. E. (2002). Coping with the stress of parental depression: Parents’ reports of children’s coping, emotional, and behavioral problems. Journal of Clinical Child and Adolescent Psychology, 31(3), 312–324.

    Article  PubMed  Google Scholar 

  • Lovejoy, M. C., Graczyk, P. A., O’Hare, E., & Neuman, G. (2000). Maternal depression and parenting behavior: a meta-analytic review. Clinical Psychology Review, 20(5), 561–592.

    Article  PubMed  PubMed Central  Google Scholar 

  • National Research Council and Institute of Medicine. (2009). Depression in parents, parenting, and children: opportunities to improve identification, treatment and prevention. Washington, DC: The National Academies.

    Google Scholar 

  • Obradovic, J. (2012). How can the study of physiological reactivity contribute to our understanding of adversity and resilience processes in development? Development of Psychopathology, 24, 371–387.

    Article  Google Scholar 

  • O’Connor, E. E., Langer, D. A., & Tompson, M. C. (2017). Maternal depression and youth internalizing and externalizing symptomatology: severity and chronicity of past maternal depression and current maternal depressive symptoms. Journal of Abnormal Child Psychology, 45(3), 557–568.

    Article  PubMed  PubMed Central  Google Scholar 

  • Owens, S. A., Helms, S. W., Rudolph, K. D., Hastings, P. D., Nock, M. K., & Prinstein, M. J. (2018). Interpersonal Stress Severity Longitudinally predicts adolescent girls’ depressive symptoms: the moderating role of subjective and HPA axis stress responses. Journal of Abnormal Child Psychology, 47(5), 895–905.

    Article  Google Scholar 

  • Rabiner, D. L., Lenhart, L., & Lochman, J. E. (1990). Automatic versus reflective social problem solving in relation to children’s sociometric status. Developmental Psychology, 26(6), 1010–1016.

    Article  Google Scholar 

  • Steer, R. A., Brown, G. K., Beck, A. T., & Sanderson, W. C. (2001). Mean Beck Depression Inventory–II scores by severity of major depressive disorder. Psychological Reports, 88, 1075–1076.

    PubMed  PubMed Central  Google Scholar 

  • Sun, J., Liu, Y., Chen, E. E., Rao, N., & Liu, H. (2016). Factors related to parents’ engagement in cognitive and socio-emotional caregiving in developing countries: results from Multiple Indicator Cluster Survey 3. Early Childhood Research Quarterly, 36, 21–31.

    Article  Google Scholar 

  • Wadsworth, M. E., Bendezú, J. J., Loughlin-Presnal, Ahlkvist, J. A., Tilghman-Osborne, E. M., Bianco, H., ... & Hurwich-Reiss, E. (2018). Unlocking the black box: a multi-level analysis of children’s coping. Journal of Child Clinical and Adolescent Psychology, 47(4), 527–541.

  • Wadsworth, M. E., & Compas, B. E. (2002). Coping with family conflict and economic strain: the adolescent perspective. Journal of Research on Adolescence, 12(2), 243–274.

    Article  Google Scholar 

  • Wadsworth, M. E., Raviv, T., Compas, B. E., & Connor-Smith, J. K. (2005). Parent and adolescent responses to poverty-related stress: tests of mediated and moderated coping models. Journal of Child and Family Studies, 14, 285–300.

    Article  Google Scholar 

  • Weersing, V. R., Shamseddeen, W., Garber, J., Hollon, S. D., Clarke, G. N., Beardslee, W. R., & Brent, D. A. (2016). Prevention of depression in at-risk adolescents: predictors and moderators of acute effects. Journal of the American Academy of Child and Adolescent Psychiatry, 55(33), 219–226.

    Article  PubMed  PubMed Central  Google Scholar 

  • Weissman, M. M., Wickramaratne, P., Nomura, Y., Warner, V., Pilowsky, D., & Verdeli, H. (2006). Offspring of depressed parents: 20 years later. American Journal of Psychiatry, 163, 1001–1008.

    Article  PubMed  Google Scholar 

  • Wolff, B. C., Santiago, C. D., & Wadsworth, M. E. (2009). Poverty and involuntary engagement stress responses: examining the link to anxiety and aggression within low-income families. Anxiety, Stress, & Coping, 22, 309–325.

    Article  Google Scholar 

Download references

Authors’ Contributions

A.V. conducted all data analyses and was the lead author in writing the paper; A.H.B. collaborated with the writing of the manuscript; MR helped design and execute the study; J.P.D. helped design and execute the study; K.H.W. helped design and execute the study; M.A.G. helped design and execute the study; B.E.C. designed and executed the study, assisted with the data analyses and in the writing and editing of the study. All authors read and approved the final manuscript.

Funding

This research was supported by a gift from Patricia and Rodes Hart and from an anonymous donor.

Data Sharing and Declaration

This manuscript’s data will not be deposited.

Author information

Affiliations

Authors

Corresponding author

Correspondence to Allison Vreeland.

Ethics declarations

Conflict of Interest

The authors declare that they have no conflict of interest.

Ethical Approval

All procedures performed in studies involving human participants were in accordance with the ethical standards of the Vanderbilt University institutional review board and the national research committee and with the 1964 Helsinki declaration and its later amendments of comparable ethical standards.

Informed Consent

Informed consent was obtained from all individual participants included in the study.

Additional information

Publisher’s note: Springer Nature remains neutral with regard to jurisdictional claims in published maps and institutional affiliations.

Rights and permissions

Reprints and Permissions

About this article

Verify currency and authenticity via CrossMark

Cite this article

Vreeland, A., Bettis, A.H., Reising, M.M. et al. Coping and Stress Reactivity as Moderators of Maternal Depressive Symptoms and Youth’s Internalizing and Externalizing Symptoms. J Youth Adolescence 48, 1580–1591 (2019). https://doi.org/10.1007/s10964-019-01033-y

Download citation

  • Received:

  • Accepted:

  • Published:

  • Issue Date:

  • DOI: https://doi.org/10.1007/s10964-019-01033-y

Keywords

  • Coping
  • Stress reactivity
  • Maternal depression