Skip to main content

How is Anxiety Involved in the Longitudinal Relationship between Brooding Rumination and Depressive Symptoms in Adolescents?

Abstract

A growing body of research supports the application of Response Styles Theory to adolescent populations. Although the essential dynamic, namely that rumination increases the incidence of depressive symptoms, has been demonstrated among adolescents, a number of important empirical questions remain, such as: what are the gender differences and developmental trends for brooding and reflective rumination?; does a reciprocal relationship exist between brooding or reflective rumination, on the one hand, and depressive symptoms and anxiety, on the other hand, over time? and how do additional variables (i.e., anxiety) impact upon the rumination-depressive symptoms relationship? In this study, self-reported levels of rumination (both brooding and reflective), and anxious and depressive symptoms were measured longitudinally across 4 months in a sample of 976 community adolescents (46 % females), aged 11–16 years old. Mean group differences showed that female adolescents reported engaging in more brooding rumination than male adolescents beginning at 13 years of age. A reciprocal brooding rumination to depressive symptoms relationship and a reciprocal brooding rumination to anxiety relationship were found over time, and they did not differ for boys and girls. We tested the possibility that anxious symptoms would function as a third variable, but the obtained model showed that brooding rumination and anxiety both contributed unique variance in predicting changes in depressive symptoms over time.

This is a preview of subscription content, access via your institution.

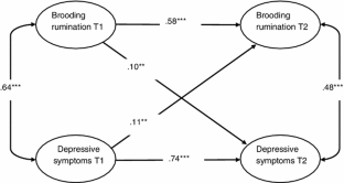
Fig. 1
Fig. 2
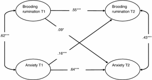
Fig. 3
Fig. 4
Fig. 5
Fig. 6

References

  • Abela, J. R. Z., Brozina, K., & Haigh, E. P. (2002). An examination of response styles theory of depression in third- and seventh-grade children: A short-term longitudinal study. Journal of Abnormal Child Psychology, 30, 515–527.

    PubMed  Article  Google Scholar 

  • Abela, J. R. Z., & Hankin, B. L. (2011). Rumination as a vulnerability factor to depression during the transition from early to middle adolescence: A multiwave longitudinal study. Journal of Abnormal Psychology, 120, 259–271. doi:10.1037/a0022796.

    PubMed  Article  Google Scholar 

  • Beck, A. T., Brown, G., Epstein, N., & Steer, R. A. (1988). An inventory for measuring clinical anxiety: Psychometric properties. Journal of Consulting and Clinical Psychology, 56, 893–897.

    PubMed  Article  Google Scholar 

  • Beck, A. T., Steer, R. A., & Brown, G. K. (1996). Manual for the beck depression inventory-II. San Antonio, TX: Psychological Corporation.

    Google Scholar 

  • Broderick, P. C. (1998). Early adolescent gender differences in the use of ruminative and distracting coping strategies. Journal of Early Adolescence, 18, 173–191.

    Article  Google Scholar 

  • Broderick, P. C., & Korteland, C. (2002). Coping style and depression in early adolescence: Relationships to gender, gender-role, and implicit beliefs. Sex Roles, 46, 201–213.

    Article  Google Scholar 

  • Brown, I. K. (2003). The development of rumination in New Zealand adolescents: Is rumination a maladaptive coping strategy? Wellington: Victoria University of Wellington (Unpublished master’s thesis).

  • Burwell, R. A., & Shirk, S. R. (2007). Subtypes of rumination in adolescence: Associations between brooding, reflection, depressive symptoms, and coping. Journal of Clinical Child and Adolescent Psychology, 36, 56–65. doi:10.1080/15374410709336568.

    PubMed  Google Scholar 

  • Butler, L. D., & Nolen-Hoeksema, S. (1994). Gender differences in response to depressed mood in a college sample. Sex Roles, 30, 331–346.

    Article  Google Scholar 

  • Garnefski, N., Teerds, J., Kraaij, V., Legerstee, J., & Van den Kommer, T. (2004). Cognitive emotion regulation strategies and depressive symptoms: Differences between males and females. Personality and Individual Differences, 36, 267–276.

    Article  Google Scholar 

  • Harrington, J. A., & Blankenship, V. (2002). Ruminative thoughts and their relation to depression and anxiety. Journal of Applied Social Psychology, 32, 465–485.

    Article  Google Scholar 

  • Harrington, R., Fudge, H., Rutter, M., Pickles, A., & Hill, J. (1991). Adult outcomes of childhood and adolescent depression: II. Links with antisocial disorders. Journal of the American Academy of Child and Adolescent Psychiatry, 30, 434–439.

    PubMed  Article  Google Scholar 

  • Hilt, L. M., McLaughlin, K. A., & Nolen-Hoeksema, S. (2010). Examination of the response styles theory in a community sample of young adolescents. Journal of Abnormal Child Psychology, 38, 545–556. doi:10.1007/s10802-009-9384-3.

    PubMed  Article  Google Scholar 

  • Hong, R. Y. (2007). Worry and rumination: Differential associations with anxious and depressive symptoms and coping behavior. Behaviour Research and Therapy, 45, 277–290.

    PubMed  Article  Google Scholar 

  • Jose, P. E. (2013). Doing statistical mediation and moderation. New York: Guilford Press.

    Google Scholar 

  • Jose, P. E., & Brown, I. (2008). When does the gender difference in rumination begin? Gender and age differences in the use of rumination by early adolescents. Journal of Youth and Adolescence, 37(2), 180–192.

    Article  Google Scholar 

  • Just, N., & Alloy, L. B. (1997). The response styles theory of depression: Tests and an extension of the theory. Journal of Abnormal Psychology, 106, 221–229.

    PubMed  Article  Google Scholar 

  • Kovacs, M. (1985). The children’s depression inventory (CDI). Psychopharmacology (Berl), 21, 995–998.

    Google Scholar 

  • Kovacs, M. (1992). Children’s depression inventory manual. New York: Multi-Health Systems Inc.

    Google Scholar 

  • MacKinnon, D. P. (2008). Introduction to statistical mediation analysis. New York: Lawrence Erlbaum and Associates.

    Google Scholar 

  • Mezulis, A., Simonson, J., McCauley, E., & Stoep, A. V. (2011). The association between temperament and depressive symptoms in adolescence: Brooding and reflection as potential mediators. Cognition and Emotion, 25(8), 1460–1470. doi:10.1080/02699931.2010.543642.

    PubMed  Article  Google Scholar 

  • Muris, P., Roelofs, J., Meesters, C., & Boomsma, P. (2004). Rumination and worry in nonclinical adolescents. Cognitive Therapy and Research, 28, 539–554.

    Article  Google Scholar 

  • Nolen-Hoeksema, S. (1987). Sex differences in unipolar depression: Evidence and theory. Psychological Bulletin, 101, 259–282.

    PubMed  Article  Google Scholar 

  • Nolen-Hoeksema, S. (1991). Responses to depression and their effects on the duration of depressive episodes. Journal of Abnormal Psychology, 100, 569–582.

    PubMed  Article  Google Scholar 

  • Nolen-Hoeksema, S. (1994). An interactive model for the emergence of gender differences in depression in adolescence. Journal of Research on Adolescence, 4, 519–534.

    Article  Google Scholar 

  • Nolen-Hoeksema, S. (2000). The role of rumination in depressive disorders and mixed anxiety/depressive symptoms. Journal of Abnormal Psychology, 109, 504–511.

    PubMed  Article  Google Scholar 

  • Nolen-Hoeksema, S., & Girgus, J. S. (1994). The emergence of gender differences in depression during adolescence. Psychological Bulletin, 115, 424–443.

    PubMed  Article  Google Scholar 

  • Nolen-Hoeksema, S., Morrow, J., & Fredrickson, B. L. (1993). Response styles and the duration of episodes of depressed mood. Journal of Abnormal Psychology, 102, 20–28.

    PubMed  Article  Google Scholar 

  • Nolen-Hoekema, S., Parker, L. E., & Larson, J. (1994). Ruminative coping with depressed mood following loss. Journal of Personality and Social Psychology, 67, 92–104.

    Google Scholar 

  • Nolen-Hoeksema, S., Stice, E., Wade, E., & Bohon, C. (2007). Reciprocal relations between rumination and bulimic, substance abuse, and depressive symptoms in female adolescents. Journal of Abnormal Psychology, 116, 198–207.

    PubMed  Article  Google Scholar 

  • Nolen-Hoeksema, S., Wisco, B. E., & Lyubomirsky, S. (2008). Rethinking rumination. Perspectives on Psychological Science, 3, 400–424. doi:10.1111/j.1745-6924.2008.00088.x.

    Article  Google Scholar 

  • Roseman, I. J., Antoniou, A. A., & Jose, P. E. (1996). Appraisal determinants of emotions: Constructing a more accurate and comprehensive theory. Cognition and Emotion, 10, 241–277.

    Article  Google Scholar 

  • Saylor, C. F., Finch, A. J., Jr, Spirito, A., & Bennet, B. (1984). The children’s depression inventory: A systematic evaluation of psychometric properties. Journal of Consulting and Clinical Psychology, 52, 955–967.

    PubMed  Article  Google Scholar 

  • Schwartz, J. A. J., & Koenig, L. J. (1996). Response styles and negative affect among adolescents. Cognitive Therapy and Research, 20, 13–36.

    Article  Google Scholar 

  • Segerstrom, S. C., Tsao, J. C. I., Alden, L. E., & Craske, M. G. (2000). Worry and rumination: Repetitive thought as a concomitant and predictor of negative mood. Cognitive Therapy and Research, 24, 671–688.

    Article  Google Scholar 

  • Thomsen, D. K. (2006). The association between rumination and negative affect: A review. Cognition and Emotion, 20, 1216–1235.

    Article  Google Scholar 

  • Treynor, W., Gonzalez, R., & Nolen-Hoeksema, S. (2003). Rumination reconsidered: A psychometric analysis. Cognitive Therapy and Research, 27, 247–259.

    Article  Google Scholar 

  • Twenge, J. M., & Nolen-Hoeksema, S. (2002). Age, gender, race, socioeconomic status, and birth cohort differences on the children’s depression inventory: A meta-analysis. Journal of Abnormal Psychology, 111, 578–588.

    PubMed  Article  Google Scholar 

  • Verstraeten, K., Vasey, M. W., Raes, F., & Bijttebier, P. (2010). Brooding and reflection as components of rumination in late childhood. Personality and Individual Differences, 48(4), 367–372. doi:10.1016/j.paid.2009.11.001.

    Article  Google Scholar 

  • Weir, K., & Jose, P. E. (2008). A comparison of the response styles theory and the hopelessness theory of depression in preadolescents. Journal of Early Adolescence, 28(3), 356–374.

    Article  Google Scholar 

  • Willem, L., Bijttebier, P., Claes, L., & Raes, F. (2011). Rumination subtypes in relation to problematic substance use in adolescence. Personality and Individual Differences, 50(5), 695–699. doi:10.1016/j.paid.2010.12.020.

    Article  Google Scholar 

  • Ziegert, D. I., & Kistner, J. A. (2002). Response styles theory: Downward extension to children. Journal of Clinical Child and Adolescent Psychology, 31, 325–334.

    PubMed  Google Scholar 

Download references

Acknowledgments

We would like to thank both the schools and children who participated in this research. We would also like to thank the School of Psychology and the Science Faculty from Victoria University for financial support.

Author Contributions

P.J. and K.W. conceived and designed the study; K.W. collected, coded, and cleaned the data; both P.J. and K.W. analyzed the data; K.W. drafted the manuscript, both K.W. and P.J. contributed to writing the manuscript, and P.J. wrote the final versions. Both authors read and approved the final manuscript.

Author information

Affiliations

Authors

Corresponding author

Correspondence to Paul E. Jose.

Rights and permissions

Reprints and Permissions

About this article

Cite this article

Jose, P.E., Weir, K.F. How is Anxiety Involved in the Longitudinal Relationship between Brooding Rumination and Depressive Symptoms in Adolescents?. J Youth Adolescence 42, 1210–1222 (2013). https://doi.org/10.1007/s10964-012-9891-3

Download citation

  • Received:

  • Accepted:

  • Published:

  • Issue Date:

  • DOI: https://doi.org/10.1007/s10964-012-9891-3

Keywords

  • Rumination
  • Depressive symptoms
  • Anxiety
  • Adolescence
  • Longitudinal