Abstract
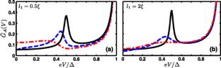
The Andreev current and the subgap conductance in a superconductor/insulator/ferromagnet (SIF) structure in the presence of a small spin-splitting field show novel interesting features (Ozaeta et al. in Phys. Rev. B 86:060509(R), 2012). For example, the Andreev current at zero temperature can be enhanced by a spin-splitting field h, smaller than the superconducting gap Δ, as has been recently reported by the authors. Also at finite temperatures, the Andreev current has a peak for values of the spin-splitting field close to the superconducting gap, h≈Δ. Finally, the differential subgap conductance at low temperatures shows a peak at the bias voltage eV=h. In this paper, we investigate the Andreev current and the subgap conductance in SFF structures with arbitrary direction of magnetization of the F layers. We show that all the aforementioned features occur now at the value of the “effective field”, which is the field acting on the Cooper pairs in the multi-domain ferromagnetic region, averaged over the decay length of the superconducting condensate into a ferromagnet. We also briefly discuss the heat transport and electron cooling in the considered structures.




Similar content being viewed by others
References
Ozaeta, A., Vasenko, A.S., Hekking, F.W.J., Bergeret, F.S.: Phys. Rev. B 86, 060509(R) (2012)
Golubov, A.A., Kupriyanov, M.Yu., Il’ichev, E.: Rev. Mod. Phys. 76, 411 (2004)
Buzdin, A.I.: Rev. Mod. Phys. 77, 935 (2005)
Bergeret, F.S., Volkov, A.F., Efetov, K.B.: Rev. Mod. Phys. 77, 1321 (2005)
Andreev, A.F.: Zh. Eksp. Teor. Fiz. 46, 1823 (1964); [Sov. Phys. JETP, 19, 1228 (1964)]
Saint-James, D.: J. Phys. (Paris) 25, 899 (1964)
Pannetier, B., Courtois, H.: J. Low Temp. Phys. 118, 599 (2000)
Kastalsky, A., Kleinsasser, A.W., Greene, L.H., Bhat, R., Milliken, F.P., Harbison, J.P.: Phys. Rev. Lett. 67, 3026 (1991)
van Wees, B.J., de Vries, P., Magnée, P., Klapwijk, T.M.: Phys. Rev. Lett. 69, 510 (1992)
Hekking, F.W.J., Nazarov, Yu.V.: Phys. Rev. Lett. 71, 1625 (1993)
Hekking, F.W.J., Nazarov, Yu.V.: Phys. Rev. B 49, 6847 (1994)
de Jong, M.J.M., Beenakker, C.W.J.: Phys. Rev. Lett. 74, 1657 (1995)
Leadbeater, M., Lambert, C.J., Nagaev, K.E., Raimondi, R., Volkov, A.F.: Phys. Rev. B 59, 12264 (1999)
Kontos, T., Aprili, M., Lesueur, J., Grison, X., Dumoulin, L.: Phys. Rev. Lett. 93, 137001 (2004)
Cottet, A.: Phys. Rev. Lett. 107, 177001 (2011)
Karminskaya, T.Yu., Golubov, A.A., Kupriyanov, M.Yu.: Phys. Rev. B 84, 064531 (2011)
Bergeret, F.S., Volkov, A.F., Efetov, K.B.: Phys. Rev. Lett. 86, 3140 (2001)
Usadel, K.D.: Phys. Rev. Lett. 25, 507 (1970)
Ivanov, D.A., Fominov, Ya.V.: Phys. Rev. B 73, 214524 (2006)
Arutyunov, K.Yu., Auraneva, H.-P., Vasenko, A.S.: Phys. Rev. B 83, 104509 (2011)
Bergeret, F.S., Volkov, A.F., Efetov, K.B.: Phys. Rev. B 66, 184403 (2002)
Kuprianov, M.Yu., Lukichev, V.F.: Zh. Eksp. Teor. Fiz. 94, 139 (1988); [Sov. Phys. JETP, 67, 1163 (1988)]
Bezuglyi, E.V., Vasenko, A.S., Shumeiko, V.S., Wendin, G.: Phys. Rev. B 72, 014501 (2005)
Bezuglyi, E.V., Vasenko, A.S., Bratus, E.N., Shumeiko, V.S., Wendin, G.: Phys. Rev. B 73, 220506(R) (2006)
Pekola, J.P., Maisi, V.F., Kafanov, S., Chekurov, N., Kemppinen, A., Pashkin, Yu.A., Saira, O.-P., Mottonen, M., Tsai, J.S.: Phys. Rev. Lett. 105, 026803 (2010)
Larkin, A.I., Ovchinnikov, Yu.N.: In: Langenberg, D.N., Larkin, A.I. (eds.) Nonequilibrium Superconductivity. Elsevier, Amsterdam (1986)
Belzig, W., Wilhelm, F.K., Bruder, C., Schön, G., Zaikin, A.D.: Superlattices Microstruct. 25, 1251 (1999)
Volkov, A.F., Zaitsev, A.V., Klapwijk, T.M.: Physica C 210, 21 (1993)
Vasenko, A.S., Bezuglyi, E.V., Courtois, H., Hekking, F.W.J.: Phys. Rev. B 81, 094513 (2010)
Bergeret, F.S., Volkov, A.F., Efetov, K.B.: Phys. Rev. Lett. 86, 4096 (2001)
Ozaeta, A., Vasenko, A.S., Hekking, F.W.J., Bergeret, F.S.: Phys. Rev. B 85, 174518 (2012)
Demler, E.A., Arnold, G.B., Beasley, M.R.: Phys. Rev. B 55, 15174 (1997)
Giazotto, F., Heikkilä, T.T., Luukanen, A., Savin, A.M., Pekola, J.P.: Rev. Mod. Phys. 78, 217 (2006)
Muhonen, J.T., Meschke, M., Pekola, J.P.: Rep. Prog. Phys. 75, 046501 (2012)
Vasenko, A.S., Hekking, F.W.J.: J. Low Temp. Phys. 154, 221 (2009)
Rajauria, S., Courtois, H., Pannetier, B.: Phys. Rev. B 80, 214521 (2009)
Pekola, J.P., Anghel, D.V., Suppula, T.I., Suoknuuti, J.K., Manninen, A.J., Manninen, M.: Appl. Phys. Lett. 76, 2782 (2000)
Golubev, D., Vasenko, A.: In: Pekola, J., Ruggiero, B., Silvestrini, P. (eds.) International Workshop on Superconducting Nano-Electronics Devices, p. 165. Kluwer Academic, Dordrecht (2002). arXiv:1204.2719
Rajauria, S., Gandit, P., Fournier, T., Hekking, F.W.J., Pannetier, B., Courtois, H.: Phys. Rev. Lett. 100, 207002 (2008)
Giazotto, F., Taddei, F., Fazio, R., Beltram, F.: Appl. Phys. Lett. 80, 3784 (2002)
Acknowledgements
This work was supported by the Spanish Ministry of Economy and Competition under Project FIS2011-28851-C02-02, the Basque Government under UPV/EHU Project IT-366- 07, the “Topological Quantum Phenomena” (No. 22103002) KAKENHI on Innovative Areas, a Grant-in-Aid for Scientific Research (No. 22710096) from MEXT of Japan, and JSPS Institutional Program for Young Researcher Overseas Visits. The work of A.O. was supported by the CSIC and the European Social Fund under JAE-Predoc program.
Author information
Authors and Affiliations
Corresponding author
Rights and permissions
About this article
Cite this article
Vasenko, A.S., Ozaeta, A., Kawabata, S. et al. Andreev Current and Subgap Conductance of Spin-Valve SFF Structures. J Supercond Nov Magn 26, 1951–1956 (2013). https://doi.org/10.1007/s10948-012-2044-9
Received:
Accepted:
Published:
Issue date:
DOI: https://doi.org/10.1007/s10948-012-2044-9


