Skip to main content

The Influence of Learning Style on English Learning Achievement Among Undergraduates in Mainland China

Abstract

Learning style is one of the main factors that determines how students learn English and has a significant influence on students’ learning strategy selection, which further affects their learning outcomes (Ehrman and Oxford in Mod Lang J 74(3):311–327, 1990; Oxford in Language learning styles and strategies: an overview, 2003. http://web.ntpu.edu.tw/~language/workshop/read2.pdf). This study examines the learning style preferences of Chinese university students and whether those preferences influence their English achievements. Four hundred undergraduates from one university in eastern mainland China participated in this study. Data from 329 valid questionnaires were analysed. The results revealed that the Chinese university students preferred the visual learning style the most, followed by the auditory and kinaesthetic styles. However, no learning style preference was found to influence the students’ English proficiency. Cultural reasons are discussed to explain the findings, which contradict those of previous studies of learning style theories and practices. This study recommends that Chinese scholars consider issues of English teaching and learning in China and to adopt appropriate teaching methods to effectively improve English teaching.

This is a preview of subscription content, access via your institution.

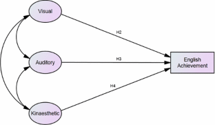
Fig. 1

References

  • Anderson, J. A., & Adams, M. (1992). Acknowledging the learning styles of diverse student populations: Implications for instructional design. In L. L. B. Border & N. V. N. Chism (Eds.), Teaching for diversity (pp. 19–34). San Francisco, CA: Jossey-Bass.

    Google Scholar 

  • Anderson, J. C., & Gerbing, D. W. (1988). Structural equation modeling in practice: A review and recommended two-step approach. Psychological Bulletin, 103, 411–423.

    Article  Google Scholar 

  • Bailey, P., Onwuegbuzie, A. J., & Daley, C. E. (2000). Using learning style to predict foreign language achievement at the college level. System, 28, 115–133.

    Article  Google Scholar 

  • Barmeyer, C. I. (2004). Learning styles and their impact on cross-cultural training: An international comparison in France, Germany, and Quebec. International Journal of Intercultural Relations, 28(6), 577–594. https://doi.org/10.1016/j.ijintrel.2005.01.011.

    Article  Google Scholar 

  • Beckner, C., Ellis, N. C., Blythe, R., Holland, J., Bybee, J., Ke, J., et al. (2009). Language is a complex adaptive system: Position paper. Language Learning, 59, 1–26.

    Article  Google Scholar 

  • Biggs, J. (1991). Approaches to learning in secondary and tertiary students in Hong Kong: Some comparative studies. Educational Research Journal, 6, 27–39.

    Google Scholar 

  • Biggs, J. B., & Tang, C. (2007). Teaching for quality learning at university (3rd ed.). Berkshire: Open University Press.

    Google Scholar 

  • Brislin, R. W. (1986). The wording and translation of research instruments. In W. Lonner & J. Berry (Eds.), Field methods in cross-cultural research (pp. 137–164). Beverly Hills, CA: Sage.

    Google Scholar 

  • Cagiltay, K., & Bichelmeyer, B. (2000). Differences in learning styles in different cultures: A qualitative study. Cognitive Style, 23, 1–23.

    Google Scholar 

  • Chen, M. L. (2009). Influence of grade level on perceptual learning style preferences and language learning strategies of Taiwanese English as a Foreign Language Learners. Learning and Individual Differences, 19, 304–308.

    Article  Google Scholar 

  • Cheng, H., & Guan, S. (2015). Unravelling the influence of cognitive style on Chinese students’ classroom behaviours: The mediating effects of the structure oriented/depth-oriented learning approach. Educational Psychology, 35(4), 497–512.

    Article  Google Scholar 

  • Cohen, A. D., Oxford, R. L., & Chi, J. C. (1995). Learning style survey: Assessing your own learning styles. Retrieved from http://pep.psd267.org/pluginfile.php/14423/mod_resource/content/1/LearningStylesSurvey.pdf.

  • Crystal, D. (1997). English as a global language. Cambridge: Cambridge University Press.

    Google Scholar 

  • Dale, E. (1969). Audio-visual methods in teaching (3rd ed.). New York, NY: Wiley.

    Google Scholar 

  • Dörnyei, Z. (2005). The psychology of the language learner: Individual differences in second language acquisition. Mahwah, NJ: Lawrence Erlbaum.

    Google Scholar 

  • Dörnyei, Z. (2009). Individual differences: Interplay of learner characteristics and learning environment. Language Learning, 59, 230–248.

    Article  Google Scholar 

  • Dunn, R. S., & Dunn, K. J. (1979). Learning styles/teaching styles: Should they… Can they… be matched? Educational Leadership, 36, 238–244.

    Google Scholar 

  • Ehrman, M. E. (1996). Understanding second language learning difficulties. Thousand Oaks, CA: Sage.

    Google Scholar 

  • Ehrman, M. E., Leaver, B. L., & Oxford, R. L. (2003). A brief overview of individual differences in second language learning 1. System, 31(3), 313–330.

    Article  Google Scholar 

  • Ehrman, M., & Oxford, R. (1989). Effects of sex differences, career choice, and psychological type on adults’ language learning strategies. Modern Language Journal, 73(1), 1–13.

    Article  Google Scholar 

  • Ehrman, M., & Oxford, R. (1990). Adult language learning styles and strategies in an intensive training setting. Modern Language Journal, 74(3), 311–327.

    Article  Google Scholar 

  • Ellis, R. (1994). The study of second language acquisition. Oxford: Oxford University Press.

    Google Scholar 

  • Ellis, R. (2008). The study of second language acquisition (2nd ed.). Oxford: Oxford University Press.

    Google Scholar 

  • Ellis, R. (2012). Language teaching research and language pedagogy. London: Wiley.

    Book  Google Scholar 

  • Fan, X., Miller, B. C., Park, K. E., Winward, B. W., Christensen, M., Grotevant, H. D., et al. (2006). An exploratory study about inaccuracy and invalidity in adolescent self-report surveys. Field Methods, 18(3), 223–244.

    Article  Google Scholar 

  • Ford, N., & Chen, S. Y. (2001). Matching/mismatching revisited: An empirical study of learning and teaching styles. British Journal of Educational Technology, 32(1), 5–22.

    Article  Google Scholar 

  • Gan, Z., Humphreys, G., & Hamp-Lyons, L. (2004). Understanding successful and unsuccessful EFL students in Chinese universities. Modern Language Journal, 88(2), 229–244. https://doi.org/10.1111/j.0026-7902.2004.00227.x.

    Article  Google Scholar 

  • Hair, J. F., Jr., Black, W. C., Babin, B. J., & Anderson, R. E. (2010). Multivariate data analysis (7th ed.). Upper Saddle River, NJ: Prentice Hall.

    Google Scholar 

  • Hatami, S. (2012). Learning styles. Elt Journal, 67(4), 488–490.

    Article  Google Scholar 

  • Hofstede, G. (1980). Culture’s consequences: International differences in work-related values. Beverly Hills, CA: Sage.

    Google Scholar 

  • Hu, L. T., & Bentler, P. M. (1999). Cutoff criteria for fit indexes in covariance structure analysis: Conventional criteria versus new alternatives. Structural Equation Modeling, 6(1), 1–55.

    Article  Google Scholar 

  • Hu, Z., & McGrath, I. (2011). Innovation in higher education in China: Are teachers ready to integrate ICT in English language teaching? Technology, Pedagogy and Education, 20(1), 41–59.

    Article  Google Scholar 

  • Huang, J., & Brown, K. (2009). Cultural factors affecting Chinese ESL students’ academic learning. Education, 129(4), 643–654.

    Google Scholar 

  • Jiang, N. (2002). Form-meaning mapping in vocabulary acquisition in a second language. Studies in Second Language Acquisition, 24, 617–637.

    Article  Google Scholar 

  • Jin, Y. (2006). Improving test validity and wash back: A study on CET-4 washback. Foreign Language World, 6, 67–75.

    Google Scholar 

  • Jin, Y., & Yang, H. Z. (2006). The English proficiency of college and university students in China: As reflected in the CET. Language, Culture and Curriculum, 19(1), 21–36.

    Article  Google Scholar 

  • Keefe, J. (1979). Learning style: An overview. In J. Keefe (Ed.), Student learning styles: Diagnosing and prescribing programs (pp. 1–17). Reston, VA: National Association of Secondary School Principals.

    Google Scholar 

  • Kim, T., & Kim, Y. (2014). A structural model for perceptual learning styles, the ideal L2 self, motivated behavior, and English proficiency. System, 46, 14–27. https://doi.org/10.1016/j.system.2014.07.007.

    Article  Google Scholar 

  • Kline, R. B. (2010). Principles and practice of structural equation modeling (3rd ed.). New York, NY: Guilford Press.

    Google Scholar 

  • Leite, W. L., Svinicki, M., & Shi, Y. (2010). Attempted validation of the scores of the vark: Learning styles inventory with multitrait–multimethod confirmatory factor analysis models. Educational and Psychological Measurement, 70(2), 323–339.

    Article  Google Scholar 

  • Li, D. (2005). Studies on learning style and foreign language teaching. Foreign Languages and Their Teaching, 10, 22–25.

    Google Scholar 

  • Li, L. (2014). Understanding language teachers’ practice with educational technology: A case from China. System, 46, 105–119.

    Article  Google Scholar 

  • Li, J., & Qin, X. Q. (2006). Language learning styles and strategies of tertiary-level English learners in China. RELC Journal, 37(1), 67–89.

    Article  Google Scholar 

  • Ma, Y. N., & Zhang, X. M. (2007). On the state of bilingual education in Chinese universities. Journal of Peking University (Philosophical Social Science Edition), 44(s2), 66–67.

    Google Scholar 

  • Mardia, K. V. (1970). Measures of multivariate skewness and kurtosis with applications. Biometrika, 57, 519–530.

    Article  Google Scholar 

  • Masgoret, A. M. (2003). Attitudes, motivation, and second language learning: A meta-analysis of studies conducted by gardner and associates. Language Learning, 53(S1), 167–210.

    Article  Google Scholar 

  • Melton, C. D. (1990). Bridging the cultural gap: A study of Chinese students’ learning style preferences. RELC Journal, 21(1), 29–54.

    Article  Google Scholar 

  • Naserieh, F., & Sarab, M. R. A. (2013). Perceptual learning style preferences among Iranian graduate students. System, 41(1), 122–133.

    Article  Google Scholar 

  • Oxford, R. L. (1993). Style analysis survey (SAS). Tuscaloosa, AL: University of Alabama.

    Google Scholar 

  • Oxford, R. L. (2003). Language learning styles and strategies: An overview. Retrieved November, 2015 from http://web.ntpu.edu.tw/~language/workshop/read2.pdf.

  • Oxford, R. L., & Anderson, N. (1995). A crosscultural view of learning styles. Language Teaching, 28(4), 201–215.

    Article  Google Scholar 

  • Oxford, R., & Ehrman, M. (1988). Psychological type and adult language learning strategies: A pilot study. Journal of Psychological Type, 16, 22–32.

    Google Scholar 

  • Oxford, R. L., & Ehrman, M. (1993). Second language research on individual differences. Annual Review of Applied Linguistics, 13, 188–205.

    Article  Google Scholar 

  • Oxford, R. L., Park-Oh, Y., Ito, S., & Sumrall, M. (1993). Japanese by satellite: Effects of motivation, language learning styles and strategies, gender, course level, and previous language learning experience on Japanese language achievement. Foreign Language Annals, 26, 359–371.

    Article  Google Scholar 

  • Oxford, R., & Shearin, J. (1994). Language learning motivation: Expanding the theoretical framework. The Modern Language Journal, 78(1), 12–28.

    Article  Google Scholar 

  • Pan, L., & Block, D. (2011). English as a “global language” in china: An investigation into learners’ and teachers’ language beliefs. System, 39(3), 391–402. https://doi.org/10.1016/j.system.2011.07.011.

    Article  Google Scholar 

  • Reid, J. M. (1984). Perceptual learning style preference questionnaire. In J. M. Reid (Ed.), Learning styles in the ESL/EFL classrooms (pp. 202–207). Beijing: Beijing Foreign Language and Teaching Press.

    Google Scholar 

  • Reid, J. M. (1987). The learning style preferences of ESL students. TESOL quarterly, 21(1), 87–111.

    Article  Google Scholar 

  • Reid, J. M. (1995). Learning styles in the ESL/EFL classroom. New York, NY: Heinle and Heinle.

    Google Scholar 

  • Riding, R. (2001). Nature and effects of cognitive style. In R. Sternberg & L.-F. Zhang (Eds.), Perspectives on thinking, learning, and cognitive styles (pp. 47–72). Mahwah, NJ: Lawrence Erlbaum.

    Google Scholar 

  • Sadeghi, N., Kasim, Z. M., Tan, B. H., & Abdullah, F. S. (2012). Learning styles, personality types and reading comprehension performance. English Language Teaching, 5(4), 116–123.

    Article  Google Scholar 

  • Sahragard, R., Khajavi, Y., & Abbasian, R. (2016). Field of study, learning styles, and language learning strategies of university students: Are there any relations? Innovation in Language Learning and Teaching, 10(3), 255–271. https://doi.org/10.1080/17501229.2014.976225.

    Article  Google Scholar 

  • Schumacker, R. E., & Lomax, R. G. (2010). A beginner’s guide to structural equation modeling. New York, NY: Routledge.

    Google Scholar 

  • Scott, C. (2010). The enduring appeal of learning styles. Australian Journal of Education, 54(1), 5–17.

    Article  Google Scholar 

  • Sternberg, R. J., Grigorenko, E. L., & Zhang, L. F. (2008). Styles of learning and thinking matter in instruction and assessment. Perspectives on Psychological Science, 3(6), 486–506.

    Article  Google Scholar 

  • Sternberg, R., & Zhang, L.-F. (Eds.). (2001). Perspectives on thinking, learning, and cognitive styles. Mahwah, NJ: Lawrence Erlbaum.

    Google Scholar 

  • Sun, P. P., & Teng, L. S. (2017). Profiling perceptual learning styles of Chinese as a second language learners in university settings. Journal of Psycholinguistic Research, 46, 1529–1548.

    Article  Google Scholar 

  • Tabatabaei, O., & Mashayekhi, S. (2013). The relationship between EFL Learners’ learning styles and their L2 Achievement. Procedia-Social and Behavioral Sciences, 70, 245–253.

    Article  Google Scholar 

  • Taylor, J. (2002). China’s English language push. [Online]. ABC News Online. http://www.abc.net.au/correspondents/s717371.htm. Last accessed November 3, 2015.

  • Teo, T., & Fan, X. (2013). Coefficient alpha and beyond: Issues and alternatives for educational research. The Asia-Pacific Education Researcher, 22(2), 209–213.

    Article  Google Scholar 

  • Wang, C. M. (1992). A study of English major students’ language styles in China. In S. C. Gui (Ed.), The psychology of Chinese learners of English (pp. 72–89). Changsha: Hunan Education Press. (Chinese version).

    Google Scholar 

  • Wang, S. R., & Wang, H. X. (2011). On the state of college English teaching in China and its future development. The Journal of Foreign Languages in China, 8(5), 4–11.

    Google Scholar 

  • Wehrwein, E. A., Lujan, H. L., & DiCarlo, S. E. (2007). Gender differences in learning style preferences among undergraduate physiology students. Advances in Physiology Education, 31(2), 153–157. https://doi.org/10.1152/advan.00060.2006.

    Article  PubMed  Google Scholar 

  • Westman, A. S. (1993). Learning styles are content specific and probably influenced by content areas studied. Psychological Reports, 73(2), 512–514.

    Article  Google Scholar 

  • Wintergerst, A. C., DeCapua, A., & Itzen, R. C. (2001). The construct validity of one learning styles instrument. System, 29(3), 385–403.

    Article  Google Scholar 

  • Wintergerst, A. C., DeCapua, A., & Verna, M. A. (2003). Conceptualizing learning style modalities for ESL/EFL students. System, 31(1), 85–106.

    Article  Google Scholar 

  • Wong, L. L. C., & Nunan, D. (2011). The learning styles and strategies of effective language learners. System, 39(2), 144–163. https://doi.org/10.1016/j.system.2011.05.004.

    Article  Google Scholar 

  • Wu, L. L., & Wang, F. (2009). Study on influence of learning styles of college students of science and engineering on teaching strategies. Foreign Language World, 5(134), 50–59.

    Google Scholar 

  • Xu, X., & Yu, W. (2012). Study on Chinese non-English majors’ English learning styles. Education Exploration, 3(249), 50–51.

    Google Scholar 

  • Yu, X. L. (1997). Study on English learning styles of Chinese undergraduate English majors. Foreign Language Teaching and Research, 1, 59–65.

    Google Scholar 

  • Zhang, H. L. (2007). Intercultural approach to foreign language teaching. Shanghai: Shanghai Foreign Language Education Press.

    Google Scholar 

  • Zhang, J., & Evans, M. S. (2013). An empirical study on the multidimensional learning styles of Chinese EFL students. International Proceedings of Economic Development and Research, 68, 61–69.

    Google Scholar 

  • Zheng, Y., & Cheng, L. (2008). Test review: College English test (CET) in China. Language Testing, 25, 204–217. https://doi.org/10.1177/0265532208092433.

    Article  Google Scholar 

  • Zhou, M. (2011). Learning styles and teaching styles in College English Teaching. International Education Studies, 4(1), 73–77.

    Article  Google Scholar 

  • Zhu, C. (2013). Students’ and teachers’ thinking styles and preferred teacher interpersonal behavior. Journal of Educational Research, 106(5), 399–407. https://doi.org/10.1080/00220671.2012.736431.

    Article  Google Scholar 

  • Zhu, C. (2015). Organisational culture and technology-enhanced innovation in higher education. Technology, Pedagogy and Education, 24(1), 65–79.

    Article  Google Scholar 

  • Zhu, C., Valcke, M., & Schellens, T. (2010). A cross-cultural study of teacher perspectives on teacher roles and adoption of online collaborative learning in higher education. European Journal of Teacher Education, 33(2), 147–165.

    Article  Google Scholar 

Download references

Author information

Affiliations

Authors

Corresponding author

Correspondence to Cathy Ka Weng Hoi.

Ethics declarations

Conflict of interest

The authors declare that they have no conflict of interest.

Rights and permissions

Reprints and Permissions

About this article

Verify currency and authenticity via CrossMark

Cite this article

Huang, F., Hoi, C.K.W. & Teo, T. The Influence of Learning Style on English Learning Achievement Among Undergraduates in Mainland China. J Psycholinguist Res 47, 1069–1084 (2018). https://doi.org/10.1007/s10936-018-9578-3

Download citation

  • Published:

  • Issue Date:

  • DOI: https://doi.org/10.1007/s10936-018-9578-3

Keywords

  • Learning style
  • English achievement
  • Chinese undergraduates
  • Culture