Skip to main content

Coupled solutions of one- and two-compartment pharmacokinetic models with first-order absorption

Abstract

This work emphasizes the importance of the fact, that plasma concentration profiles of one- and two-compartment linear pharmacokinetic (PK) models with first-order absorption introduce an uncertainty in data interpretation. PK-curve fitting results in a pair of valid solutions (coupled solutions), for which the derived PK parameters (such as AUC, MRT, Cmax, tmax, initial and terminal slope) are identical. Therefore, to make a proper choice of PK parameters of the drug in question, more information has to be considered, for example, which one of the solutions is more correlated with corresponding data, observed after iv administration. Comparison of different types of PK models and discussion on the transitions between the coupled solutions was carried out using a novel symbolic notation to provide more clarity and to simplify parameter indexing. Presented results were obtained by combined means of the method of statistic moments, Laplace transform and illustrated by the numerical experiment.

This is a preview of subscription content, access via your institution.

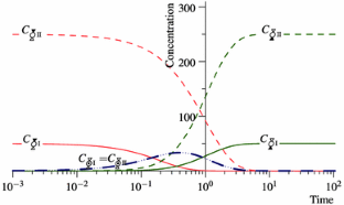
Fig. 1
Fig. 2
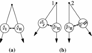
Fig. 3

Notes

  1. It is worth to note that for all three sets the value of k 21i remains the same.

References

  1. Purves RD (1996) Multiple solutions, illegal parameter values, local minima of the sum of squares, and anomalous parameter estimates in least-squares fitting of the two-compartment pharmacokinetic model with absorption. J Pharmacokinet Biopharm 24:79–101

    PubMed  Article  CAS  Google Scholar 

  2. Ilyin A, Kabanikhin SI, Nurseitov DB, Nurseitova AT, Asmanova NA, Voronov DA, Bakytov D (2012) Analysis of ill-posedness and numerical methods of solving a nonlinear inverse problem in pharmacokinetics for the two-compartmental model with extravascular drug administration. J Inverse Ill-Pose Problems 20:39–64

    Google Scholar 

  3. Garrett ER (1993) Simplified methods for the evaluation of the parameters of the time course of plasma concentration in the one-compartment body model with first-order invasion and first-order drug elimination including methods for ascertaining when such rate constants are equal. J Pharmacokinet Biopharm 21:689–734

    PubMed  Article  CAS  Google Scholar 

  4. Bialer M (1980) A simple method for determining whether absorption and elimination rate constants are equal in the one-compartment open model with first-order processes. J Pharmacokinet Biopharm 8:111–113

    PubMed  Article  CAS  Google Scholar 

  5. Yáñez J, Remsberg CM, Sayre CL, Forrest ML, Davies NM (2011) Flip-flop pharmacokinetics—delivering a reversal of disposition: challenges and opportunities during drug development. Ther Deliv 2:643–672

    PubMed  Article  Google Scholar 

  6. Byron PR, Notari RE (1976) Critical analysis of “flip-flop” phenomenon in two-compartment pharmacokinetic model. J Pharm Sci 65:1140–1144

    PubMed  Article  CAS  Google Scholar 

  7. Dolusio JT, Lapiana JC, Dittert LW (1971) Pharmacokinetics of ampicillin trihydrate, sodium ampicillin and sodium dicloxacillin following intramuscular injection. J Pharm Sci 60:715–719

    Article  Google Scholar 

  8. Boxenbaum H (1998) Pharmacokinetics tricks and traps: flip-flop models. J Pharm Sci 1:90–91

    CAS  Google Scholar 

  9. Zornoza T, Cano-Cebrian MJ, Hipolito L, Granero L, Polache A (2006) Evidence of flip-flop phenomenon in acamprosate pharmacokinetics: an in vivo study in rats. Biopharm Drug Dispos 27:305–311

    PubMed  Article  CAS  Google Scholar 

  10. Liang E, Derendorf H (1998) Pitfalls in pharmacokinetic multicompartment analysis. J Pharmacokinet Biopharm 26:247–260

    PubMed  Article  CAS  Google Scholar 

  11. Yamaoka K, Nakagawa T, Uno T (1978) Statistical moments in pharmacokinetics. J Pharmacokinet Biopharm 6:547–558

    PubMed  Article  CAS  Google Scholar 

  12. Rescigno A (1997) Fundamental concepts in pharmacokinetics. Pharm Res 35:363–390

    Article  CAS  Google Scholar 

  13. Laurin J, Nekka F, Donati F, Varin F (1999) Assuming peripheral elimination: its impact on the estimation of pharmacokinetic parameters of muscle relaxants. J Pharmacokinet Biopharm 27:491–512

    PubMed  Article  CAS  Google Scholar 

  14. Gibaldi M, Perrier D (2007) Pharmacokinetics, 2nd edn. Informa Healthcare, New York, p 83

    Google Scholar 

  15. Chan KKH, Gibaldi M (1984) Evaluating drug absorption after oral administration. some problems and some solutions. Eur J Clin Pharmacol 26:255–259

    PubMed  Article  CAS  Google Scholar 

  16. Rescigno A (2003) Foundations of pharmacokinetics. Kluwer/Plenum, New York, p 90

    Google Scholar 

  17. Jambhekar SS, Breen PJ (2012) Basic pharmacokinetics, 2nd edn. Pharmaceutical Press, Chicago, p 126

    Google Scholar 

  18. Bonate PL (2006) Pharmacokinetic–pharmacodynamic modelling and simulation. Springer, New York

    Google Scholar 

  19. Shargel L, Wu-Pong S, Yu ABC (2005) Applied biopharmaceutics & pharmacokinetics, 5th edn. McGraw-Hill, New Baskerville, p 277

    Google Scholar 

  20. Rescigno A, Powers JD (1998) AUC and C max are not sufficient to prove bioequivalence. Pharm Res 37:93–95

    Article  CAS  Google Scholar 

  21. Murata K, Kohno K (1989) Estimation problem due to multiple solutions in pharmacokinetic curve fitting to two-compartment model and its avoidance. Biopharm Drug Dispos 10:15–24

    PubMed  Article  CAS  Google Scholar 

Download references

Acknowledgments

The authors would like to thank the reviewers for useful constructive comments and suggestions, that helped to greatly improve the quality of this paper.

Author information

Affiliations

Authors

Corresponding author

Correspondence to G. Koloskov.

Appendices

Appendix 1: Analysis of the two-compartment model with first-order absorption

Since this is the most complex model compared with the other three previously discussed models, the number of solutions to its main Eq. (22) is analysed slightly differently. It was found that the standard Laplace transform

$$ Z_n=\int\limits_0^{\infty} {e^{-nt} C(t)\hbox{d}t} $$
(45)

simplifies the analysis in this case, therefore values Z n are used here instead of previously used moments S n Eq. (4).

For the model in question we have

$$ Z_0=\frac{C_0}{k_{10}}, $$
(46)
$$ Z_n=C_0\frac{k_{\rm a}(k_{21}+n)}{(k_{\rm a}+n)(\alpha+n)(\beta+n)}. $$
(47)

In this paper we are going to demonstrate that the exponential rate constants of Eq. (22) can be explicitly defined in terms of the roots of cubic equation.

Considering a symmetric form Eq. (21) of the Eq. (22) where all three exponential rate constants λ1, λ2 and λ3 and coefficients A 1A 2A 3 (A 1 + A 2 + A 3 = 0) are equivalent, the cubic equation, three roots of which are our exponential rate constants, is constructed as

$$ x^3+a_2 x^2+a_1 x+a_0=0=(x-\lambda_1)(x-\lambda_2)(x-\lambda_3), $$
(48)

the expanded form of which defines how the coefficients a 0, a 1 and a 2 should look like:

$$ x^3-(\lambda_1+\lambda_2+\lambda_3)x^2+ (\lambda_1\lambda_2+\lambda_2\lambda_3+\lambda_3\lambda_1)x -\lambda_1\lambda_2\lambda_3 = 0. $$
(49)

Next, by calculating three “neighbour” moments Z s , Z s+1 and Z s+2 according to Eq. (45), after several rearrangements we have a linear combination of the coefficients a 0,a 1 and a 2 in a form

$$ c_0(s) a_0 +c_1(s) a_1 +c_2(s) a_2 = b(s), $$
(50)

where

$$ c_0(s) = Z_s-2 Z_{s+1}+Z_{s+2}, $$
(51)
$$ c_1(s)=-sZ_s+2(s+1)Z_{s+1}-(s+2)Z_{s+2}, $$
(52)
$$ c_2(s)=s^2Z_s-2(s+1)^2Z_{s+1} +(s+2)^2 Z_{s+2}, $$
(53)
$$ b(s)=s^3Z_s - 2(s+1)^3 Z_{s+1}+(s+2)^3 Z_{s+2}. $$
(54)

Then a substitution of three suitable values of s into Eqs. (50)–(54) gives a standard linear system of three equations with three unknowns (a 0, a 1 and a 2). For example, with s = 0, 1, 2 we have a 3 × 3 system

$$ \left[ \begin{array}{ccc} c_0(0) & c_1(0) & c_2(0) \\ c_0(1) & c_1(1) & c_2(1)\\ c_0(2) & c_1(2) & c_2(2) \end{array}\right]\,\left[ \begin{array}{c} a_0 \\ a_1 \\ a_2 \end{array}\right] = \left[\begin{array}{c} b(0) \\ b(1) \\ b(2) \end{array}\right], $$
(55)

solution of which expresses coefficients a 0a 1a 2 in terms of exact values of five moments— \(Z_0,{\dots},Z_4\):

$$ a_0=24 ((3 Z_{1} (Z_{2}-Z_{3})+Z_{2} Z_{3}) Z_{4}-Z_{1} Z_{2} Z_{3})/d, $$
(56)
$$ \begin{aligned} a_1&=(((2 Z_{2}-18 Z_{3}+24 Z_{4}) Z_{1} +54 Z_{2} Z_{3}+72 Z_{3} Z_{4}-128 Z_{2} Z_{4}) Z_{0} \\ &\quad+(126 Z_{2} Z_{4}-114 Z_{3} Z_{4}-44 Z_{2} Z_{3}) Z_{1}+26 Z_{2} Z_{3} Z_{4})/d, \end{aligned} $$
(57)
$$ \begin{aligned} a_2&=(((3 Z_{2}-24 Z_{3}+30 Z_{4}) Z_{1} +45 Z_{2} Z_{3}+42 Z_{3} Z_{4}-96 Z_{2} Z_{4}) Z_{0} \\ &\quad+(63 Z_{2} Z_{4}-48 Z_{3} Z_{4}-24 Z_{2} Z_{3}) Z_{1}+9 Z_{2} Z_{3} Z_{4})/d, \end{aligned} $$
(58)
$$ \begin{aligned} \hbox{where}\, d&=((Z_{2}+6 (Z_{4}-Z_{3})) Z_{1}+9 Z_{2} Z_{3}+6 Z_{3} Z_{4}-16 Z_{2} Z_{4}) Z_{0} \\ &\quad +(9 Z_{2} Z_{4}-4 Z_{2} Z_{3}-6 Z_{3} Z_{4}) Z_{1}+Z_{2} Z_{3} Z_{4}. \end{aligned} $$
(59)

Since all the values of a 0a 1a 2 are known at this point, the roots λ1, λ2, λ3 of the cubic equation Eq. (48) can be found by means of any standard method.

When the exponential rate constants λ1, λ2, λ3 are known, the coefficients A 1, A 2 can be found as

$$ A_2=\frac{\lambda_2(\lambda_2+1) \left((Z_{0}-Z_{1})\lambda_1\lambda_3-Z_{1}(\lambda_1+\lambda_3+1) \right)} {(\lambda_2-\lambda_1)(\lambda_2-\lambda_3)}, $$
(60)
$$ A_1=\frac{\lambda_1\left(Z_{0}\lambda_2\lambda_3+A_2(\lambda_2-\lambda_3)\right)} {\lambda_2(\lambda_3-\lambda_1)}. $$
(61)

Appendix 2: Nomenclature

:

One- and two-compartment iv models

:

One- and two-compartment ev models with first-order absorption

a 0a 1a 2d :

Cubic coefficients in Eqs. (48), (56)–(59)

A 1A 2A 3 :

Coefficients of the PK curve

α, β:

Hybrid rate constants

AUC:

Area under the PK curve C(t)

AUMC:

Area under the curve tC(t)

AUMMC:

Area under the curve t 2 C(t)

:

Initial concentration, Solutions I, II, III

c 0(s), c 1(s), c 2(s), b(s):

Parameters of Eq. (50)

:

Concentration in the central compartment, Solutions I, II, III

:

Concentration in the absorption compartment, Solutions I, II, III

:

Concentration in the elimination compartment, Solutions I, II, III

:

Concentration in the peripheral compartment, Solutions I,II, III

Cl :

Total clearance

Cl d :

Intercompartmental distribution clearance

:

Maximum plasma concentration

:

Maximum plasma concentration in the central compartment

:

Maximum plasma concentration in the peripheral compartment

k 10 :

Elimination rate constant

k 12 :

Transfer rate constant from the central (1) to the peripheral (2) compartment

k 21 :

Transfer rate constant from the peripheral (2) to the central (1) compartment

k a :

Absorption rate constant

λ1, λ2, λ3 :

Exponent of the ith exponential term of a polyexponential equation

MAT:

Mean absorption time

MRT:

Mean residence time

MRTC:

Mean residence time in the central compartment

MRTP:

Mean residence time in the peripheral compartment

S i :

ith S-moment

t :

Time after drug administration

:

Time to reach

:

Time to reach

:

Time to reach

:

Volume of distribution

:

Volume of the central compartment

:

Volume of the peripheral compartment

VRT:

Variance in residence time

x :

Cubic variable Eq. (48)

Z i :

ith Z-moment

Rights and permissions

Reprints and Permissions

About this article

Cite this article

Asmanova, N., Koloskov, G. & Ilin, A.I. Coupled solutions of one- and two-compartment pharmacokinetic models with first-order absorption. J Pharmacokinet Pharmacodyn 40, 229–241 (2013). https://doi.org/10.1007/s10928-013-9312-6

Download citation

  • Received:

  • Accepted:

  • Published:

  • Issue Date:

  • DOI: https://doi.org/10.1007/s10928-013-9312-6

Keywords

  • Flip-flop phenomenon
  • Coupled solutions
  • Vanishing exponential
  • Statistical moments
  • Pharmacokinetics