Abstract
Modification of cellulose with silver nanoparticles produces various nanocomposites with significantly developed properties. This work aims to prepare a PVA hydrogel modified with cellulose/silver nanocomposites having potential applications in various fields including biomedical, antimicrobial inhibition, textile wears, etc. Microfibrillated cellulose/silver nanocomposites hydrogels were prepared in the aqueous medium with aid of microwave-assisted heating. Different percentages of nanocomposites were incorporated in PVA hydrogel to enhance the properties of PVA hydrogel. Prepared products were characterized by UV–Visible spectroscopy, FTIR, TGA, XRD, and SEM. The swelling (in water saline, acidic and alkaline solution), tensile, thermal, and antibacterial properties were also examined. The formation of Ag nanoparticles (AgNPs) in the (MFC-Ag)NC was confirmed by XRD and UV–Vis spectra. UV–Vis spectra showed the characteristic peaks of Ag in the UV–Vis spectra at 425 nm. Final products exhibited significant porosity and maximum swelling of 519.44%. The thermal stability of hydrogel increased with an increased percentage of (MFC-Ag)NC. Hydrogels exhibited significant antimicrobial inhibition against multidrug-resistant microorganisms, including Escherichia coli, Staphylococcus aureus, and Pseudomonas aeruginosa.
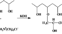
Graphical Abstract











Similar content being viewed by others
Explore related subjects
Discover the latest articles and news from researchers in related subjects, suggested using machine learning.References
Yahia Lh (2015) History and applications of hydrogels. J Biomed Sci 04(02):1–23. https://doi.org/10.4172/2254-609X.100013
Yang J, Gong C, Shi FK, Xie XM (2012) High strength of physical hydrogels based on poly(acrylic acid)-g-poly(ethylene glycol) methyl ether: Role of chain architecture on hydrogel properties. J Phys Chem B 116(39):12038–12047. https://doi.org/10.1021/jp303710d
García-Astrain C et al (2015) Biocompatible hydrogel nanocomposite with covalently embedded silver nanoparticles. Biomacromol 16(4):1301–1310. https://doi.org/10.1021/acs.biomac.5b00101
Thoniyot P, Tan MJ, Karim AA, Young DJ, Loh XJ (2015) Nanoparticle–hydrogel composites: concept, design, and applications of these promising, multi-functional materials. Adv Sci 2(1–2):1–13. https://doi.org/10.1002/advs.201400010
Ahmed EM (2015) Hydrogel: Preparation, characterization, and applications: A review. J Adv Res 6(2):105–121. https://doi.org/10.1016/j.jare.2013.07.006
Oliveira RN et al (2013) Mechanical properties and in vitro characterization of polyvinyl alcohol-nano-silver hydrogel wound dressings. Interface Focus 4(1):20130049–20130049. https://doi.org/10.1098/rsfs.2013.0049
Raho R et al (2020) Photo-assisted green synthesis of silver doped silk fibroin/carboxymethyl cellulose nanocomposite hydrogels for biomedical applications. Mater Sci Eng C. https://doi.org/10.1016/j.msec.2019.110219
Zhang H, Xia H, Zhao Y (2012) Poly (vinyl alcohol) hydrogel can autonomously self-heal. ACS Macro Lett. https://doi.org/10.1021/mz300451r
Hassan CM, Peppas NA (2000) Structure and applications of poly(vinyl alcohol) hydrogels produced by conventional crosslinking or by freezing/thawing methods. Biopolym PVA Hydrogels, Anionic Polym Nanocomposites 153:37–65. https://doi.org/10.1007/3-540-46414-X_2
Anjum S, Sharma A, Tummalapalli M, Joy J, Bhan S, Gupta B (2015) A novel route for the preparation of silver loaded polyvinyl alcohol nanogels for wound care systems. Int J Polym Mater Polym Biomater 64(17):894–905. https://doi.org/10.1080/00914037.2015.1030660
Lu B et al (2017) One-pot assembly of microfibrillated cellulose reinforced PVA-borax hydrogels with self-healing and ph-responsive properties. ACS Sustain Chem Eng 5(1):948–956. https://doi.org/10.1021/acssuschemeng.6b02279
Sinton SW (1987) Complexation chemistry of sodium borate with poly(vinyl alcohol) and small diols: A11B NMR study. Macromolecules 20(10):2430–2441. https://doi.org/10.1021/ma00176a018
Sczostak A (2009) Cotton linters: An alternative cellulosic raw material. Macromol Symp 280(1):45–53. https://doi.org/10.1002/masy.200950606
Lin HL, Liu YF, Yu TL, Liu WH, Rwei SP (2005) Light scattering and viscoelasticity study of poly(vinyl alcohol)-borax aqueous solutions and gels. Polymer (Guildf) 46(15):5541–5549. https://doi.org/10.1016/j.polymer.2005.04.074
Zhang F, Wu J, Kang D, Zhang H (2013) Development of a complex hydrogel of hyaluronan and PVA embedded with silver nanoparticles and its facile studies on Escherichia coli. J Biomater Sci Polym Ed 24(12):1410–1425. https://doi.org/10.1080/09205063.2012.763109
Sirousazar ZMHM, Kokabi M (2011) Swelling behavior and structural characteristics of polyvinyl alcohol/montmorillonite nanocomposite hydrogels. J Appl Polym Sci 123:50–58. https://doi.org/10.1002/app
Rai M, Yadav A, Gade A (2009) Silver nanoparticles as a new generation of antimicrobials. Biotechnol Adv 27(1):76–83. https://doi.org/10.1016/j.biotechadv.2008.09.002
Fu LH, Liu B, Meng LY, Ma MG (2016) Comparative study of cellulose/Ag nanocomposites using four cellulose types. Mater Lett 171:277–280. https://doi.org/10.1016/j.matlet.2016.02.118
P. Mohamadinia, “Preparation And Characterization of Sodium Alginate / Acrylic Acid Composite Hydrogels Conjugated To Silver Nanoparticles As An Antibiotic Delivery System,” Res. Sq., pp. 1–13, 2021, [Online]. Available: https://www.researchsquare.com/article/rs-429387/v1.
Song S et al (2021) Antibacterial polyvinyl alcohol/bacterial cellulose/nano-silver hydrogels that effectively promote wound healing. Mater Sci Eng C 126:112171. https://doi.org/10.1016/j.msec.2021.112171
Wang L, Periyasami G, Aldalbahi A, Fogliano V (2021) The antimicrobial activity of silver nanoparticles biocomposite films depends on the silver ions release behaviour. Food Chem 359:129859. https://doi.org/10.1016/j.foodchem.2021.129859
Abbate F, Santos D, Iulianelli GCV, Inês M, Tavares B (2016) The use of cellulose nanofillers in obtaining polymer nanocomposites: properties, processing, and applications. Mater Sci Appl 7(7):257–294. https://doi.org/10.4236/msa.2016.75026
Siró I, Plackett D (2010) Microfibrillated cellulose and new nanocomposite materials: A review. Cellulose 17(3):459–494. https://doi.org/10.1007/s10570-010-9405-y
Ovalle-Serrano SA, Díaz-Serrano LA, Hong C, Hinestroza JP, Blanco-Tirado C, Combariza MY (2020) Synthesis of cellulose nanofiber hydrogels from fique tow and Ag nanoparticles. Cellulose 27(17):9947–9961. https://doi.org/10.1007/s10570-020-03527-6
M. F. Rosa et al., “EXTRAÇÃO E CARACTERIZAÇÃO DE ‘WHISKERS’ DE CELULOSE DE FIBRA DE COCO,” Congr. Bras. Eng. e Ciência dos Mater., pp. 4050–4058, 2008, [Online]. Available: https://www.alice.cnptia.embrapa.br/alice/bitstream/doc/28217/1/Proci08.00139.pdf.
Shin JU, Gwon J, Lee SY, Yoo HS (2018) Silver-incorporated nanocellulose fibers for antibacterial hydrogels. ACS Omega 3(11):16150–16157. https://doi.org/10.1021/acsomega.8b02180
Sharma VK, Yngard RA, Lin Y (2009) Silver nanoparticles: Green synthesis and their antimicrobial activities. Adv Colloid Interface Sci 145(1–2):83–96. https://doi.org/10.1016/j.cis.2008.09.002
Yang KK, Wang XL, Wang YZ (2007) Progress in nanocomposite of biodegradable polymer. J Ind Eng Chem 13(4):485–500
Cobos M, De-La-Pinta I, Quindós G, Fernández MJ, Fernández MD (2020) alcohol ) / graphene oxide – silver nanoparticles. Polymers (Basel) 12(723):1–18
Fan L, Zhang H, Gao M, Zhang M, Liu P, Liu X (2019) Cellulose nanocrystals/silver nanoparticles: In-situ preparation and application in PVA films. Holzforschung 74(5):523–528. https://doi.org/10.1515/hf-2018-0251
Sarwar MS, Niazi MBK, Jahan Z, Ahmad T, Hussain A (2018) Preparation and characterization of PVA/nanocellulose/Ag nanocomposite films for antimicrobial food packaging. Carbohydr Polym 184:453–464. https://doi.org/10.1016/j.carbpol.2017.12.068
Nain Z, Islam MA, Minnatul Karim M (2019) Antibiotic resistance profiling and molecular phylogeny of biofilm forming bacteria from clinical and non-clinical environment in southern part of Bangladesh”. Int J Enteric Pathog. https://doi.org/10.15171/ijep.2019.10
Rahman M, Khan G, Uddin M, Razzaque S, Alam M (2016) Chemical treatments of cotton linter cellulose fiber for composite application. Am Chem Sci J 16(4):1–7. https://doi.org/10.9734/acsj/2016/28730
Gomes A, Goda K, Ohgi J (2004) Effects of alkali treatment to reinforcement on tensile properties of Curaua fiber green composites. JSME Int Journal Ser A Solid Mech Mater Eng. https://doi.org/10.1299/jsmea.47.541
Butterworth E (1939) The bleaching of cellulose, with special reference to bast fibres. J Soc Dvers Colour 55(12):589–596
Li W, Wang R, Liu S (2011) Nanocrystalline cellulose prepared from softwood kraft pulp via ultrasonic-assisted acid hydrolysis. BioResources 6(4):4271–4281. https://doi.org/10.15376/biores.6.4.4271-4281
G. M. A. Khan et al., “Mechanical, thermal and morphological studies of microfibrillated jute/PLA biocomposites,” Indian J Fibre Text Res, vol. 42, no. 3, 2017.
Priya SY, Khan GMA, Uddin MH, Haque MA, Islam MS, Gafur MA (2015) Characterization of micro-fibrillated cellulose produced from sawmill wastage: crystallinity and thermal properties. Am Chem Sci J 9(1):1–8. https://doi.org/10.9734/ACSj/2015/19752
Spoljaric S, Salminen A, Luong ND, Seppälä J (2014) Stable, self-healing hydrogels from nanofibrillated cellulose, poly(vinyl alcohol) and borax via reversible crosslinking. Eur Polym J 56(1):105–117. https://doi.org/10.1016/j.eurpolymj.2014.03.009
Magaldi S et al (2004) Well diffusion for antifungal susceptibility testing. Int J Infect Dis 8(1):39–45. https://doi.org/10.1016/j.ijid.2003.03.002
National Committee for Clinical Laboratory Standards, Performance Standards for Antimicrobial Disk Susceptibility Tests, Fifth Edit. Villanova, PA, USA: Approved Standard NCCLS Publication M2-A5, 1993.
Al Masud MA et al (2021) Green synthesis of silk sericin-embedded silver nanoparticles and their antibacterial application against multidrug-resistant pathogens. J Genet Eng Biotechnol. https://doi.org/10.1186/s43141-021-00176-5
Zhang X, Sun H, Tan S, Gao J, Fu Y, Liu Z (2019) Hydrothermal synthesis of Ag nanoparticles on the nanocellulose and their antibacterial study. Inorg Chem Commun 100:44–50. https://doi.org/10.1016/j.inoche.2018.12.012
Biao L et al (2017) Synthesis, characterization and antibacterial study on the chitosan-functionalized Ag nanoparticles. Mater Sci Eng C 76:73–80. https://doi.org/10.1016/j.msec.2017.02.154
Kwon G-J et al (2020) Adsorption characteristics of Ag nanoparticles on cellulose nanofibrils with different chemical compositions. Polymers (Basel) 12(1):164. https://doi.org/10.3390/polym12010164
Suflet DM, Chitanu GC, Popa VI (2006) Phosphorylation of polysaccharides: New results on synthesis and characterisation of phosphorylated cellulose. React Funct Polym 66(11):1240–1249. https://doi.org/10.1016/j.reactfunctpolym.2006.03.006
Uesu NY, Pineda EAG, Hechenleitner AAW (2000) Microcrystalline cellulose from soybean husk: effects of solvent treatments on its properties as acetylsalicylic acid carrier. Int J Pharm 206(1–2):85–96. https://doi.org/10.1016/S0378-5173(00)00532-9
Alemdar A, Sain M (2008) Isolation and characterization of nanofibers from agricultural residues - Wheat straw and soy hulls. Bioresour Technol 99(6):1664–1671. https://doi.org/10.1016/j.biortech.2007.04.029
Kobayashi M, Kitaoka Y, Kobayashi M (1997) Complex formation of boric acids with DI-and TRI-carboxylic acids and poly (vinyl alcohol) in aqueous solutions. Macromol Symp 114(1):303–308
Cui XF et al (2019) Water-retaining, tough and self-healing hydrogels and their uses as fire-resistant materials. Polym Chem 10(37):5151–5158. https://doi.org/10.1039/C9PY01015G
Shenoy SL, Painter PC, Coleman MM (1999) The swelling and collapse of hydrogen bonded polymer gels. Polymer (Guildf) 40(17):4853–4863. https://doi.org/10.1016/S0032-3861(98)00699-5
Wang D, Zhao S, Yin R, Li L, Lou Z, Shen G (2021) “Recent advanced applications of ion-gel in ionic-gated transistor”, npj Flex. Electron 5(1):13. https://doi.org/10.1038/s41528-021-00110-2
Namazi H, Hasani M, Yadollahi M (2019) Antibacterial oxidized starch/ZnO nanocomposite hydrogel: synthesis and evaluation of its swelling behaviours in various pHs and salt solutions. Int J Biol Macromol 126:578–584
Han J, Lei T, Wu Q (2013) Facile preparation of mouldable polyvinyl alcohol-borax hydrogels reinforced by well-dispersed cellulose nanoparticles: physical, viscoelastic and mechanical properties. Cellulose 20(6):2947–2958
Liu J, Li Q, Su Y, Yue Q, Gao B, Wang R (2013) Synthesis of wheat straw cellulose-g-poly (potassium acrylate)/PVA semi-IPNs superabsorbent resin. Carbohydr Polym 94(1):539–546
Sriupayo J, Supaphol P, Blackwell J, Rujiravanit R (2005) Preparation and characterization of α-chitin whisker-reinforced chitosan nanocomposite films with or without heat treatment. Carbohydr Polym 62(2):130–136. https://doi.org/10.1016/j.carbpol.2005.07.013
Davies KJA (2000) Oxidative stress, antioxidant defenses, and damage removal, repair, and replacement systems. IUBMB Life 50(4–5):279–289
Quinteros MA, Aristizábal VC, Dalmasso PR, Paraje MG, Páez PL (2016) Oxidative stress generation of silver nanoparticles in three bacterial genera and its relationship with the antimicrobial activity. Toxicol Vitr 36:216–223
Funding
The article was funded by Ministry of Science and Technology, Government of the People’s Republic of Bangladesh, 39.00.0000.09.06.79.2017/387/51 EAS, Md. Shamsul Alam.
Author information
Authors and Affiliations
Corresponding author
Ethics declarations
Conflict of interest
The authors declare not to have any conflict of interest.
Additional information
Publisher's Note
Springer Nature remains neutral with regard to jurisdictional claims in published maps and institutional affiliations.
Rights and permissions
About this article
Cite this article
Hasan, M.S., Al Foisal, J., Khan, G.M.A. et al. Microfibrillated Cellulose-Silver Nanocomposite Based PVA Hydrogels and Their Enhanced Physical, Mechanical and Antibacterial Properties. J Polym Environ 30, 2875–2887 (2022). https://doi.org/10.1007/s10924-022-02406-4
Accepted:
Published:
Issue Date:
DOI: https://doi.org/10.1007/s10924-022-02406-4


