Abstract
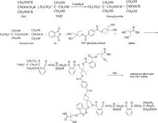
This work reports a simple and ecofriendly way of recycling polyethylene terephthalate (PET) waste. PET waste was glycolyzed using trimethylolpropane (TMP) giving tetra-functional glycolyzate, to prepare alkyd resin. 0.25% ZnOAc and the TMP to PET molar ratio of 12:1 at 220 °C produced the best yield of glycolyzate. The obtained glycolyzate was characterized by Fourier transform infrared spectroscopy (FTIR) spectroscopy, 1H and 13C nuclear magnetic resonance (NMR) and further used in the synthesis of alkyd resins. The properties of the prepared alkyd resins including acid value, the pencil hardness, chemical resistance and thermal stability, were investigated. The pencil hardness of the cured resins film is 3H, which is better than the commercial alkyd resin YF-155. Thermogravimetric analysis (TGA) exhibited polymer decomposition occurred above 160 °C. When compared to commercial coatings, Zanthoxylum bungeanum seed oil (ZSO)-based alkyd resin from postconsumer PET bottles has potential for commercial applications, and may even be superior in thermal and chemical resistance.

















Similar content being viewed by others
Explore related subjects
Discover the latest articles and news from researchers in related subjects, suggested using machine learning.References
Lu Y, Larock RC (2009) Novel polymeric materials from vegetable oils and vinyl monomers: preparation, properties, and applications. Chemsuschem 2:136–147
Williams C, Hillmyer M (2008) Polymers from renewable resources: a perspective for a special issue of polymer reviews. Polym Rev 48:1–10
Gandini A, Lacerda TM, Carvalho AJ, Trovatti E (2016) Progress of polymers from renewable resources: furans, vegetable oils, and polysaccharides. Chem Rev 116:1637–1669
Malik N, Kumar P, Shrivastava S, Ghosh SB (2016) An overview on PET waste recycling for application in packaging. Int J of Plast Technol 21:1–24
Gomes TS, Visconte LLY, Pacheco EBAV (2019) Life cycle assessment of polyethylene terephthalate packaging: an overview. J Polym Environ 27:533–548
Jehanno C, Flores I, Dove AP, Müller AJ, Ruipérez F, Sardon H (2018) Organocatalysed depolymerisation of PET in a fully sustainable cycle using thermally stable protic ionic salt. Green Chem 20:1205–1212
Güçlü G (2009) Alkyd resins based on waste PET for water-reducible coating applications. Polym Bull 64:739–748
Acar I, Bal A, Güçlü G (2013) The use of intermediates obtained from aminoglycolysis of waste poly(ethylene terephthalate) (PET) for the synthesis of water-reducible alkyd resin. Can J Chem 91:357–363
Tuna BA, Güçlü G (2013) Investigation of the effect of hydrolysis products of postconsumer polyethylene terephthalate bottles on the properties of alkyd resins. Polym Eng Sci 53:176–182
Spasojević PM, Panić VV, Džunuzović JV, Marinković AD, Woortman AJJ, Loos K, Popović IG (2015) High performance alkyd resins synthesized from postconsumer PET bottles. RSC Adv 5:62273–62283
Ikladious NE, Asaad JN, Emira HS, Mansour SH (2017) Alkyd resins based on hyperbranched polyesters and PET waste for coating applications. Prog Org Coat 102:217–224
Dullius J, Ruecker C, Oliveira V, Ligabue R, Einloft S (2006) Chemical recycling of post-consumer PET: alkyd resins synthesis. Prog Org Coat 57:123–127
Güçlü G, Orbay M (2009) Alkyd resins synthesized from postconsumer PET bottles. Prog Org Coat 65:362–365
Gioia C, Vannini M, Marchese P, Minesso A, Cavalieri R, Colonna M, Celli A (2014) Sustainable polyesters for powder coating applications from recycled PET, isosorbide and succinic acid. Green Chem 16:1807–1815
Shamsi R, Mir Mohamad Sadeghi G (2016) Novel polyester diol obtained from PET waste and its application in the synthesis of polyurethane and carbon nanotube-based composites: swelling behavior and characteristic properties. RSC Adv 6:38399–38415
Atta AM, El-Kafrawy AF, Aly MH, A-aA A-A (2007) New epoxy resins based on recycled poly(ethylene terephthalate) as organic coatings. Prog Org Coat 58:13–22
Çam Ç, Bal A, Güçlü G (2015) Synthesis and film properties of epoxy esters modified with amino resins from glycolysis products of postconsumer PET bottles. Polym Eng Sci 55:2519–2525
Cakić SM, Ristić IS, Cincović MM, Nikolić NČ, Nikolić LB, Cvetinov MJ (2017) Synthesis and properties biobased waterborne polyurethanes from glycolysis product of PET waste and poly(caprolactone) diol. Prog Org Coat 105:111–122
Sirohi S, Dobhal S, Doshi M, Nain R, Dutt K, Pani B (2018) Eco-friendly synthesis of PET-based polymeric plasticiser and its application in nitrile-PVC rubber blends. Indian Chem Eng 61:206–217
Wang S, Wang C, Wang H, Chen X, Wang S (2015) Sodium titanium tris(glycolate) as a catalyst for the chemical recycling of poly(ethylene terephthalate) via glycolysis and repolycondensation. Polym Degrad Stab 114:105–114
Chiplunkar PP, Pratap AP (2016) Utilization of sunflower acid oil for synthesis of alkyd resin. Prog Org Coat 93:61–67
Iseri-Caglar D, Basturk E, Oktay B, Kahraman MV (2014) Preparation and evaluation of linseed oil based alkyd paints. Prog Org Coat 77(1):81–86
Selim MS, Shenashen MA, Elmarakbi A, El-Saeed AM, Selim MM, El-Safty SA (2017) Sunflower oil-based hyperbranched alkyd/spherical ZnO nanocomposite modeling for mechanical and anticorrosive applications. RSC Adv 7:21796–21808
Ong HR, Ramli R, Khan MMR, Yunus RM (2016) The infuence of CuO nanoparticle on nonedible rubber seed oil based alkyd resin preparation and its antimicrobial activity. Prog Org Coat 101:245–252
Selim MS, El-Safty SA, Shenashen MA, El-Sockary MA, Abo Elenien OM, El-Saeed AM (2019) Robust alkyd/exfoliated graphene oxide nanocomposite as a surface coating. Prog Org Coat 126:106–118
Selim MS, El-Safty SA, Fatthallah NA, Shenashen MA (2018) Silicone/graphene oxide sheet-alumina nanorod ternary composite for superhydrophobic antifouling coating. Prog Org Coat 121:160–172
Selim MS, Elmarakbi A, Azzam AM, Shenashen AM, El-Saeed AM, El-Safty SA (2018) Eco-friendly design of superhydrophobic nano-magnetite/silicone composites for marine foul-release paints. Prog Org Coat 116:21–34
Selim MS, El-Safty SA, Azzam AM, Shenashen AM, El-Sockary MA, Abo Elenien OM (2019) Silicone/TiO2–SiO2 nanorod-like composites for marine fouling release coatings. ChemistrySelect 4(12):3395–3407
Yin X, Xu X, Zhang Q, Xu J (2018) Rapid determination of the geographical origin of Chinese red peppers (Zanthoxylum Bungeanum Maxim) based on sensory characteristics and chemometric techniques. Molecules 23(5):1001–1011
Yang X, Tang M, Liu Y, Ma Y (2018) Compound of mannich base corrosion inhibitor. Surf Technol 47(5):77–82
Lei R, Ma Y, Yang X (2019) Preparation of Zanthoxylum bungeanum seed oil-based waterborne alkyd resin based on postconsumer PET bottles. Paint Coat Ind 49(4):34–40
Wang W, Lu P, Tang H, Ma Y, Yang X (2017) A Zanthoxylum bungeanum seed oil-based carbon solid acid catalyst for the production of biodiesel. New J Chem 41(17):9256–9261
Ahmad F, Ahmad I, Osman SM (1980) The C16 monoenoic acid of Zanthoxylum alatum seed oil. J Am Oil Chem Soc 57(7):224–225
Charamzova I, Vinklarek J, Honzicek J (2018) Effect of primary driers on oxidative drying of high solid alkyd binder: investigation of thickness effects by mechanical tests and infrared spectroscopy. Prog Org Coat 125:177–185
Ma S, Qian J, Zhuang Q, Li X, Kou W, Peng S (2018) Synthesis and application of water-soluble hyperbranched polyester modified by trimellitic anhydride. J Macromol Sci Part A 55(5):414–421
Güçlü G (2010) Alkyd resins based on waste PET for water-reducible coating applications. Polym Bull 64(8):739–748
Elrebii M, Kamoun A, Bouf S (2015) Waterborne hybrid alkyd–acrylic dispersion: optimization of the composition using mixture experimental designs. Prog Org Coat 87:222–231
Buyukyonga ON, Akgun N, Acar I, Güçlü G (2017) Synthesis of four-component acrylic-modified water-reducible alkyd resin: investigation of dilution ratio effect on film properties and thermal behaviors. J Coat Technol Res 14(1):117–128
Acknowledgements
This work was supported by Xi'an Weiyang District Science & Technology Project (Grant No. 201909), Shaanxi Provincial Key Research & Development Project (Grant No. 2018 ZDXM-NY-083) and Shaanxi Provincial Science & Technology Co-ordination & Innovation Project (Grant No. 2016 KTTSNY03-04).
Author information
Authors and Affiliations
Corresponding author
Additional information
Publisher's Note
Springer Nature remains neutral with regard to jurisdictional claims in published maps and institutional affiliations.
Rights and permissions
About this article
Cite this article
Ma, Y., Lei, R., Yang, X. et al. Eco-friendly Waterborne Alkyd Resin from Polyethylene Terephthalate Waste. J Polym Environ 28, 1083–1094 (2020). https://doi.org/10.1007/s10924-020-01666-2
Published:
Issue Date:
DOI: https://doi.org/10.1007/s10924-020-01666-2

