Abstract
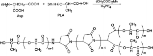
The synthesis and characterization of poly(lactic acid)-co-aspartic acid copolymers (PLA-co-Asp) were presented. Subsequently, the synthesized PLA-co-Asp copolymers were tested as biodegradable carriers in drug delivery systems. PLA-co-Asp copolymers were synthesized by solution polycondensation procedure, using different molar ratios PLA/l-aspartic acid (2.33/1, 1/1, 1/2.33), manganese acetate and phosphoric acid as catalysts and N,N′-dimethyl formamide (DMF)/toluene as solvent mixture. The copolymers were characterized by FT-IR and 1H-NMR spectroscopy, gel permeation chromatography (GPC), DSC and TG-DTG analyses. Diclofenac sodium, a non steroidal anti-inflammatory drug was subsequently loaded into PLA-co-Asp copolymers. The in vitro drug release experiments were done by dialysis of the copolymer/drug systems, in phosphate buffer solution (pH = 7.4, at 37 °C) and monitored by UV spectroscopy.










Similar content being viewed by others
Explore related subjects
Discover the latest articles and news from researchers in related subjects, suggested using machine learning.References
Hyon S-H (2000) Yonsei Med J 41(6):720–734
Gad HA, El-Nabarawi MA, Abd El-Hady SS (2008) AAPS Pharm Sci Tech 9(3):878–884
Steendam R, van Steenbergen MJ, Hennink WE, Frijlink HW, Lerk CF (2001) J. Controlled Drug Release 70:71–82
Lipsa R, Tudorachi N, Vasile C (2010) e-polymers no 087
Garlotta D (2001) J Polym Environ 9(2):63–84
Luckachan GE, Pillai CKS (2011) J Polym Environ 19:637–676
Shinoda H, Asou Y, Suetsugu A, Tanaka K (2003) Macromol Biosci 3:34–43
Cheng Y, Deng S, Chen P, Ruan R (2009) Front Chem China 4(3):259–264
Tomida M, Nakato T (1997) Polymer 38(18):4733–4736
Nita LE, Chiriac AP, Popescu CM, Neamtu I, Alecu UL (2006) J Optoelectron Adv Mater 8(2):663–666
Poljanšek I, Gričar M, Žagar E, Žigon M (2008) Macromol Symp 272:75–80
Tomida M, Nakato T, Kuramochi M, Matsunami M, Kakuchi T (1996) Polymer 37(19):4435–4437
Tudorachi N, Lipsa R (2006) Polimery 51/6:22–27
Sheu MT, Chou HL, Kao CC, Liu CH, Sokoloski TD (1992) Int J Pharm 85:57–63
Bocchini S, Fukushima K, Di Blasio A, Fina A, Frache A, Geobaldo F (2010) Biomacromolecules 11:2919–2926
Lipsa R, Tudorachi N, Vasile C, Chiriac A, Grigoras A, J Polym Environ. doi:10.1007/s10924-012-0470-1 (in press)
Coats WA, Redfern PJ (1964) Nature 201(4914):68–69
Acknowledgments
The authors are grateful for the financial support from the Romanian National Authority for Scientific Research CNCS–UEFISCDI, project: Interdisciplinary research on multifunctional hybrid particles for bio-requirements “INTERBIORES” PN–II–PT–PCCA–2011–3.2–0428, Grant no. 211/2012, and project Binanomed: Antimicrobial bionanocomposites for medical applications, Grant PCCA/II, no. 164/2012, CNCCS–UEFISCDI.
Author information
Authors and Affiliations
Corresponding author
Rights and permissions
About this article
Cite this article
Tudorachi, N., Lipsa, R., Vasile, C. et al. Poly(Lactic Acid)-co-Aspartic Acid Copolymers: Possible Utilization in Drug Delivery Systems. J Polym Environ 21, 1064–1071 (2013). https://doi.org/10.1007/s10924-013-0587-x
Published:
Issue Date:
DOI: https://doi.org/10.1007/s10924-013-0587-x
