Skip to main content

Development and Validation of a Health and Work Survey Based on the Rasch Model among Portuguese Workers

Abstract

The purpose of this study was to develop the Health and Work Survey (INSAT) and examine the validity of the discomfort rating scale. Data were collected from 706 Portuguese workers from six economic sectors with the support of the Health and Work Survey (INSAT - Inquérito Saúde e Trabalho). The INSAT is a self-administered questionnaire to assessing working conditions, health and wellbeing, and to provide information to the occupational health systems in the organisations. For the survey instrument validation, the Rasch Partial Credit Model (PCM) was used to analyse item fit statistics. From the application of PCM, Person Separation Reliability was obtained (0.8761) and the value can be considered very good (>0.8). From the statistical analysis, the Overall Model fit information, given by Outfit Mean square/Infit Mean square, is between 0.5 and 1.5, meaning “Productive for measurement” and “acceptable fit overall”. The INSAT items can generate predictable response patterns. We recommend that the INSAT discomfort rating scale and some other items should be reviewed in future works. In any event, this tool proves to be useful in assessing the relationship between work and health and in evaluating key main risk factors, helping to prevent problems and improving occupational health systems.

This is a preview of subscription content, access via your institution.

Fig. 1
Fig. 2
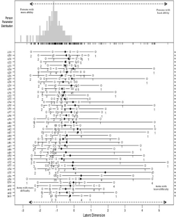
Fig. 3

References

  1. Eurofound, Health and well-being at work - Q2 2014, Brussels: European Observatory for Working Life. 2015.

  2. Eurofound, Developments in working life in Europe. EurWORK annual review 2014, 2015.

  3. Eurofound and EU-OHSA, Psychosocial risks in Europe: Prevalence and strategies for prevention, Publications Office of the European Union: Luxembourg. 2014.

  4. André, J.-C., Complexity and occupational safety and health prevention research. Theoretical Issues in Ergonomics Science. 6(6):483–507, 2005. doi:10.1080/14639220500071570.

    Article  Google Scholar 

  5. Daubas-Letourneux, V., and Thébaud-Mony, A., Organisation du travail et santé dans l’Union Européenne. Office des Publications Officielles des Communautés Européennes, Luxembourg, 2002.

    Google Scholar 

  6. Derriennic, F., Touranchet, A., and Volkoff, S., Âge, travail, santé. Les Éditions INSERM, Paris, 1996.

    Google Scholar 

  7. Gollac, M., and Volkoff, S., Les Conditions de Travail. Éditions La Découverte, Paris, 2000.

    Google Scholar 

  8. Ilmarien, J., Work ability – A comprehensive concept for occupational health research and prevention. Scand J Work Environ Health. 35(1):1–5, 2009. doi:10.5271/sjweh.1304.

    Article  Google Scholar 

  9. Nielsen, K., et al., Conducting organizational-level occupational health interventions: What works? Work & Stress. 24(3):234–259, 2010. doi:10.1080/02678373.2010.515393.

    Article  Google Scholar 

  10. Stansfeld, S.A., and Candy, B., Psychosocial work environment and mental health – A meta-analytic review. Scandinavian Journal of Work and Environmental Health. 32:443–462, 2006.

    Article  Google Scholar 

  11. Teiger, C., Le vieillissement différentiel par et dans le travail: un vieux problème dans un contexte récent. Le Travail Humain. 52(1):21–56, 1989.

    Google Scholar 

  12. Molinié, A. and A. Leroyer Suivre les évolutions du travail et de la santé: EVREST, un dispositif commun pour des usages diversifiés. PISTES. 3, 2011.

  13. Taris, T., et al., Inequity, burnout and psychological withdrawal among teachers: A dynamic exchange model. Anxiety, Stress and Coping. 11(1):103–122, 2004.

    Article  Google Scholar 

  14. Kortum, E., Leka, S., and Cox, T., Psychococial risks and work-realted stress in developing countries: Health impact, priorities, barriers and solutions. Int J Occup Med Environ Health. 23(3):225–238, 2010. doi:10.2478/v10001-010-0024-5.

    Article  PubMed  Google Scholar 

  15. Farzanfar, R., et al., Design and development of a mental health assessment and intervention system. J Med Syst. 31:49–62, 2007. doi:10.1007/s10916-006-9042-z.

    Article  PubMed  Google Scholar 

  16. Clot, Y. and J. Leplat La méthode clinique en ergonomie et en psychologie du travail. Le Travail Humain, 4(68): p. 289–316, 2005.

  17. Ilies, R., Aw, S., and Pluut, H., Intraindividual models of employee well-being: What have we learned and where do we go from here? European Journal of Work and Organizational Psychology. 24(6):827–838, 2015. doi:10.1080/1359432X.2015.1071422.

    Article  Google Scholar 

  18. Barros-Duarte, C. and M. Lacomblez Santé au travail et discrétion des rapports sociaux. . Revue électronique PISTES - Perspectives interdisciplinaires sur le travail et la santé. 2006.

  19. Coutrot, T., and Wolff, L., L’impact des conditions de travail sur la santé: une expérience méthodologique. Centre d’études de l’emploi, Paris, 2005.

    Google Scholar 

  20. Härenstam, A., et al., Multilevel analyses of organizational change and working conditions in public and private sector. European Journal of Work and Organizational Psychology. 13(3):305–343, 2004. doi:10.1080/13594320444000119.

    Article  Google Scholar 

  21. Cunha, L., S. Nogueira, and M. Lacomblez, Beyond a man's world: Methodological contributions of considering gender when studying bus drivers' activity. . Work, 2014, DOI: 10.3233/WOR-131611.

  22. Mergler, D., Combining quantitative and qualitative approaches in occupational health for a better understanding of the impact of work-related disorders. Scandinavian Journal of Work, Environment & Health. 15(4):54–60, 1999.

    Google Scholar 

  23. Arandjelovic, M., A need of holistic approach to the occupational health developing (in Serbia). Int J Occup Med Environ Health. 24(3):229–240, 2011. doi:10.2478/s13382-011-0033-z.

    Article  PubMed  Google Scholar 

  24. Janssens, H., et al., Association between psychosocial characterisitcs of work and presenteeism: A cross-sectional study. Int J Occup Med Environ Health, 29(2): p. 331–344, 2016, DOI: 10.13075/ijomeh.1896.00588.

  25. Carvalho, J., A. Rocha, and A. Abreu, Maturity Models of Healthcare Information Systems and Technologies: a Literature Review. J Med Syst 40(131), 2016, DOI: 10.1007/s10916-016-0486-5.

  26. Rocha, A. and J. Freixo, Information Architecture for Quality Management Support in Hospitals. J Med Syst 39(125), 2015, DOI: 10.1007/s10916-015-0326-z.

  27. Barros-Duarte, C., Cunha, L., and Lacomblez, M., INSAT: uma proposta metodológica para análise dos efeitos das condições de trabalho sobre a saúde. Laboreal. 3(2):54–62, 2007.

    Google Scholar 

  28. Niedhammer, I., Chastang, J., and David, S., Importance of psychosocial workfactors on general health outcomes in the national French SUMER survey. Occup. Med. 58(1):15–24, 2008.

    Article  Google Scholar 

  29. Barros-Duarte, C., et al., Occupational risks behind teaching activity (223–228) in Occupational Safety and Hygiene II, P.A.e. al., Editor, Taylor & Francis Group, CRC Press. p. 803pp, 2014.

  30. Barros, C., et al., Will I be able to do my work at 60? An analysis of working conditions that hinder active ageing. WORK: A Journal of Prevention. Assessment & Rehabilitation. 51:579–590, 2015. doi:10.3233/WOR-152011.

    Google Scholar 

  31. Silva, C., et al., Prevalence of back pain problems in relation to occupational group. International Journal of Industrial Ergonomics. 52:52–58, 2016. doi:10.1016/j.ergon.2015.08.005.

    Article  Google Scholar 

  32. Barros-Duarte, C., and Cunha, L., INSAT2010 – Inquérito Saúde e Trabalho: outras questões, novas relações. LABOREAL. 6:19–26, 2010.

    Google Scholar 

  33. Barros-Duarte, C. and L. Cunha, Avaliação dos fatores psicossociais de risco: contributos do Inquérito INSAT (333–346) in Manual sobre Riscos Psicossociais no Trabalho, H.V.Neto, J.Areosa, and P.A. (Org), Editors, Vila do Conde: Civeri Publishing, 2014.

  34. Haynes, S., Richard, D., and Kubany, E., Content validity in psychological assessment: A functional approach to concepts and methods. Psychol Assess. 7:238–247, 1995.

    Article  Google Scholar 

  35. Kline, P., Handbook of Psychological Testing Routledge; 2 edition. 752. 2000.

  36. Waugh, R., and Chapman, E., Attitude to mathematics for primary-aged students: A comparison of true score and Rasch measurement in Frontiers in Educational Psychology, Nova science publishers, New York. USA. p. 89-105, 2005.

  37. Sijtsma, K., On the use, the misuse and the very limited usefulness of Cronabch’s alpha. Psychometrika. 74(1):107–120, 2009. doi:10.1007/s11336-008-9101-0.

    Article  PubMed  Google Scholar 

  38. Rocha, N., and Fleck, M., Validity of the Brazilian version of WHOQOL-BREF in depressed patients using Rasch modelling. Rev Saúde Pública. 43(1):147–153, 2009.

    Article  PubMed  Google Scholar 

  39. Tennant, A., and Conaghan, P., The Rasch measurement model in rheumatology: What is it and why use it? When should it be applied, and what should one look for in a Rasch paper? Arthritis Care & Research. 57(8):1358–1362, 2007. doi:10.1002/art.23108.

    Article  Google Scholar 

  40. Shea, T., A. Tennant, and J. Pallant Rasch model analysis of the Depression, Anxiety and Stress Scales (DASS). BMC Psychiatry. 9, 2009. DOI: 10.1186/1471-244X-9-21.

  41. Wright, B. and M. Stone, Measurement essentials. Wilmington: Wide Range Inc. 221. 1999.

  42. Green, C. and C. Frantom, Survey development and validation with Rasch Model: International Conference on Questionnaire Development Evaluation, and Testing, Charleston, SC, November, 14–17. p. 30. 2002.

  43. Mair, P., R. Hatzinger, And M.J. Maier, Extended Rasch Modeling: The R Package eRm. PDF-Dateianhang zum Programmpaket eRm, 2009.

  44. Dejours, C., Insatisfaction au travail et souffrance mentale. in Problèmes politiques et sociaux, Thébaud-Mony, A. & Robatel N. (orgs.). p. 35–49, 2009.

  45. Schwartz, Y., Le paradigme ergologique ou un métier de philosophe. Octarès, Toulouse, 2000.

    Google Scholar 

  46. Thébaud-Mony, A., Riscos. Laboreal. 6:72–73, 2010.

    Google Scholar 

  47. Wright, B.D., and Stone, M.H., Measurement essentials. Wilmington. Wide Range Inc: p. 221, 1999.

  48. Linacre, J.M., What do Infit and outfit, mean-square and standardized mean? Rasch Measurement Transactions. 16(2):878, 2002.

    Google Scholar 

  49. Joan Stelmack, O., et al., Use of Rasch person-item map in exploratory data analysis: A clinical perspective. Journal of Rehabilitation Research & Development, 2004.

    Google Scholar 

  50. Gonçalves, J.J., and Rocha, Á., A decision support system for quality of life in head and neck oncology patients. Head & Neck Oncology. 4(1):3, 2012.

    Article  Google Scholar 

  51. Faria, B.M., Gonçalves, J.J., Reis, L.P., and Rocha, Á., A clinical support system based on quality of life estimation. Journal of Medical Systems. 39(10):114, 2015.

    Article  Google Scholar 

Download references

Author information

Affiliations

Authors

Corresponding author

Correspondence to Carla Barros.

Additional information

This article is part of the Topical Collection on Patient Facing Systems

Rights and permissions

Reprints and Permissions

About this article

Verify currency and authenticity via CrossMark

Cite this article

Barros, C., Cunha, L., Baylina, P. et al. Development and Validation of a Health and Work Survey Based on the Rasch Model among Portuguese Workers. J Med Syst 41, 79 (2017). https://doi.org/10.1007/s10916-017-0727-2

Download citation

  • Received:

  • Accepted:

  • Published:

  • DOI: https://doi.org/10.1007/s10916-017-0727-2

Keywords

  • Occupational health system
  • Risk factors
  • Work and health relations
  • Survey validation
  • Rasch partial credit model
  • Discomfort rating scale