Abstract
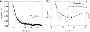
We have designed and fabricated superconducting Ti transition edge sensors (TES) with different microbridge lengths varying from 1 to 6 \(\upmu \)m. The current–voltage characteristics of the fabricated Ti TESs are measured at different bath temperatures using a commercial SQUID amplifier. The thermal conductance (G) is found to be about 300 pW/K for a 2.6-\(\upmu \)m-long device. In addition, the effective response time measured with a current pulse signal is about 3 \(\upmu \)s, and decreases with increasing the bias voltage because of negative electro-thermal feedback. The obtained electrical noise equivalent power from the measured current noise is about \(4 \times 10^{-17}\) W/Hz\(^{0.5}\), which is sufficiently low for TeSIA instrument.
This is a preview of subscription content, log in to check access.



References
- 1.
W.S. Holland, D. Bintley, E.L. Chapin, A. Chrysostomou, G.R. Davis et al., Mon. Not. R. Astron. Soc. 430, 2513 (2013)
- 2.
J. Yang, Y.X. Zuo, Z. Lou, J.Q. Cheng, Q.Z. Zhang et al., Res. Astron. Astrophys. 13(12), 1493–1508 (2013)
- 3.
S.C. Shi et al., This issue
- 4.
B.S. Karasik, R. Cantor, Appl. Phys. Lett. 98, 193503 (2011)
- 5.
B.S. Karasik, A.V. Sergeev, D.E. Prober, IEEE Trans. Terahertz Sci. Technol. 1(1), 97–111 (2011)
- 6.
Triton TM 200/400, Cryofree dilution refrigerator, Issue 3.0 (Oxford Instruments, 2012)
- 7.
High performance DC SQUID electronics, XXF-1 manual, v3.3.11. Magnicon Phys. Res. Instrum., Hamburg, Germany (2013)
- 8.
K.D. Irwin, G.C. Hilton, Cryogenic Particle Detection, vol. 99, Topics in Applied Physics (Springer, Berlin, 2005)
- 9.
J. Wei, D. Olaya, B.S. Karasik, S.V. Pereverzev, A.V. Sergeev, M.E. Gershenson, Nat. Nanotechnol. 3, 496–500 (2008)
- 10.
A.J. Manninen, J.K. Suoknuuti, M.M. Leivo, J.P. Pekola, Appl. Phys. Lett. 74(20), 3020 (1999)
- 11.
A.V. Sergeev, V.V. Mitin, B.S. Karasik, M.E. Gershenson, Physica E 19, 173 (2003)
- 12.
B.S. Karasik, S.V. Pereverzev, D. Olaya, J. Wei, M.E. Gershenson, A.V. Sergeev, I.E.E.E. Trans, Appl. Supercond. 19(3), 532–535 (2009)
Acknowledgments
The authors would like to thank K. Zhang and F. Wu for their technical support. This work was supported in part by the NSFC under Grants 11127903, 11190012, 11222329, 11473075, CAS under Grant XDB04010300, and by the CAS Joint Key Lab for Radio Astronomy.
Author information
Rights and permissions
About this article
Cite this article
Zhang, W., Zhong, J.Q., Miao, W. et al. Electrical Characteristics of Superconducting Ti Transition Edge Sensors. J Low Temp Phys 184, 11–16 (2016). https://doi.org/10.1007/s10909-015-1352-4
Received:
Accepted:
Published:
Issue Date:
Keywords
- Transition edge sensor
- Thermal conductance
- Noise equivalent power