Abstract
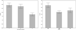
Diet-related chronic disease is among the most pressing public health issues and represents a health disparity among Native American communities. A community-based participatory approach was taken to evaluate dietary quality of adult residents of the Flathead Reservation of the Confederated Salish & Kootenai Tribes in Montana (the Flathead Nation). A survey was administered to collect basic demographic information and food security status (N = 80). Dietary quality was assessed using the 24-h dietary recall method with subsequent calculation of Healthy Eating Index 2010 (HEI-2010) scores, modified HEI without a dairy category, and the Dietary Diversity Scores (DDS). Participants included 80 adults from different households across eight communities (n = 10 per community) at the Flathead Nation. Approximately 50% of participants reported low or very low food security status while the remainder scored high or marginal food security. The mean total HEI-2010 score of study participants was 45.5 out of 100 points with a range between 20.0 and 78.1. The mean DDS of study participants was 4.6 (± 1.365) out of a total of 9 points. Participants with higher DDS had significantly higher intake of dietary fiber (p < 0.0003), potassium (0.0024), and cholesterol (p < 0.0048) compared to the lower DDS group. No significant correlations were found between HEI-2010 scores with DDS, demographic information, or food security status while significant differences were found between food security status and income (p < 0.01) and enrollment in nutrition assistance programs (p < 0.03). This study highlights the need to evaluate multiple parameters of dietary quality coupled with a community-based participatory approach in order for findings to be culturally relevant and support food and nutrition interventions.
This is a preview of subscription content, access via your institution.



References
United States Department of Health and Human Services. (2015). 2015–2020 Dietary Guidelines for Americans. 8th Edition. United States Department of Agriculture. Retrieved August 14, 2019, from http://health.gov/dietaryguidelines/2015/guidelines/.
Monteiro, C. A., Moubarac, J. C., Levy, R. B., Canella, D. S., Louzada, M. L. D. C., & Cannon, G. (2018). Household availability of ultra-processed foods and obesity in nineteen European countries. Public Health Nutrition,21, 18–26.
Monteiro, C. A., Cannon, G., Moubarac, J. C., Levy, R. B., Louzada, M. L. D. C., & Jaime, P. C. (2018). The UN Decade of Nutrition, the NOVA food classification and the trouble with ultra-processing. Public Health Nutrition,21, 5–17.
United States Department of Health and Human Services. (2014). Nutrition and weight status. Office of Disease Prevention and Health Promotion. Retrieved March 14, 2019, from https://www.healthypeople.gov/2020/topics-objectives/topic/nutrition-and-weight-status.
World Health Organization. (2018). Healthy diet. Retrieved January 22, 2019, from https://www.who.int/news-room/fact-sheets/detail/healthy-diet.
Fischer, C. G., & Garnett, T. Food and Agriculture Organization of the United Nations, University of Oxford, Food Climate Research Network. (2016). Plates, pyramids, and planets: developments in national healthy and sustainable dietary guidelines: a state of play assessment. Retrieved March 14, 2019, from http://www.fao.org/3/a-i5640e.pdf.
Food and Agriculture Organization of the United Nations. (2019). Food-based dietary guidelines. Retrieved January 22, 2019, from http://www.fao.org/nutrition/nutrition-education/food-dietary-guidelines/en/.
Haack, S. A., & Byker, C. J. (2014). Recent population adherence to and knowledge of United States federal nutrition guides, 1992–2013: a systematic review. Nutrition Reviews,72, 613–626.
United States Department of Agriculture. (2017). Healthy Hunger-Free Kids Act: Food and Nutrition Service. Retrieved 2019 Jan 26, from https://www.fns.usda.gov/school-meals/healthy-hunger-free-kids-act.
Schiller, J.S., Lucas, J.W., & Peregoy, J.A. (2012). Summary health statistics for U.S. adults: National Health Interview Survey, 2011. National Center for Health Statistics. Vital Health Stat 10(256).
Jernigan, V. B. B., Huyser, K. R., Valdes, J., & Simonds, V. W. (2017). Food Insecurity among American Indians and Alaska Natives: A National Profile using the Current Population Survey-Food Security Supplement. Journal of Hunger Environmental Nutrition,12, 1–10.
Must, A., Spadano, J., Coakley, E. H., Field, A. E., Colditz, G., & Dietz, W. H. (1999). The disease burden associated with overweight and obesity. JAMA,282, 1523–1529. https://doi.org/10.1001/jama.282.16.1523.
Park, S., Hongu, N., & Daily, J. W. (2016). Native American foods: History, culture, and influence on modern diets. Journal of Ethnic Foods,3, 171–177.
Compher, C. (2006). The nutrition transition in American Indians. Journal of Transcultural Nursing,17, 217–223.
Trude, A. C. B., Kharmats, A., Jock, B., et al. (2015). Patterns of food consumption are associated with obesity, self-reported diabetes and cardiovascular disease in five American Indian Communities. Ecology of Food and Nutrition,54, 437–454.
Baxter, A. R., Jacobowitz, G. R., Guo, Y., et al. (2017). Increased prevalence of moderate and severe peripheral arterial disease in the American Indian (AI)/Alaskan Native (AN) population; a study of 96,000 AI/AN. Annals of Vascular Surgery,38, 177–183.
Damman, S., Eide, W. B., & Kuhnlein, H. V. (2008). Indigenous peoples’ nutrition transition in a right to food perspective. Food Policy,33, 135–155.
Satia, J. A. (2010). Dietary acculturation and the nutrition transition: An overview. Applied Physiology, Nutrition and Metabolism,35, 219–223.
Popkin, B. M., Adair, L. S., & Ng, S. W. (2012). Now and then: The global nutrition transition: The pandemic of obesity in developing countries. Nutrition Reviews,70(1), 3–21.
Center for Disease Control. (2018). Traditional Foods Project, 2008-2014. Retrieved January 22, 2019, from https://www.cdc.gov/diabetes/ndwp/traditional-foods/index.html.
National Indian Council on Aging. (2016). Indigenous Foods: A path to healthy living. Retrieved January 22, 2019, from https://nicoa.org/wp-content/uploads/2016/07/Indigenous-Foods-A-Path-to-Heathy-Living.pdf.
Martin, D. L., & Goodman, A. H. (2002). Health conditions before Columbus: Paleopathology of native North Americans. Western Journal of Medicine,176, 65–68.
Kuhnlein, H.V., Erasmus, B., Spigelski, D., & Food and Agriculture Organization of the United Nations (Eds.). (2009). Indigenous peoples’ food systems: the many dimensions of culture, diversity and environment for nutrition and health, Reprinted. ed. Food and Agriculture Organization of the United Nations, Rome.
Wiedman, D. (2012). Native American embodiment of the chronicities of modernity: Reservation food, diabetes, and the metabolic syndrome among the Kiowa, Comanche, and Apache. Medical Anthropology Quarterly,26, 595–612.
Fleischhacker, S., Byrd, R. R., Ramachandran, G., et al. (2012). Tools for healthy tribes. American Journal of Preventive Medicine,43, S123–S129.
Kuhnlein, H. V., & Receveur, O. (1996). Dietary change and traditional food systems of indigenous peoples. Annual Review of Nutrition,16, 417–442.
Herforth, A., & Ahmed, S. (2015). The food environment, its effects on dietary consumption, and potential for measurement within agriculture-nutrition interventions. Food Security,7, 505–520.
Story, M., Kaphingst, K. M., Robinson-O’Brien, R., & Glanz, K. (2008). Creating healthy food and eating environments: Policy and environmental approaches. Annual Review of Public Health,29, 253–272.
Centers for Disease Control and Prevention. (2010). General food environment resources. Retrieved March 14, 2019, from https://www.cdc.gov/healthyplaces/healthtopics/healthyfood/general.htm.
Ahmed, S., & Herforth A. (2017). Missing wild and cultivated environments in food measures. Agriculture, Nutrition, & Health Academy. Retrieved March 14, 2019, from https://anh-academy.org/academy-news-events/blog/2017/08/30/missing-wild-and-cultivated-environments-food-environment.
Gurney, R. M., Caniglia, B. S., Mix, T. L., & Baum, K. A. (2015). Native American food security and traditional foods: A review of the literature: Native American food security and traditional foods. Sociology Compass,9, 681–693.
O’Connell, M., Buchwald, D. S., & Duncan, G. E. (2011). Food access and cost in American Indian communities in Washington state. Journal of the American Dietetic Association,111, 1375–1379.
Kaufman, P., Dicken, C., & Williams, R. (2014). Measuring access to healthful, affordable food in Native American and Alaska Native tribal areas. Report No. EIB-131. Washington, DC: U.S. Department of Agriculture, Economic Research Service.
Bauer, K. W., Widome, R., Himes, J. H., et al. (2012). High food insecurity and its correlates among families living on a rural American Indian reservation. American Journal of Public Health,102, 1346–1352.
Huet, C., Rosol, R., & Egeland, G. M. (2012). the prevalence of food insecurity is high and the diet quality poor in Inuit communities. The Journal of Nutrition,142, 541–547.
Drewnowski, A. (2009). Obesity, diets, and social inequalities. Nutrition Reviews,67, S36–S39.
Hanson, K. L., & Connor, L. M. (2014). Food insecurity and dietary quality in US adults and children: A systematic review. The American Journal of Clinical Nutrition,100, 684–692.
Christopher, S., Watts, V., McCormick, A. K. H. G., & Young, S. (2008). Building and maintaining trust in a community-based participatory research partnership. American Journal of Public Health,98, 1398–1406.
Davis, S. M., & Reid, R. (1999). Practicing participatory research in American Indian communities. The American Journal of Clinical Nutrition,69, 755S–759S.
Fialkowski, M. K., Okoror, T. A., & Boushey, C. J. (2012). The relevancy of community-based methods: Using diet within Native American and Alaska Native adult populations as an example. Clinical and Translational Science,5, 295–300.
Gallegos, D. (2004). Are our food guidelines culturally appropriate. Retrieved March 16, 2019, from https://chf.org.au/sites/default/files/ahc-2004-2-food-guidelines-appropriate.pdf.
Webster, R. (2018). Food reservations at the reservation? In B. A. Fiedler (Ed.), Translating National Policy to improve environmental conditions impacting public health through community planning (pp. 131–153). Cham: Springer.
Mihesuah, D. A. (2003). Decolonizing our diets by recovering our ancestors’ gardens. The American Indian Quarterly,27, 807–839.
Talahongva, P. (2018). No more “die bread”: How boarding schools impacted native diet and the resurgence of Indigenous Food Sovereignty. Journal of American Indian Education,57, 145–153.
Love, C. V., Taniguchi, T. E., Williams, M. B., et al. (2018). Diabetes and Obesity Associated with Poor Food Environments in American Indian communities: the THRIVE study. Current Developments in Nutrition,3(2), 63–68.
Bertron, P., Barnard, N. D., & Mills, M. (1999). Racial bias in federal nutrition policy, Part I: The public health implications of variations in lactase persistence. Journal of the National Medical Association,91, 151–157.
Swagerty, D. L., Walling, A. D., & Klein, R. M. (2002). Lactose intolerance. American Family Physician,65, 1845–1850.
Habte, T. Y., & Krawinkel, M. (2016). Dietary diversity score: a measure of nutritional adequacy or an indicator of healthy diet? Journal of Nutrition and Health Sciences,3, 303.
Leroy, J. L., Ruel, M., Frongillo, E. A., Harris, J., & Ballard, T. J. (2015). Measuring the food access dimension of food security: A critical review and mapping of indicators. Food and Nutrition Bulletin,36, 167–195.
M’Kaibi, F. K., Steyn, N. P., Ochola, S. A., & Plessis, L. D. (2017). The relationship between agricultural biodiversity, dietary diversity, household food security, and stunting of children in rural Kenya. Food Science & Nutrition,5, 243–254.
Du, L., Williams, T., Hawkins, A., McClung, S., Fisseha, T., & Danton, H. (2018). The effect of farmer nutrition schools on household food production and women’s dietary diversity in Bangladesh. World Nutrition,9, 89–108.
de Oliveira Otto, M. C., Padhye, N. S., Bertoni, A. G., Jacobs, D. R., Jr., & Mozaffarian, D. (2015). Everything in moderation—Dietary diversity and quality, central obesity and risk of diabetes. PLoS ONE,10, e0141341. https://doi.org/10.1371/journal.pone.0141341.
Conklin, A. I., Monsivais, P., Khaw, K. T., Wareham, N. J., & Forouhi, N. G. (2016). Dietary diversity, diet cost, and incidence of type 2 diabetes in the United Kingdom: a prospective cohort study. PLOS Medicine,13, e1002085.
Salehi-Abargouei, A., Akbari, F., Bellissimo, N., & Azadbakht, L. (2016). Dietary diversity score and obesity: A systematic review and meta-analysis of observational studies. European Journal of Clinical Nutrition,70, 1–9.
Confederated Salish & Kootenai Tribes. (2017). Confederated Salish & Kootenai Tribes of the Flathead Reservation. Retrieved October 31, 2017, from http://www.csktribes.org/.
United States Census Bureau. (2010). My tribal area. Retrieved October 31, 2017, from https://www.census.gov/tribal/?aianihh=1110.
Montana Reserved Water Rights Compact Commission. (2014). Report on the proposed water rights compact between the state of Montana and the Confederated Salish and Kootenai Tribes of the Flathead Reservation. Retrieved October 31, 2017, from http://dnrc.mt.gov/divisions/reserved-water-rights-compact-commission/docs/cskt/watercompactreport.pdf.
University of Wisconsin Population Health Institute. (2017). County health rankings. Retrieved October 31, 2017, from http://www.countyhealthrankings.org/app/montana/2017/measure/factors/139/data.
Holkup, P. A., Tripp-Reimer, T., Salois, E. M., & Weinert, C. (2004). Community-based Participatory Research. Advances in Nursing Science,27, 162–175.
Bickel, G., Nord, M., Price, C., Hamilton, W., & Cook, J. (2000). Guide to measuring household food security. Alexandria, VA: U.S. Department of Agriculture, Food and Nutrition Service.
National Cancer Institute. The Dietary Assessment Primer. 24-hour dietary recall (24HR) at a glance. Epidemiology and Genomics Research Program, National Cancer Institute Division of Cancer Control and Population Sciences. Retrieved October 31, 2017, from https://dietassessmentprimer.cancer.gov/profiles/recall/.
United States Department of Agriculture. (2016). Food patterns equivalents database. Agriculture Research Services. Retrieved December 30, 2016, from https://www.ars.usda.gov/northeast-area/beltsville-md/beltsville-human-nutrition-research-center/food-surveys-research-group/docs/fped-overview.
Guenther, P. M., Kirkpatrick, S. I., Reedy, J., et al. (2014). The Healthy Eating Index-2010 is a valid and reliable measure of diet quality according to the 2010 Dietary Guidelines for Americans. The Journal of Nutrition,144, 399–407.
Dietary Guidelines Advisory Committee. (2010). Report of the Dietary Guidelines Advisory Committee on the Dietary Guidelines for Americans, 2010, to the Secretary of Agriculture and the Secretary of Health and Human Services. Agricultural Research Service. Retrieved August 15, 2019, from https://www.nutriwatch.org/05Guidelines/dga_advisory_2010.pdf.
National Cancer Institute. (2016). HEI tools for researchers. Division of Cancer Control and Population Sciences. Epidemiology and Genomics Research Program. Retrieved December 30, 2016, from https://epi.grants.cancer.gov/hei/tools.html.
Kennedy, G. Ballard, T. Dop, M. C., Nutrition and Consumer Protection Division, & Food and Agriculture Organization of the United Nations. (2013). Guidelines for measuring household and individual dietary diversity Reprint.: Office of Knowledge Exchange, Research and Extension of the United Nations. Rome, Italy, Retrieved August 15, 2019, http://www.fao.org/docrep/014/i1983e/i1983e00.htm.
Arimond, M., Wiesmann, D., Becquey, E., et al. (2010). simple food group diversity indicators predict micronutrient adequacy of women’s diets in 5 diverse, resource-poor settings. The Journal of Nutrition,140, 2059S–2069S.
Nguyen, B. T., Shuval, K., Bertmann, F., & Yaroch, A. L. (2015). The Supplemental Nutrition Assistance Program, food insecurity, dietary quality, and obesity among us adults. American Journal of Public Health,105, 1453–1459.
United States Department of Agriculture. (2019). HEI scores for Americans. Food and Nutrition Service. Retrieved August 15, 2019, from https://www.fns.usda.gov/hei-scores-americans.
United States Department of Agriculture. (2016.) Key statistics & graphics. Economic Research Service. Retrieved August 15, 2019, from https://www.ers.usda.gov/topics/food-nutrition-assistance/food-security-in-the-us/key-statistics-graphics.aspx.
McGuire, S. (2013). State indicator report on fruits and vegetables, 2013, Centers for Disease Control and Prevention, Atlanta, GA. Advances in Nutrition,4, 665–666.
Moore, L. V., & Thompson, F. E. (2015). Adults meeting fruit and vegetable intake recommendations—United States, 2013. Centers for Disease Control and Prevention—Morbidity and Mortality Weekly Report,64, 709–713.
Altman, J. M. & United States Department of Agriculture Food and Nutrition Service. (2008). Increasing fruit and vegetable consumption through the USDA nutrition assistance programs: a progress report. Retrieved August 15, 2019, from https://fns-prod.azureedge.net/sites/default/files/fruit_veggie_report.pdf.
United States Congress. (1974). Commodity distribution and food stamp programs: Hearings, Ninety-third Congress, Second Session, on S. 2871. Washington: United States Government. Print. Off.
United States Department of Agriculture. Food Distribution Program on Indian Reservations (FDPIR). Food and Nutrition Service. Retrieved August 15, 2019, from https://www.fns.usda.gov/fdpir/food-distribution-program-indian-reservations
Byker Shanks, C., Smith, T., Ahmed, S., & Hunts, H. (2016). Assessing foods offered in the Food Distribution Program on Indian Reservations (FDPIR) using the Healthy Eating Index 2010. Public Health Nutrition,19, 1315–1326.
Finegold K, Pindus N, Levy D, Tannehill T, & Hillabrant W. (2009). Tribal food assistance: a comparison of the Food Distribution Program on Indian Reservations (FDPIR) and the Supplemental Nutrition Assistance Program (SNAP). Washington, DC: The Urban Institute. Retrieved August 15, 2019, from https://www.urban.org/sites/default/files/publication/28396/412034-Tribal-Food-Assistance.PDF.
Byker Shanks, C., Ahmed, S., Smith, T., et al. (2015). Availability, price, and quality of fruits and vegetables in 12 rural Montana counties, 2014. Preventing Chronic Disease,12, E128.
Ahmed, S., Shanks, C. B., Smith, T., & Shanks, J. (2018). Fruit and vegetable desirability is lower in more rural built food environments of Montana, USA using the Produce Desirability (ProDes) Tool. Food Security,10, 169–182.
Ahmed, S., & Byker Shanks, C. (2017). Quality of vegetables based on total phenolic concentration is lower in more rural consumer food environments in a rural American state. International Journal of Environmental Research and Public Health,14, E924.
Wilson, M. M., Reedy, J., & Krebs-Smith, S. M. (2016). American diet quality: Where it is, where it is heading, and what it could be. Journal of the Academy of Nutrition and Dietetics,116, e302–e310.
Sinha, R., Cross, A. J., Graubard, B. I., Leitzmann, M. F., & Schatzkin, A. (2009). Meat intake and mortality: a prospective study of over half a million people. Archives of Internal Medicine,169, 562–571.
Mertz, W., Tsui, J. C., Judd, J. T., et al. (1991). What are people really eating? The relation between energy intake derived from estimated diet records and intake determined to maintain body weight. The American Journal of Clinical Nutrition,54, 291–295.
Briefel, R. R., Sempos, C. T., McDowell, M. A., Chien, S., & Alaimo, K. (1997). Dietary methods research in the third National Health and Nutrition Examination Survey: underreporting of energy intake. American Journal of Clinical Nutrition,65, 1203S–1209S.
Acknowledgements
The authors are grateful to the study participants for sharing their time. In addition, the authors are grateful to the community members of the Flathead Nation who collaborated on this study by providing their knowledge, perspectives, and time including their Community Advisory Board and the Tribal Council. The authors would like to extend gratitude to the research assistants and collaborators at Salish and Kootenai College and the Montana State University Food and Health Lab that supported with this work. This work was supported by National Institute of General Medical Sciences of the National Institutes of Health under Award Number P20GM103474 and Award Number 5P20GM104417. The content presented here is solely the responsibility of the authors and does not represent the official views of the National Institutes of Health.
Funding
CBS, SA, and MT received funding support for this work from National Institute of General Medical Sciences of the National Institutes of Health under Award Number P20GM103474 and Award Number 5P20GM104417. The content presented here is solely the responsibility of the authors and does not represent the official views of the National Institutes of Health.
Author information
Authors and Affiliations
Contributions
Designed research: CBS, SA, MT. Data collection: CBS, MR, BH. Analyzed data: CBS, SA, TG. Wrote the manuscript: CBS and SA with contributions from all authors. Created graphs and tables: CBS, SA, TG. Interpreted data: CBS, SA, VD, MT, MRC, BH, TG. All authors have read and approved the final manuscript.
Corresponding author
Ethics declarations
Conflict of interest
Carmen Byker Shanks, Selena Ahmed, Virgil Dupuis, Mike Tryon, MaryAnn Running Crane, Bailey Houghtaling, Teresa Garvin have no conflict of interest.
Additional information
Publisher's Note
Springer Nature remains neutral with regard to jurisdictional claims in published maps and institutional affiliations.
Rights and permissions
About this article
Cite this article
Byker Shanks, C., Ahmed, S., Dupuis, V. et al. Dietary Quality Varies Among Adults on the Flathead Nation of the Confederated Salish and Kootenai Tribes in Montana. J Community Health 45, 388–399 (2020). https://doi.org/10.1007/s10900-019-00753-3
Published:
Issue Date:
DOI: https://doi.org/10.1007/s10900-019-00753-3
Keywords
- Food security
- Dietary guidelines
- Healthy Eating Index
- Dietary diversity
- Native American