Skip to main content

Self-Directed Gambling Changes: Trajectory of Problem Gambling Severity in Absence of Treatment

A Publisher Correction to this article was published on 19 May 2018

This article has been updated

Abstract

Most problem gamblers do not seek formal treatment, recovering on their own through cognitive re-appraisal or self-help strategies. Although barriers to treatment have been extensively studied, there is a paucity of research on self-directed changes in problem gambling and very few studies have examined these changes prospectively. The aim of this study was to examine the trajectory of gambling severity and behavior change over an 18-month period, among a sample of non-treatment seeking/attending problem gamblers recruited from the community (N = 204) interested in quitting or reducing gambling. Separate mixed effects models revealed that in absence of formal treatment, significant reductions in gambling severity, frequency, and amount gambled could be observed over the course of a 6 to 9-month period and that changes experienced within the first 12 months were maintained for an extended 6 months. Problem gambling severity at baseline was significantly associated with changes in severity over time, such that participants with more severe gambling problems demonstrated greater reductions in their gambling severity over time. A total of 11.1% of participants gambled within a low-risk threshold at 18 months, although 28.7% of the sample reported consecutive gambling severity scores below problem levels for the duration of 1 year or longer. The findings suggest that among problem gamblers motivated to quit or reduce their gambling, significant self-directed changes in gambling severity can occur over a relatively short time. Additional prospective studies are needed to document the role of specific self-help tools or thought processes in exacting gambling changes.

This is a preview of subscription content, access via your institution.

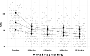
Fig. 1
Fig. 2
Fig. 3

Change history

  • 19 May 2018

    The original version of this article unfortunately contained errors in the Methods section. The citations blinded during the review process were inadvertently omitted during the production process and subsequent stages.

References

  • Abbott, M. W., Bellinger, M., Garrett, N., & Mundy-McPherson, S. (2016). New Zealand national gambling study: Report number 5. Auckland, New Zealand: Auckland University of Technology: Gambling and Addictions Research Centre.

  • Billi, R., Stone, C. A., Marden, P., & Yeung, K. (2014). The Victorian Gambling Study. A longitudinal study of gambling and health in Victoria, 2008–2012. Victoria, Australia: Victorian Responsible Gambling Foundation.

  • Cunningham, J. A., Hodgins, D. C., Toneatto, T., & Murphy, M. (2012). A randomized controlled trial of a personalized feedback intervention for problem gamblers. PLoS ONE, 7(2), e31586. https://doi.org/10.1371/journal.pone.0031586.

    CAS  Article  PubMed  PubMed Central  Google Scholar 

  • Currie, S. R., Hodgins, D. C., & Casey, D. M. (2013). Validity of the Problem Gambling Severity Index interpretive categories. Journal of Gambling Studies, 29(2), 311–327.

    Article  Google Scholar 

  • Currie, S. R., Hodgins, D. C., Wang, J., el-Guebaly, N., Wynne, H., & Chen, S. (2006). Risk of harm among gamblers in the general population as a function of level of participation in gambling activities. Addiction, 101(4), 570–580.

    Article  Google Scholar 

  • el-Guebaly, N., Casey, D. M., Currie, S. R., Hodgins, D. C., Schopflocher, D. P., Smith, G. J., et al. (2015). The Leisure, Lifestyle, and Lifecycle Project (LLLP): A longitudinal study of gambling in Alberta. https://dspace.ucalgary.ca/bitstream/1880/50377/1/LLLP_Final_Report_Feb21_2015_V4.pdf.

  • Ferris, J., & Wynne, H. (2001). The Canadian problem gambling index: Final report. Canadian Centre on Substance Abuse.

  • Gainsbury, S., Hing, N., & Suhonen, N. (2014). Professional help-seeking for gambling problems: Awareness, barriers and motivators for treatment. Journal of Gambling Studies, 30(2), 503–519. https://doi.org/10.1007/s10899-013-9373-x.

    Article  PubMed  PubMed Central  Google Scholar 

  • Hing, N., Nuske, E., & Gainsbury, S. (2011). Gamblers at-risk and their helpseeking behaviour. https://www.gamblingresearch.org.au/publications/gamblers-at-risk-and-their-help-seeking-behaviour-2011. Accessed 6 June 2017.

  • Hodgins, D. C., & el-Guebaly, N. (2000). Natural and treatment-assisted recovery from gambling problems: A comparison of resolved and active gamblers. Addiction, 95, 777–789.

    CAS  Article  Google Scholar 

  • Hodgins, D. C., Fick, G. H., Murray, R., & Cunningham, J. A. (2013). Internet-based interventions for disordered gamblers: Study protocol for a randomized controlled trial of online self-directed cognitive-behavioural motivational therapy. BMC Public Health, 13, 10. https://doi.org/10.1186/1471-2458-13-10.

    Article  PubMed  PubMed Central  Google Scholar 

  • Kim, H. S., Wohl, M. J., Salmon, M., & Santesso, D. (2017). When do gamblers help themselves? Self-discontinuity increases self-directed change over time. Addictive Behaviors, 64, 148–153. https://doi.org/10.1016/j.addbeh.2016.08.037.

    Article  PubMed  Google Scholar 

  • Klingemann, H., Sobell, M. B., & Sobell, L. C. (2010). Continuities and changes in self-change research. Addiction, 105(9), 1510–1518.

    Article  Google Scholar 

  • Kushnir, V., Cunningham, J. A., & Hodgins, D. C. (2013). A prospective natural history study of quitting or reducing gambling with or without treatment: Protocol. JMIR Research Protocols, 2(2), e51. https://doi.org/10.2196/resprot.2727.

    Article  PubMed  PubMed Central  Google Scholar 

  • Luce, C., Nadeau, L., & Kairouz, S. (2016). Pathways and transitions of gamblers over two years. International Gambling Studies, 16(3), 357–372.

    Article  Google Scholar 

  • Responsible Gambling Council. (2016). Responsible Gambling Council Annual Report 2015–2016. http://www.responsiblegambling.org/docs/default-source/rgc-research/rgc-ar-2015-2016.pdf?sfvrsn=abc5193c_14. Accessed 23 February 2018.

  • Rodda, S., Lubman, D. I., Dowling, N. A., Bough, A., & Jackson, A. C. (2013). Web-based counseling for problem gambling: Exploring motivations and recommendations. Journal of Medical Internet Research, 15(5), e99. https://doi.org/10.2196/jmir.2474.

    Article  PubMed  PubMed Central  Google Scholar 

  • Slutske, W. S. (2006). Natural recovery and treatment-seeking in pathological gambling: Results of two U.S. national surveys. American Journal of Psychiatry, 163, 297–302.

    Article  Google Scholar 

  • Slutske, W. S., Blaszczynski, A., & Martin, N. G. (2009). Sex differences in the rates of recovery, treatment-seeking, and natural recovery from pathological gambling: Results from an Australian community-based twin survey. Twin Research and Human Genetics, 12(5), 425–432.

    Article  Google Scholar 

  • Slutske, W. S., Jackson, K. M., & Sher, K. J. (2003). The natural history of problem gambling from age 18 to 29. Journal of Abnormal Psychology, 112(2), 263–274.

    Article  Google Scholar 

  • Slutske, W. S., Piasecki, T. M., Blaszczynski, A., & Martin, N. G. (2010). Pathological gambling recovery in the absence of abstinence. Addiction, 105(12), 2169–2175.

    Article  Google Scholar 

  • Suurvali, H., Cordingley, J., Hodgins, D. C., & Cunningham, J. (2009). Barriers to seeking help for gambling problems: A review of the empirical literature. Journal of Gambling Studies, 25(3), 407–424. https://doi.org/10.1007/s10899-009-9129-9.

    Article  PubMed  Google Scholar 

  • Toneatto, T., Cunningham, J., Hodgins, D., Adams, M., Turner, N., & Koski-Jannes, A. (2008). Recovery from problem gambling without formal treatment. Addiction Research & Theory, 16(2), 111–120.

    Article  Google Scholar 

  • Wandersleben, E. (2015). New Ohio problem gambling awareness campaign launched. http://mha.ohio.gov/Portals/0/assets/News/pressReleases/Be-the-95-percent-press-release-8-25.pdf. Accessed 23 February 2018.

  • Wiebe, J., Maitland, S. B., Hodgins, D., Davey, A., & Gottlieb, B. (2009). Transitions and stability of problem gambling behaviours. Winnipeg, MB: Addictions Foundation of Manitoba.

    Google Scholar 

  • Williams, R. J., Hann, R. G., Schopflocher, D., West, B., McLaughlin, P., White, N., et al. (2015). Quinte longitudinal study of gambling and problem gambling. http://hdl.handle.net/10133/3641.

Download references

Acknowledgements

This research was funded by Gambling Research Exchange Ontario (formerly the Ontario Problem Gambling Research Centre). The views expressed in this article do not necessarily reflect those of Gambling Research Exchange Ontario. We would also like to thank Marcos Sanches, Statistician at the Centre for Addiction and Mental Health, for assistance with statistical analysis in this study.

Funding

This research was funded by the Ontario Problem Gambling Research Centre.

Author information

Affiliations

Authors

Corresponding author

Correspondence to Vladyslav Kushnir.

Ethics declarations

Conflict of interest

The authors declare that they have no conflict of interest.

Ethical Approval

All procedures performed in this study were in accordance with the ethical standards of the institutional and/or national research committee and with the 1964 Helsinki declaration and its later amendments or comparable ethical standards. This article does not contain any studies with animals performed by any of the authors.

Additional information

The original version of this article was revised: The incorrect reference citations in text have been corrected.

Electronic supplementary material

Below is the link to the electronic supplementary material.

Supplementary material 1 (DOCX 14 kb)

Rights and permissions

Reprints and Permissions

About this article

Verify currency and authenticity via CrossMark

Cite this article

Kushnir, V., Godinho, A., Hodgins, D.C. et al. Self-Directed Gambling Changes: Trajectory of Problem Gambling Severity in Absence of Treatment. J Gambl Stud 34, 1407–1421 (2018). https://doi.org/10.1007/s10899-018-9769-8

Download citation

  • Published:

  • Issue Date:

  • DOI: https://doi.org/10.1007/s10899-018-9769-8

Keywords

  • Self-directed change
  • Natural recovery
  • Gambling severity
  • Problem gambling
  • Prospective study