Abstract
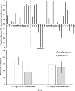
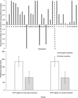
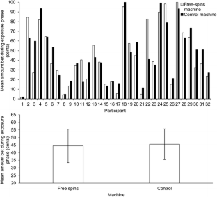
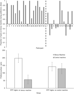
Despite increasing research into how the structural characteristics of slot machines influence gambling behaviour there have been no experimental investigations into the effect of free-spins bonus features—a structural characteristic that is commonly central to the design of slot machines. This series of three experiments investigated the free-spins feature using slot machine simulations to determine whether participants allocate more wagers to a machine with free spins, and, which components of free-spins features drive this preference. In each experiment, participants were exposed to two computer-simulated slot machines—one with a free-spins feature or similar bonus feature and one without. Participants then completed a testing phase where they could freely switch between the two machines. In Experiment 1, participants did not prefer the machine with a simple free-spins feature. In Experiment 2 the free-spins feature incorporated additional elements such as sounds, animations, and an increased win frequency; participants preferred to gamble on this machine. The Experiment 3 “bonus feature” machine resembled the free spins machine in Experiment 2 except spins were not free; participants showed a clear preference for this machine also. These findings indicate that (1) free-spins features have a major influence over machine choice and (2) the “freeness” of the free-spins bonus features is not an important driver of preference, contrary to self-report and interview research with gamblers.
This is a preview of subscription content, access via your institution.







References
Brandt, A. E., & Pietras, C. J. (2008). Gambling on a simulated slot machine under conditions of repeated play. The Psychological Record, 58, 405–426.
Coates, E., & Blaszczynski, A. (2013). An analysis of switching and non-switching slot machine player behaviour. Journal of Gambling Studies, 29, 631–645. doi:10.1007/s10899-012-9329-6.
Coates, E., & Blaszczynski, A. (2014). Predictors of return rate discrimination in slot machine play. Journal of Gambling Studies, 30, 669–683. doi:10.1007/s10899-013-9375-8.
Côté, D., Caron, A., Aubert, J., Desrochers, V., & Ladouceur, R. (2003). Near wins prolong gambling on a video lottery terminal. Journal of Gambling Studies, 19, 433–438. doi:10.1023/A:1026384011003.
Dixon, M. J., Harrigan, K. A., Sandhu, R., Collins, K., & Fugelsang, J. A. (2010). Losses disguised as wins in modern multi-line video slot machines. Addiction, 105, 1819–1824. doi:10.1111/j.1360-0443.2010.03050.x.
Dixon, M. R., MacLin, O. H., & Daugherty, D. (2006). An evaluation of response allocations to concurrently available slot machine simulations. Behavior Research Methods, 38, 232–236. doi:10.3758/bf03192774.
Dowling, N., Smith, D., & Thomas, T. (2005). Electronic gaming machines: Are they the ‘crack-cocaine’of gambling? Addiction, 100, 33–45. doi:10.1111/j.1360-0443.2005.00962.x.
Gainsbury, S. M., Russell, A., & Blaszczynski, A. (2014). Are psychology university student gamblers representative of non-university students and general gamblers? A comparative analysis. Journal of Gambling Studies, 30, 11–25. doi:10.1007/s10899-012-9334-9.
Giroux, I., & Ladouceur, R. (2006). The effect of near wins on the choice of a video lottery terminal. Gambling Research, 18, 69.
Griffiths, M. (1993). Fruit machine gambling: The importance of structural characteristics. Journal of Gambling Studies, 9, 101–120. doi:10.1007/BF01014863.
Haw, J. (2008). The relationship between reinforcement and gaming machine choice. Journal of Gambling Studies, 24, 55–61. doi:10.1007/s10899-007-9073-5.
Kurucz, G., & Körmendi, A. (2012). Can we perceive near miss? An empirical study. Journal of Gambling Studies, 28, 105–111. doi:10.1007/s10899-011-9240-6.
Landon, J., Palmer du Preez, K., Page, A., Bellringer, M., Roberts, A., & Abbott, M. (2016). Electronic Gaming Machine characteristics: it’s the little things that count. International Journal of Mental Health and Addiction,. doi:10.1007/s11469-016-9666-2.
Leino, T., Torsheim, T., Blaszczynski, A., Griffiths, M., Mentzoni, R., Pallesen, S., & Molde, H. (2015). The relationship between structural game characteristics and gambling behavior: A population-level study. Journal of Gambling Studies, 31, 1297–1315. doi:10.1007/s10899-014-9477-y.
Lesieur, H., & Blume, S. (1987). The South Oaks Gambling Screen (SOGS). American Journal of Psychiatry, 144, 1184–1188. doi:10.1176/ajp.144.9.1184.
Li, E., Rockloff, M. J., Browne, M., & Donaldson, P. (2015). Jackpot structural features: Rollover effect and goal-gradient effect in EGM gambling. Journal of Gambling Studies,. doi:10.1007/s10899-015-9557-7.
Livingstone, C., Woolley, R., Zazryn, T., Bakacs, L., & Shami, R. (2008). The relevance and role of gaming machine games and game features on the play of problem gamblers. South Australia, Australia: Independent Gambling Authority.
Millhouse, H., & Delfabbro, P. (2008). Investigating preferences for gaming machine features in problem and non-problem gamblers using a consumer choice methodology. Gambling Research, 20, 37–49.
Parke, J., & Griffiths, M. (2006). The psychology of the fruit machine: The role of structural characteristics (revisited). International Journal of Mental Health and Addiction, 4, 151–179. doi:10.1007/s11469-006-9014-z.
Rockloff, M. J., Signal, T., & Dyer, V. (2007). Full of sound and fury, signifying something: The impact of autonomic arousal on EGM gambling. Journal of Gambling Studies, 23, 457–465. doi:10.1007/s10899-007-9061-9.
Schreiber, J., & Dixon, M. R. (2001). Temporal characteristics of slot machine play in recreational gamblers. Psychological Reports, 89, 67–72. doi:10.2466/pr0.2001.89.1.67.
Templeton, J. A., Dixon, M. J., Harrigan, K. A., & Fugelsang, J. A. (2015). Upping the reinforcement rate by playing the maximum lines in multi-line slot machine play. Journal of Gambling Studies, 31, 949–964. doi:10.1007/s10899-014-9446-5.
Walker, M. (2004). The seductiveness of poker machines. Gambling Research, 16, 52–66.
Weatherly, J. N., & Brandt, A. E. (2004). Participants’ sensitivity to percentage payback and credit value when playing a slot-machine simulations. Behavior and Social Issues, 13, 33–50. doi:10.5210/bsi.v13i1.34.
Wilkes, B. L., Gonsalvez, C. J., & Blaszczynski, A. (2010). Capturing SCL and HR changes to win and loss events during gambling on electronic machines. International Journal of Psychophysiology, 78, 265–272. doi:10.1016/j.ijpsycho.2010.08.008.
Young, M. M., Wohl, M. J., Matheson, K., Baumann, S., & Anisman, H. (2008). The desire to gamble: The influence of outcomes on the priming effects of a gambling episode. Journal of Gambling Studies, 24, 275–293. doi:10.1007/s10899-008-9093-9.
Acknowledgments
This manuscript was completed with the support of a Victoria University of Wellington Doctoral Scholarship, and a 2014 Te Rau Matatini Problem Gambling Scholarship.
Author information
Authors and Affiliations
Corresponding author
Ethics declarations
Conflict of interest
The authors declare they have no conflicts of interest.
Ethical approval
All procedures performed in studies involving human participants were in accordance with the ethical standards of Victoria University of Wellington’s School of Psychology Human Ethics Committee under delegated authority of Victoria University of Wellington’s Human Ethics Committee and with the 1964 Helsinki declaration and its later amendments or comparable ethical standards.
Rights and permissions
About this article
Cite this article
Taylor, L.F., Macaskill, A.C. & Hunt, M.J. Realistic Free-Spins Features Increase Preference for Slot Machines. J Gambl Stud 33, 555–577 (2017). https://doi.org/10.1007/s10899-016-9630-x
Published:
Issue Date:
DOI: https://doi.org/10.1007/s10899-016-9630-x
Keywords
- Gambling
- Slot machines
- Free spins
- Bonus features
- EGMs