Abstract
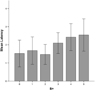
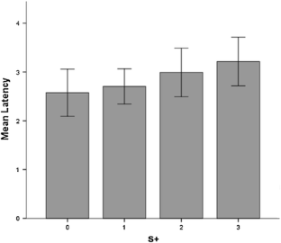
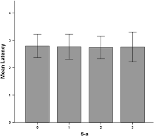
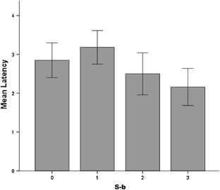
The purpose of the present study was to evaluate the development of the near miss effect in slot machine gambling as a product of stimulus generalization from total wins. The study was conducted across two experiments. Twelve college students participated in the first experiment, which demonstrated that greater post-reinforcement pauses followed losing outcomes that were formally similar to total wins, relative to losing outcomes that were formally dissimilar [F (5, 7) = 5.24, p = .025] along a generalization gradient (R 2 = .96). Additionally, 11 out of 12 participants showed greater response latencies following near-misses than following total wins. Thirteen college students participated in the second experiment, which demonstrated that symbols that more saliently indicated a loss resulted in lower response latencies than functionally equivalent but visually dissimilar losing symbols [F (3, 10) = 15.50, p = .01]. A generalization gradient was observed across winning symbols (R 2 = .98), and an inverse of the gradient observed across winning symbols was observed across symbols that were the least formally similar (R 2 = .69). The present study replicates and extends previous research on near misses in slot machine gambling, and provides discussion around the clinical utility of such findings on the prevention of problem gambling.
This is a preview of subscription content, access via your institution.












References
Abbott, M. W. (2001). Problem and non-problem gamblers in New Zealand: A report on phase two of the 1999 national prevalence survey. Report number six of the New Zealand gaming surve. Wellington: Department of Internal Affairs.
Billieux, J., Van der Linden, M., Khazaal, Y., Zullino, D., & Clark, L. (2012). Trait gambling cognitions predict near-miss experiences and persistence in laboratory slot machine gambling. British Journal of Psychology, 103, 412–427.
Bouton, M. E. (1993). Context, time, and memory retrieval in the inference paradigms of Pavlovian learning. Psychological Bulletin, 114(1), 80–99.
Clark, L. (2010). Decision-making during gambling: an integration of cognitive and psychobiological approaches. Philosophical Transactions of the Royal Society of London. Series B, Biological sciences, 365, 319–330.
Clark, L., Crooks, B., Clarke, R., Aitken, M. R. F., & Dunn, B. D. (2011). Physiological responses to near-miss outcomes and personal control during simulated gambling. Journal of Gambling Studies, 28, 123–137.
Clark, L., Lawrence, A. J., Astley-Jones, F., & Gray, N. (2009). Gambling near-misses enhance motivation to gamble and recruit win-related brain circuitry. Neuron, 61, 481–490.
Cote, D., Caron, A., Aubert, J., Desrochers, V., & Ladouceur, R. (2003). Near miss prolong gambling on a video lottery terminal. Journal of Gambling Studies, 19(4), 433–438.
Delfabbro, P. H., & Winefield, A. H. (1999). Poker machine gambling: An analysis of within session characteristics. British Journal of Psychology, 90, 425–439.
Dixon, M. J., MacLaren, V., Jarick, M., Fugelsang, J. A., & Harrigan, K. A. (2012). The frustrating effects of just missing the jackpot: Slot machine near-misses trigger large skin conductance responses, but no post reinforcement pauses. Journal of Gambling Studies. doi:10.1007/s10899-012-9333-x.
Dixon, M. R., & MacLin, O. H. (2003). Visual basic 2005 for psychologists. Reno, NV: Context Press.
Dixon, M. R., & Schreiber, J. B. (2002). Utilizing a computerized video poker simulation for the collection of data on gambling behavior. The Psychological Record, 52, 417–428.
Dixon, M. R., & Schreiber, J. E. (2004). Near-miss effects on response latencies and win estimations of slot machine players. The Psychological Record, 45, 335–348.
Felton, M., & Lyon, D. O. (1966). The post reinforcement pause. Journal of the Experimental Analysis of Behavior, 9(2), 131–134.
Foxall, G. R., & Sigurdsson, V. (2012). When loss rewards: The near-miss effect in slot machine gambling. Analysis of Gambling Behavior, 6, 5–22.
Ghirlanda, S., & Enquist, M. (2003). A century of generalization. Animal Behaviour, 66(1), 15–36.
Griffiths, M. (1991). Psychobiology of the near-miss in fruit machine gambling. Journal of Psychology, 125, 347–357.
Habib, R., & Dixon, M. R. (2010). Neurobehavioral evidence for the “near-miss” effect in pathological gamblers. Journal of the Experimental Analysis of Behavior, 93, 313–328.
Harrigan, K. A., & Dixon, M. (2010). Government sanctioned “tight” and “loose” slot machines: How having multiple versions of the same slot machine game may impact problem gambling. Journal of Gambling Studies, 26, 159–174.
Hineline, P. N. (1977). Negative reinforcement and avoidance. In W. K. Honig & J. E. R. Staddon (Eds.), Handbook of operant behavior. New York: Prentice Hall.
Hoon, A., Dymond, S., Jackson, J. W., & Dixon, M. R. (2008). Contextual control of slot-machine gambling: replication and extension. Journal of Applied Behavior Analysis, 41, 467–470.
Kassinove, H. I., & Schare, M. L. (2001). Effects of the near-miss and the big win on persistence at slot-machine gambling. Psychology and Addictive Behavior, 15, 155–158.
Ladouceur, R., & Walker, M. (1996). A cognitive perspective on gambling. In P. M. Salkavskis (Ed.), Trends in cognitive and behavioural therapies. Chichester, UK: Wiley.
Langer, E. J. (1975). The illusion of control. Journal of Personality and Social Psychology, 32, 311–328.
Lesieur, H. R., & Blume, S. B. (1987). The south oaks gambling screening (SOGS): A new instrument for the identification of pathological gamblers. American Journal of Psychiatry, 144(9), 1184–1188.
MacLin, O. H., & Dixon, M. R. (2004). A computerized simulation for investigating gambling behavior during roulette play. Behavior Research Methods, Instruments, and Computers, 36(1), 96–100.
MacLin, O. H., Dixon, M. R., Daugherty, D., & Small, S. L. (2007). Using a computer simulation of three slot machines to investigate a gambler’s preference among varying densities of near-miss alternatives. Behavioral Research Methods, 39(2), 237–241.
MacLin, O. H., Dixon, M. R., & Hayes, L. J. (1999). A computerized slot machine simulation to investigate the variables involved in gambling behavior. Behavior Research Methods, 31(4), 731–734.
Nastally, B. L., & Dixon, M. R. (2012). The effect of a brief acceptance and commitment therapy intervention on the near miss effect in problem gamblers. Psychological Record, 62(4), 677–690.
Parke, A., & Griffiths, M. (2004). Gambling addiction and the evolution of the “near-miss”. Addiction Research and Therapy, 12, 407–411.
Peters, H., Hunt, M., & Harper, D. (2010). An animal model of slot machine gambling: The effect of structural characteristics on response latency and persistence. Journal of Gambling Studies, 26(4), 521–531.
Potenza, M. N. (2014). The neural bases of cognitive processes in gambling disorder. Trends in Cognitive Sciences, 18(8), 429–438.
Reid, R. L. (1986). The psychology of the near miss. Journal of Gambling Behavior, 2(1), 32–39.
Schull, N. D. (2012). Addiction by design: Machine gambling in Las Vegas. Princeton, NJ: Princeton University Press.
Schreiber, J., & Dixon, M. R. (2001). Temporal characteristics of behavior on random-ratio schedules observed during slot machine play. Psychological Reports, 89, 67–72.
Skinner, B. F. (1953). Science and human behavior. New York, NY: Appleton Century-Crofts.
Author information
Authors and Affiliations
Corresponding author
Rights and permissions
About this article
Cite this article
Belisle, J., Dixon, M.R. Near Misses in Slot Machine Gambling Developed Through Generalization of Total Wins. J Gambl Stud 32, 689–706 (2016). https://doi.org/10.1007/s10899-015-9554-x
Published:
Issue Date:
DOI: https://doi.org/10.1007/s10899-015-9554-x
Keywords
- Near misses
- Gambling
- Generalization
- Discrimination
- Slot machine