Skip to main content

Solvent Dependent Linear and Nonlinear Optical Characteristics of Acid Blue 3 Dye

Abstract

The polar solvents dependent linear and third-order nonlinear optical (NLO) characteristics of acid blue 3 (AB 3) dye has been reported in this paper. A low power continuous wave (CW) diode laser working at 635 nm wavelength was used to perform the Z-scan experiments in the present study. AB 3 dye was dissolved with different polar solvents of 1-propanol, ethanol, dimethyl sulfonate (DMSO) and water at a concentration of 0.01 mM. The nonlinear index of refraction (n2) of AB 3 dye was ascribed to self-defocusing effect, and nonlinear coefficient of absorption (β) signifies the behaviors of saturable and reverse saturable absorption. The real and imaginary components of the third-order NLO susceptibility of AB 3 dye in the present polar solvents have been measured to be of the order of 10─6 esu. The influence of polar solvents on third-order NLO susceptibility of the dye sample studied has been discussed. The second-order hyperpolarizability (γ) of AB 3 dye has also been studied and estimated to be of the order of 10─30 esu. The experimental results suggest that AB 3 dye may be a promising candidate for applications in nonlinear optics.

This is a preview of subscription content, access via your institution.

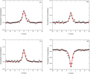
Fig. 1
Fig. 2
Fig. 3
Fig. 4
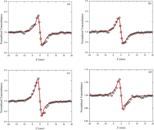
Fig. 5
Fig. 6
Fig. 7

References

  1. Bredas JL, Adant C, Tackx P, Persoons A (1994) Third-order nonlinear optical response in organic materials: theoretical and experimental aspects. Chem Rev 94:243–278. https://doi.org/10.1021/cr00025a008

    CAS  Article  Google Scholar 

  2. Manjunatha KB, Rajarao R, Umesh G, Ramachandra Bhat B, Poornesh P (2017) Optical nonlinearity, limiting and switching characteristics of novel ruthenium metal-organic complex. Opt Mater 72:513–517. https://doi.org/10.1016/j.optmat.2017.06.051

    CAS  Article  Google Scholar 

  3. Adhikari S, Kar T, Seth SK (2016) Syntheis, crystal growth and characterization of di-valine maleic- a new nonlinear optical materials. RSC Adv 6:99139–99148. https://doi.org/10.1039/c6ra21466e

    CAS  Article  Google Scholar 

  4. Xu J, Semin S, Niedzialek D, Kouwer PHJ, Fron E, Coutino E, Savoini M, Li Y, Hofkens J, Uji-I H, Beljonne D, Rasing T, Rowsan AE (2013) Self-assembled organic microfibers for nonlinear optics. Adv Mater 25:2084–2089. https://doi.org/10.1002/adma.201204237

    CAS  Article  PubMed  Google Scholar 

  5. Sreenath MC, Hubert Joe I, Rastogi VK (2018) Third-order optical nonlinearities of 1,-diaminoanthraquinone for optical limiting applications. Opt Laser Technol 108:218–234. https://doi.org/10.1016/j.optlastec.2018.06.056

    CAS  Article  Google Scholar 

  6. Geethakrishnan T, Palanisamy PK (2006) Optical phase conjugation and double-exposure phase-conjugate interferometry in dye-doped thin film using He-Ne laser. Appl Phys B Lasers Opt 82:169–172. https://doi.org/10.1007/s000340-005-2080-2

    CAS  Article  Google Scholar 

  7. You JW, Bongu SR, Bao A, Panoiu NC (2019) Nonlinear optical properties and applications of 2D materials: theoretical and experimental aspects. J Nanophotonics 8:63–97. https://doi.org/10.1515/nanoph-2018-0106

    Article  Google Scholar 

  8. Sangeetha K, Thamotharan S (2018) Thermally induced self-phase modulation and optical limiting applications of L-arginine hydrochloride (LAHCL) solutions. Optik 164:519–526. https://doi.org/10.1016/j.ijleo.2018.03.029

    CAS  Article  Google Scholar 

  9. Jeyaram S, Hemalatha S, Geethakrishnan T (2020) Nonlinear refraction, absorption and optical limiting properties of disperse blue 14 dye. Chem Phys Lett 739:137037. https://doi.org/10.1016/j.cplett.2019.137037

    CAS  Article  Google Scholar 

  10. Jeyaram S, Geethakrishnan T (2019) Linear and nonlinear optical properties of chlorophyll-a extracted from Andrographis paniculata leaves. Opt Laser Technol 116:31–36. https://doi.org/10.1016/j.optlastec.2019.03.013

    CAS  Article  Google Scholar 

  11. Geethakrishnan T, Palanisamy PK (2007) Z-scan determination of the third-order optical nonlinearity of a triphenylmethane dye using 633 nm He-Ne laser. Opt Commun 270:424–428. https://doi.org/10.1016/j.optcom.2006.09.035

    CAS  Article  Google Scholar 

  12. Sreenath MC, Hubert Joe I, Rastogi VK (2019) Reverse saturable absorption behavior of disodium 8-Hydroxy-5,7-Dinitro-2-Naphthalenesulfonate hydrate for nonlinear optical applications. J Mol Struct 1180:363–377. https://doi.org/10.1016/j.molstruc.2018.12.003

    CAS  Article  Google Scholar 

  13. Khadem Sadigh M, Zakerhamidi MS (2018) Media polarity and concentration roles on the third-order nonlinear behaviors of thiazine dyes. Opt Laser Technol 100:216–224. https://doi.org/10.1016/j.optlastec.2017.10.007

    CAS  Article  Google Scholar 

  14. Motiei H, Jafari A, Naderali R (2017) Third-order nonlinear optical properties of organic azo dyes by using strength of nonlinearity parameter and Z-scan technique. Opt Laser Technol 88:68–74. https://doi.org/10.1016/j.optlastec.2016.09.011

    CAS  Article  Google Scholar 

  15. Pathrose B, Nampoori VPN, Radhakrishnan P, Mujeeb A (2016) Investigation on the third order nonlinear optical properties of basic Fuchsin dye using Z scan technique. Optik 127:7717–7725. https://doi.org/10.1016/j.ijleo.2016.05.136

    CAS  Article  Google Scholar 

  16. Choubey RK, Medhekar S, Kumar R, Mukherjee S, Kumar S (2014) Study of optical properties of organic dye by Z-scan technique using he-ne laser. J Mater Sci Mater Elect 25:1410–1415. https://doi.org/10.1007/s10854-014-1743-3

    CAS  Article  Google Scholar 

  17. Rauvala H (1979) Use of triphenylmethane as an indicator of completer methylation of glycolipids and glycopeptides. Carbohydr Res 72:257–260. https://doi.org/10.1016/S0008-6215(00)83945-2

    CAS  Article  Google Scholar 

  18. Sabnis RW (2008) “Patent Blue V”, Handbook of Acid-Base Indicators, CRC Press, PP 295–297

  19. Khadem Sadigh M, Zakerhamidi MS, Rezaei B, Milachian K (2017) Environment effects on the nonlinear absorption properties of methylene blue under different power of excitation beam. J Mol Liq 229:548–554. https://doi.org/10.1016/j.molliq.2016.12.108

    CAS  Article  Google Scholar 

  20. Khadem Sadigh M, Zakerhamidi MS (2016) Third-order nonlinear responses of basic blue 55 molecules in polar solvents. Optik 130:743–749. https://doi.org/10.1016/j.ijleo.2016.10.134

    CAS  Article  Google Scholar 

  21. Albayrak C, Frank R (2010) Spectroscopic, molecular structure characterizations and quantum chemical computational studies of [E]-5-[diethylamino]-2-[(2-fluorophenylimino) methyl] phenol. Mol Struct 984:214–220. https://doi.org/10.1016/j.molstruc.2010.09.030

    CAS  Article  Google Scholar 

  22. Feng Q, Li Y, Shi G, Wang L, Zhang W, Li K, Hou H, Song Y (2016) A photo-controllable third-order nonlinear optical (NLO) switch based on a Rhodamine B salicylaldehyde hydrazine metal complex. J Mater Chem C 4:8552–8558. https://doi.org/10.1039/C6TC01549B

    CAS  Article  Google Scholar 

  23. Karakas A, Karakaya M, Taser M, Ceylan Y, Gozutok A, Arof AK, El Kouari Y, Sahraoui B (2016) Computational studies on linear, second and third-order nonlinear optical properties of novel styrylquinolinium dyes. Chem Phys Lett 648:47–52. https://doi.org/10.1016/j.cplett.2016.01.075

    CAS  Article  Google Scholar 

  24. Sheik-Bahae M, Said AA, Wei T, Hagan DJ, Van Stryland EM (1990) Sensitive measurement of optical nonlinearities using a single beam. IEEE J Quant Elect 26:760–769. https://doi.org/10.1109/3.53394

    CAS  Article  Google Scholar 

  25. Sheik-Bahae M, Said AA, Van Stryland EM (1989) High-sensitivity, single-beam n2 measurements. Opt Lett 14:955–957. https://doi.org/10.1364/OL.14.000955

    CAS  Article  PubMed  Google Scholar 

  26. Wang J, Henandez Y, Lotya M, Coleman JN, Blau WJ (2009) Broadband nonlinear optical response of graphene dispersions. Adv Mater 21:2430–2435. https://doi.org/10.1002/adma.200803616

    CAS  Article  Google Scholar 

  27. Zidan MD, Arfan A, Allahham A (2018) Synthesis and characterization of 8-hydroxyquinolin-1-ium 2,2,2-trifluoroacetate and 8-hydroxyquinolin-1-ium 2,2,2-trichloroacetate by Z-scan technique. Spectrochim. Acta Part A 190:135–139. https://doi.org/10.1016/j.saa.2017.09.022

    CAS  Article  Google Scholar 

  28. Arun Kumar S, Senthilselvan J, Vinitha G (2019) Third-order nonlinearity and optical limiting behaviors of Yb:YAG nanoparticles by Z-scan technique. Opt Laser Technol 109:561–568. https://doi.org/10.1016/j.optlastec.2018.08.037

    CAS  Article  Google Scholar 

  29. Pramodini S, Poornesh P (2014) Effect of conjugation length on nonlinear optical parameters of anthraquinone dyes investigated using He-Ne laser operating in CW mode. Opt Laser Technol 62:12–19. https://doi.org/10.1016/j.optlastec.2014.02.003

    CAS  Article  Google Scholar 

  30. Khadem Sadigh M, Zakerhamidi MS (2018) A comparative study of media polarity effects on the linear and third-order nonlinear optical responses of thiazine dyes. Can J Phys 96:337–342. https://doi.org/10.1139/cjp-2017-0271

    CAS  Article  Google Scholar 

  31. Tuhl A, Manaa H, Maksheed S, Al-Awadi N, Mathew J, Ibrahim HM, Nyokong T, Behbehani H (2012) Reverse saturable absorption spectra and optical limiting properties of chlorinated tetrasubstitued phthalocyanines containing different metals. Opt Mater 34:1869–1877. https://doi.org/10.1016/j.optmat.2012.05.018

    CAS  Article  Google Scholar 

  32. Zhong Q, Liu S, Zhu J, Wu X, Zhang L, Zhang B, Luo X (2017) Theoretical and experimental research on the third-order nonlinear optical properties of N-6-hydroxy-hexyl-4-azophenyl-carbazol. J Nonlin Optic Phys Mat 26:1750027. https://doi.org/10.1142/S0218863517500278

    CAS  Article  Google Scholar 

  33. Patrol V, Upadhaya V, Hedge GS, Lokanath LK, Prabhu AN (2020) Strucural and optical characterization of novel nitro substituted D-π-A-π-A type chalcone single crystal showing second-order and third-order nonlinear optical properties. Physica B 580:411830. https://doi.org/10.1016/j.physb.2019.411830

    CAS  Article  Google Scholar 

  34. Shinde SS, Sreenath MC, Chitrambalam S, Hubert Jeo I, Sekar N (2020) Spectroscopic, DFT and Z-scan approach to study linear and nonlinear optical properties of disperse red 277. Opt Mater 99:109536. https://doi.org/10.1016/j.optmat.2019.109536

    CAS  Article  Google Scholar 

  35. Biswas C, Krishnakanth KN, Lade JJ, Chaskar AC, Tripathi A, Chetti P, Soma VR, Raavi SSK (2019) Linear and femtosecond nonlinear optical properties of soluble pyrrole [1,2-a] quinoxalines. Chem Phys Lett 730:638–642. https://doi.org/10.1016/j.cplett.2019.06.062

    CAS  Article  Google Scholar 

  36. Meng Q, Yan W, Yu M, Huang D (2003) A study of third-order nonlinear optical properties for anthraquinone derivatives. Dyes Pigments 2:145–149. https://doi.org/10.1016/S0143-7208(02)00123-7

    Article  Google Scholar 

  37. Chen JW, Wang XQ, Ren Q, Li TB, Yang HL, Cai NN (2015) Z-scan study of third-order nonlinear optical properties of three dimit complexes. Optik 126:3025–3029. https://doi.org/10.1016/j.ijleo.2015.07.057

    CAS  Article  Google Scholar 

  38. Shettigar S, Umesh G, Chandrasekharan K, Sarojini BK, Narayana B (2008) Studies on third-order nonlinear optical properties of chalcone derivatives in polymer host. Opt Mater 30:1297–1303. https://doi.org/10.1016/j.optmat.2007.06.008

    CAS  Article  Google Scholar 

Download references

Author information

Affiliations

Authors

Corresponding author

Correspondence to Jeyaram S.

Additional information

Publisher’s Note

Springer Nature remains neutral with regard to jurisdictional claims in published maps and institutional affiliations.

Rights and permissions

Reprints and Permissions

About this article

Verify currency and authenticity via CrossMark

Cite this article

S, J., T, G. Solvent Dependent Linear and Nonlinear Optical Characteristics of Acid Blue 3 Dye. J Fluoresc 30, 1161–1169 (2020). https://doi.org/10.1007/s10895-020-02580-5

Download citation

  • Received:

  • Accepted:

  • Published:

  • Issue Date:

  • DOI: https://doi.org/10.1007/s10895-020-02580-5

Keywords

  • Third-order NLO
  • Z–scan
  • AB 3 dye
  • Polar solvents