Skip to main content

A Rhodamine-Benzimidazole Based Chemosensor for Fe3+ and its Application in Living Cells

Abstract

A rhodamine-benzimidazole based chemosensor was designed and prepared for Fe3+ via opening of the spiro-ring to give fluorescent and colored species. L exhibited high selectivity and excellent sensitivity in both absorbance and fluorescence detection of Fe3+ in aqueous solution with comparatively wide pH range (5.8–7.4). The detection limit of this newly developed probe was shown to be up to 2.74 μM. The reversibility establishes the potential of both probes as chemosensors for Fe3+ detection. Fluorescence imaging experiments of Fe3+ in living MGC803 cells demonstrated its value of practical applications in biological systems.

This is a preview of subscription content, access via your institution.

Scheme 1
Fig. 1
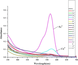
Fig. 2
Fig. 3
Fig. 4
Fig. 5
Fig. 6
Fig. 7
Scheme 2
Fig. 8

References

  1. James P, Raoul K (2005) Analyst 130:528–533

    Article  Google Scholar 

  2. Wang L, Ye Y, Zhong S, Zhao Y (2009) Chin Chem Lett 20:58–61

    Article  Google Scholar 

  3. Meneghini R (1997) Free Radic Biol Med 23:783–790

    PubMed  CAS  Article  Google Scholar 

  4. Wang L, Ye Y, Zhong S, Zhang D, Zhao Y (2009) Chem J Chinese U 30:493–496

    Google Scholar 

  5. Eisenstein RS (2000) Annu Rev Nutr 20:627–630

    PubMed  CAS  Article  Google Scholar 

  6. Rouault TA (2006) Nat Chem Biol 2:406–409

    PubMed  CAS  Article  Google Scholar 

  7. Brugnara C (2003) Clin Chem 49:1573–1479

    PubMed  CAS  Article  Google Scholar 

  8. Burdo JR, Connor JR (2003) Brain iron uptake and homeostatic mechanisms: an overview. Biometals 16:63–75

    PubMed  CAS  Article  Google Scholar 

  9. H. N. Kim, M. H. Lee, H. J. Kim, J. S. Kim. J. Yoon, Chem Soc Rev 37 (2008) 1465–1476.

    PubMed  CAS  Article  Google Scholar 

  10. Tumambac GE, Rosencrance CM, Wolf C (2004) Tetrahedron 60:11293–11297

    CAS  Article  Google Scholar 

  11. Beija M, Afonso CAM, Martinho JMG (2009) Chem Soc Rev 38:2410–2418

    PubMed  CAS  Article  Google Scholar 

  12. Hu Z, Feng Y, Huang H, Ding L, Wang X, Lin C, Li M, Ma C (2011) Sensors Actuators B 156:428–433

    CAS  Article  Google Scholar 

  13. Dylan WD, Emily LQ (2008) J C Christopher Nat Chem Bio 4:168–175

  14. Chen X, Hong H, Han R, Zhang D, Ye Y, Zhao Y (2012) J Fluoresc 22:789–794

    PubMed  CAS  PubMed Central  Article  Google Scholar 

  15. Shi W, Ma HM (2012) Chem Commun 48:8732–8744

    CAS  Article  Google Scholar 

  16. Lin W, Long L, Yuan L, Cao Z, Feng J (2009) Anal Chim Acta 634:262–266

    PubMed  CAS  Article  Google Scholar 

  17. Yin W, Cui H, Yang Z, Li C, She M, Yin B, Li J, Zhao G, Shi Z (2011) Sensors Actuators B 157:675–680

    CAS  Article  Google Scholar 

  18. Yang Z, She M, Yin B, Cui J, Zhang Y, Sun W, Li J, Shi Z (2012) J Organomet Chem 77:1143–1147

    CAS  Article  Google Scholar 

  19. Moon K, Yang Y, Ji S, Tae J (2010) Tetrahedron Lett 51:3290–3293

    CAS  Article  Google Scholar 

  20. Hu Z, Feng Y, Huang H, Ding L, Wang X, Lin C, Li M, Ma C (2011) Sensors Actuators B 156:428–432

    CAS  Article  Google Scholar 

  21. Zhang D, Zou R, Wang M, Chai M, Wang X, Ye Y, Zhao Y (2013) J Fluoresc 23:13–19

    PubMed  Article  Google Scholar 

  22. Xue ZW, Chen ML, Chen JM, Han JH, Han SF (2014) RSC Adv 4:374–378

    CAS  Article  Google Scholar 

  23. Zheng H, Shang GQ, Yang SY, Gao X, Org JGX (2008) Lett 10:2357–2360

    CAS  Google Scholar 

  24. Huang CY (1982) Methods Enzymol 87:509–525

    PubMed  CAS  Article  Google Scholar 

Download references

Acknowledgments

This work was supported by the National Science Foundation of China (Nos. 21572209) and Program for New Century Excellent Talents in University (NCET-11- 0950).

Author information

Affiliations

Authors

Corresponding author

Correspondence to Yong Ye.

Electronic supplementary material

ESM 1

(DOC 927 kb)

Rights and permissions

Reprints and Permissions

About this article

Verify currency and authenticity via CrossMark

Cite this article

Li, G., Tang, J., Ding, P. et al. A Rhodamine-Benzimidazole Based Chemosensor for Fe3+ and its Application in Living Cells. J Fluoresc 26, 155–161 (2016). https://doi.org/10.1007/s10895-015-1696-9

Download citation

  • Received:

  • Accepted:

  • Published:

  • Issue Date:

  • DOI: https://doi.org/10.1007/s10895-015-1696-9

Keywords

  • Rhodamine
  • Fluorescence
  • Fe3+