Skip to main content

Synthesis and Properties of Salicyladehyde Salicyhydrazone Derivatives and Their Europium Complexes

Abstract

Four novel salicyladehyde salicyhydrazone derivatives and their corresponding europium (Eu3+) complexes were synthesized and characterized. The formulas of the complexes were [EuLa−d(NO3)2](NO3) · H2O. The investigatoin of fluoresence properties of the Eu3+ complexes showed that the salicyladehyde salicyhydrazone derivatives were efficient sensitizers for the fluoresence of Eu3+ ions. The fluorescence intensity of the complex substituted by methyl (−CH3) was the strongest among all the Eu3+ complexes. The exploration of the electrochemical properties of the Eu3+ complexes showed that the introduction of electron-donating groups methyl and methoxyl (−CH3 and −OCH3) could increase the oxidation potential and the highest occupied molecular orbital (HOMO) energy level of the Eu3+ complex; however, the results of introduction of electron-withdrawing group were just opposite.

This is a preview of subscription content, access via your institution.

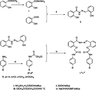
Scheme 1
Fig. 1
Fig. 2
Fig. 3
Fig. 4
Fig. 5
Fig. 6
Fig. 7
Fig. 8

References

  1. Ieda LVR, Paulo CSF, Claudio CRN et al (2011) Synthesis and study of the photophysical properties of a new Eu3+ complex with 3-hydroxypicolinamide. J Fluoresc 21:1575–1583

    Article  Google Scholar 

  2. Liang B, Liu XR, Zhang PH (2010) Synthesis and properties of o-carboxybenzaldehyde salicyloylhydrazone. Chin J Org Chem 30:1580–1583

    CAS  Google Scholar 

  3. Guo DC, Wu PL, Tan H et al (2011) Synthesis and luminescence properties of novel 4-(N-carbazole methyl) benzoyl hydrazone schiff bases. J Lumin 131:1272–1276

    CAS  Article  Google Scholar 

  4. Li WX, Chai WJ, Sun XJ et al (2010) Synthesis and luminescence properties of two novel lanthanide(III) perchlorate complexes with bis(benzoylmethyl) sulfoxide and benzoic acid. J Fluoresc 20:873–880

    CAS  PubMed  Article  Google Scholar 

  5. Han FB, Teng QQ, Zhang Y et al (2011) Influence of schiff base and lanthanide metals on the synthesis, stability, and reactivity of monoamido lanthanide complexes bearing two schiff bases. J Inorg Chem 50:2634–2643

    CAS  Article  Google Scholar 

  6. Ren QX, Zhai YC, Sun YY et al (2010) Synthesis and spectral analysis of coordination compounds of glucosamine with Eu(NO3)3 and Tb(NO3)3. Chem World 10:586–589

    Google Scholar 

  7. He SY, Chen YL, Yang R et al (2003) Synthesis, spectrum study and biological activity of salicylaldehyde salicylhydrazone complexes with rare earth. Chin J Org Chem 23:1387–1392

    CAS  Google Scholar 

  8. Guo DC, He W, Yu XQ et al (2013) Synthesis and luminescence properties of N-carbazole acetyl hydrazones schiff-bases. Lumin 28:280–286

    CAS  Article  Google Scholar 

  9. Wang BD, Yang ZY, Zhang DW et al (2006) Synthesis, structure, infrared and fluorescence spectra of new rare earth complexes with 6-hydroxy chromone-3-carbaldehyde benzoyl hydrazone. Spectrochim Acta A 63:13–19

    Google Scholar 

  10. Sun LN, Qiu YN, Liu T (2013) Near infrared and visible luminescence from xerogels covalently grafted with lanthanide [Sm3+, Yb3+, Nd3+, Er3+, Pr3+, Ho3+] β-diketonate derivatives using visible light excitation. Appl Mater Inter 5:9585–9593

    CAS  Article  Google Scholar 

  11. Kong K, Zhang HX, Ma RJ (2013) Synthesis, characterization and enhanced luminescence of terbium complexes with 2-pyrazinecarboxylic acid and butanedioic acid by inert-fluorescent lanthanide ions. J Rare Earths 31:2–6

    Article  Google Scholar 

  12. Tang RR, Zhang W, Luo YM et al (2009) Synthesis, fluorescence properties of Eu(III) complexes with novel carbazole functionalized β-diketone ligand. J Rare Earths 27:362–367

    Article  Google Scholar 

  13. Li WX, Li YJ, Chai WJ et al (2012) Syntheses and fluorescence properties of two novel lanthanide(III) perchlorate complexes with bis(benzylsulfinyl)methane. J Fluoresc 22:651–658

    CAS  PubMed  Article  Google Scholar 

  14. Zhang XP, Wen XP, Hu S et al (2010) Luminescence properties of Eu(III) complex/polyvinylpyrrolidone electrospun composite nanofibers. J Phys Chem 114:3898–3903

    CAS  Google Scholar 

  15. Chang YW, Yang JJ (2006) Synthesis, characterization and luminescence properties of rare earth complexes with bis(pyridinyl-amide). Chin J Rare Earth 24:146–151

    CAS  Article  Google Scholar 

  16. Masahisa O, Mikio H, Tatsuo W et al (2009) Intra-complex energy transfer of europium(III) complexes containing anthracene and phenanthrene moieties. J Phys Chem A 113:10895–10902

    Article  Google Scholar 

  17. Li LD, Zhang M (1988) Comparative method for determining fluorescence quantum yield. Anal Chem 16:732–734

    CAS  Google Scholar 

  18. Soustek P, Michl M, Almonasy N et al (2008) The synthesis and fluorescence of N-substituted 1- and 2-aminopyrenes. Dyes Pigments 78:139–147

    CAS  Article  Google Scholar 

  19. Pablo MR, Carmen C, Angel LA et al (2013) Charge transport and sensitized 1.5 μm electroluminescence properties of full solution-processed NIR-OLED based on novel Er(III) fluorinated β-diketonate ternary complex. J Phys Chem C 117:10020–10030

    Article  Google Scholar 

  20. Ding BD, Zhang JM, Zhu WQ et al (2002) Fast and convenient determination of HOMO energy level of organic electroluminescent material using electrochemistry method. Chem Res Appl 14:712–714

    CAS  Google Scholar 

  21. Tamar S, Jochen A, Niranjan G et al (2012) Curvature and frontier orbital energies in density functional theory. J Phys Chem Lett 3:3740–3744

    Article  Google Scholar 

Download references

Acknowledgments

The authors are grateful for the financial support of the National Natural Science Foundation of China (No.J1103312; No.J1210040; No.21341010), the Innovative Research Team in University (No.IRT1238), the Science and Technology Project of Hunan provincial Science and Technology Department (No.2012GK3156) and chemical excellent engineer training programof Hunan university. We also thank Dr. William Hickey, the U.S. professor of HRM, for the English editing on this paper.

Author information

Affiliations

Authors

Corresponding author

Correspondence to Dongcai Guo.

Rights and permissions

Reprints and Permissions

About this article

Verify currency and authenticity via CrossMark

Cite this article

Meng, D., Liu, F., Lian, X. et al. Synthesis and Properties of Salicyladehyde Salicyhydrazone Derivatives and Their Europium Complexes. J Fluoresc 24, 1661–1669 (2014). https://doi.org/10.1007/s10895-014-1453-5

Download citation

  • Received:

  • Accepted:

  • Published:

  • Issue Date:

  • DOI: https://doi.org/10.1007/s10895-014-1453-5

Keywords

  • Europium complexes
  • Salicyhydrazone derivatives
  • Synthesis
  • Fluorescence
  • Electrochemical properties