Skip to main content

Water Stress Response of Conventional and Transgenic Soybean Plants Monitored by Chlorophyll a Fluorescence

Abstract

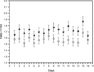
Two soybean cultivars, one conventional and a glyphosate-tolerant (transgenic), were submitted to the water stress and the chlorophyll a fluorescence induced by UV light was monitored daily during 16 days. In this work, 40 pots in total, 20 per cultivar were used in the investigation. Each cultivar was divided in two groups, the control group and the group submitted to the water stress. The stress response of the cultivars was monitored by red to far-red fluorescence ratio. The data indicate that the water stress induced the earliest changes on the fluorescence ratio and chlorophyll content for the conventional cultivar. In addition, a comparative analysis of the fluorescence ratios of the cultivars reveals that conventional plants have higher chlorophyll content than transgenic ones. This result might be useful in the development of methodologies able to distinguish conventional to transgenic apart.

This is a preview of subscription content, access via your institution.

Fig. 1
Fig. 2
Fig. 3
Fig. 4

References

  1. Binnie NE, Haley LV, Mattioli TA, Thibodeu DL, Wang W, Koningstein JA (1988) Molecular emission and electronic structure of associated chlorophyll a. Can J Chem 66:1728–1733

    Article  CAS  Google Scholar 

  2. Cerovic ZG, Samson G, Morales F, Tremblay N, Moya I (1999) Ultraviolet-induced fluorescence for plant monitoring: present state and prospects. Agronomie 19:543–578

    Article  Google Scholar 

  3. Baker NR (2008) Chlorophyll fluorescence: a probe of photosynthesis in vivo. Annu Rev Plant Biol 59:89–113

    Article  CAS  PubMed  Google Scholar 

  4. Krause GH, Weis E (1991) CHLOROPHYLL FLUORESCENCE AND PHOTOSYNTHESIS: The Basics. Annu Rev Plant Physiol Plant Mol Biol 42:313–349

    Article  CAS  Google Scholar 

  5. Ndao AS, Konté A, Biaye M, Faye ME, Faye NAB, Wagu A (2005) Analysis of chlorophyll fluorescence spectra in some tropical plants. J Fluoresc 15:123–129

    Article  CAS  PubMed  Google Scholar 

  6. Zhao CM, Wang GX, Wei XP, Deng JM, Cheng DL (2007) Effects of groundwater depth variation on photosynthesis and photoprotection of Elaeagnus angustifolia L. Trees 21:55–63

    Article  CAS  Google Scholar 

  7. Kao WY, Tsai TT (1998) Tropic leaf movements photosynthetic gas exchange, leaf δ13C and chlorophyll a fluorescence of three species in response to water availability. Plant Cell Environ 21:1055–1062

    Article  CAS  Google Scholar 

  8. Ohashi Y, Nakayama N, Saneoka H, Fujita K (2006) Effects of drought stress on photosynthetic gas exchange, chlorophyll fluorescence and stem diameter of soybean plants. Biol Plantarum 50(1):138–141

    Article  Google Scholar 

  9. Caires ARL, Teixeira MRO, Suarez YR, Andrade LHC, Lima SM (2008) Discrimination of transgenic and conventional Soybean seeds by Fourier Transform Infrared Photoacoustic Spectroscopy. Appl Spectr 62(9):1044–1047

    Article  CAS  Google Scholar 

  10. Stam P, Zeven AC (1981) The theoretical proportion of the donor genome in near-isogenic lines of self-fertilizers bred by backcrossing. Euphytica 30:227–238

    Article  Google Scholar 

  11. Fehr WR, Caviness CE (1977), Stages of soybean development, Iowa Coop. Ext. Service, Iowa Agric. Home. Exp. Stn. Spec. Rep. 80. Iowa State Univ., Ames, IA

  12. Gitelson AA, Buschmann C, Lichtenthaler HK (1998) Leaf chlorophyll fluorescence corrected for reabsorption by means of absorption and reflectance measurements. J Plant Physiol 152:283–296

    CAS  Google Scholar 

  13. Morales F, Cerovic ZC, Moya lsmael (1994) Characterization of Blue-Green Fluorescence in the Mesophyll of Sugar Beet (Beta vulgaris 1.) leaves Affected by Iron Deficiency. Plant Physiol 106:127–133

    CAS  PubMed  Google Scholar 

  14. Chappelle EW, Jr Wood FM, McMurtrey JE, Newcomb WW (1984) Laser-induced fluorescence of green plants. 1. A techniquefor remote detection of plant stress and species differentiation. Appl Optics 23:134–138

    Article  CAS  Google Scholar 

  15. Morales F, Abadia A, Abadia J (1991) Chlorophyll fluorescence and photon yield of oxygen evolution in iron-deficient sugar beet ( Beta vulgaris L.) leaves. Plant Physiol 97:886–893

    Article  CAS  PubMed  Google Scholar 

  16. Stober F, Lichtenthaler HK (1992) Changes of the laser-induced blue, green and red fluorescence signatures during greening of etiolated leaves of wheat. J Plant Physiol 140:673–680

    CAS  Google Scholar 

  17. Blom-Zandstra M, Pot CS, Maas FM, Schapendonk Ad HCM (1995) Effects of different light treatments on the nocturnal transpiration and dynamics of stomatal closure of two Rose Cultivars. Sci Hort 61:251–262

    Article  Google Scholar 

Download references

Acknowledgments

Financial support from CNPq (Conselho Nacional de Desenvolvimento Científico e Tecnológico) and FUNDECT (Fundação de Apoio ao Desenvolvimento do Ensino, Ciência e Tecnologia do Estado de Mato Grosso do Sul) are gratefully acknowledged.

Author information

Affiliations

Authors

Corresponding author

Correspondence to A. R. L. Caires.

Rights and permissions

Reprints and Permissions

About this article

Cite this article

Caires, A.R.L., Scherer, M.D., Santos, T.S.B. et al. Water Stress Response of Conventional and Transgenic Soybean Plants Monitored by Chlorophyll a Fluorescence. J Fluoresc 20, 645–649 (2010). https://doi.org/10.1007/s10895-009-0594-4

Download citation

  • Received:

  • Accepted:

  • Published:

  • Issue Date:

  • DOI: https://doi.org/10.1007/s10895-009-0594-4

Keywords

  • Fluorescence Spectroscopy
  • Glycine max
  • Water stress