Skip to main content

Phomalactone from a Phytopathogenic Fungus Infecting ZINNIA elegans (ASTERACEAE) Leaves

Abstract

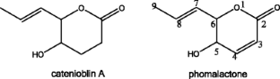
Zinnia elegans Jacq. plants are infected by a fungus that causes dark red spots with necrosis on leaves, particularly in late spring to the middle of summer in the Mid-South of the United States. This fungal disease causes the leaves to wilt and eventually kills the plant. The fungus was isolated, cultured in potato dextrose broth, and identified as Nigrospora sphaerica by molecular techniques. Two major lactone metabolites (phomalactone and catenioblin A) were isolated from liquid culture of N. sphaerica isolated from Z. elegans. When injected into leaves of Z. elegans, phomalactone caused lesions similar to those of the fungus. The lesion sizes were proportional to the concentration of the phomalactone. Phomalactone, but not catenioblin A, was phytotoxic to Z. elegans and other plant species by inhibition of seedling growth and by causing electrolyte leakage from photosynthetic tissues of both Z. elegans leaves and cucumber cotyledons. This latter effect may be related to the wilting caused by the fungus in mature Z. elegans plants. Phomalactone was moderately fungicidal to Coletotrichum fragariae and two Phomopsis species, indicating that the compound may keep certain other fungi from encroaching into plant tissue that N. sphaerica has infected. Production of large amounts of phomalactone by N. sphaerica contributes to the pathogenic behavior of this fungus, and may have other ecological functions in the interaction of N. sphaerica with other fungi. This is the first report of isolation of catenioblin A from a plant pathogenic fungus. The function of catenioblin A is unclear, as it was neither significantly phyto- nor fungitoxic.

This is a preview of subscription content, access via your institution.

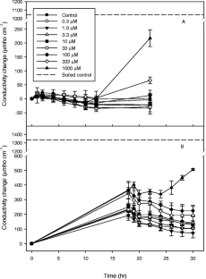
Fig. 1
Fig. 2
Fig. 3
Fig. 4
Fig. 5
Fig. 6
Fig. 7
Fig. 8
Fig. 9

References

  • Abdou R, Scherlach K, Dahse H-M, Sattler I, Hertweck C (2009) Botryorhodines A-D, Antifungal and cytotoxic depsidones from Botrysosphaeria rhodina, an endophyte of the medicinal plant Bidens pilosa. Phytochemistry 71:110–116

    PubMed  Article  Google Scholar 

  • Altschul SF, Gish W, Miller W, Myers EW, Lipman DJ (1990) Basic local alignment search tool. J Mol Biol 215:403–410

    CAS  PubMed  Article  Google Scholar 

  • Borges WDS, Borges KB, Bonato PS, Said S, Pupo MT (2009) Endophytic fungi: natural products, enzymes and biotransformation reactions. Curr Org Chem 13:1137–1163

    CAS  Article  Google Scholar 

  • Cutler HG (1995) Microbial natural products that affect plants, phytopathogens, and certain other microorganisms. Crit Rev Plant Sci 14:413–444

    CAS  Article  Google Scholar 

  • Dayan FE, Duke SO (2010) Protoporphyrinogen oxidase-inhibiting herbicides. In: Krieger RK, Doull J, Hodgson E, Maibach H, Reiter L, Ross J, Slikker WJ, Van Hemmon J (eds) Haye’s handbook of pesticide toxicology, vol 2, 3rd edn, Agents. Academic, Elsevier, San Diego, CA, pp 1733–1751

    Chapter  Google Scholar 

  • Dayan FE, Watson SB (2011) Plant cell membrane as a marker for light-dependent and light-independent herbicide mechanisms of action. Pestic Biohem Physiol 101:182–190

    CAS  Article  Google Scholar 

  • Dayan FE, Romagni JG, Duke SO (2000) Investigating the mode of action of natural phytotoxins. J Chem Ecol 26:2079–2094

    CAS  Article  Google Scholar 

  • Duke SO, Dayan FE (2011) Modes of action of microbially-produced phytotoxins. Toxins 3:1038–1064

    CAS  PubMed Central  PubMed  Article  Google Scholar 

  • Duke SO, Kenyon WH (1993) Peroxidizing activity determined by cellular leakage. In: Böger P, Sandmann G (eds) Target assays for modern herbicides and related phytotoxic compounds. CRC Press, Boca Raton, FL, pp 61–66

    Google Scholar 

  • Evidente A (2006) Chemical and biological characterization of toxins produced by weed pathogenic fungi as potential natural herbicides. Amer Chem Soc Symp Ser 927:62–75

    CAS  Google Scholar 

  • Fukushima T, Tanaka M, Gohbara M, Fujimori T (1998) Phytotoxicity of three lactones from Nigrospora sacchari. Phytochemistry 48:625–630

    CAS  Article  Google Scholar 

  • Jang Y-W, Lee I-K, Kim Y-S, Lee S, Lee H-J, Yu SH, Yun B-S (2007) Xylarinic acids A and B, new antifungal polypropionates from the fruiting body of Xylaria polymorpha. J Antiobiot 60:696–699

    CAS  Article  Google Scholar 

  • Jimenéz-Romero C, Ortega-Barría E, Arnold AE, Cubilla-Rios L (2008) Activity against Plasmodium falciparum of lactones isolated from the endophytic fungus Xylaria sp. Pharm Biol 46:1–4

    Article  Google Scholar 

  • Khambay BPS, Bourne JM, Cameron S, Kerry BR, Zaki MJ (2000) A nematicidal metabolite from Verticillium chlamydosporium. Pest Manag Sci 56:1098–1099

    CAS  Article  Google Scholar 

  • Kim J-C, Choi GJ, Park J-H, Kim HT, Cho KY (2001) Activity against plant pathogenic fungi of phomalactone isolated from Nigrospora sphaerica. Pest Manag Sci 57:554–559

    CAS  PubMed  Article  Google Scholar 

  • Komai S-I, Hosoe T, Nozawa K, Okada K, De Campos Takaki GM, Fukushima K, Miyaji M, Horie Y, Kawai K-I (2003) Antifungal activity of pyranone and furanone derivatives, isolated from Aspergillus sp. IFM51759, against Aspergillus fumigatus. Mycotoxins 53:11–17

    CAS  Article  Google Scholar 

  • Krasnoff SB, Gupta S (1994) Identification of the antibiotic phomalactone from the entomopathogenic fungus Hirsutella thompsonii var. synnematosa. J Chem Ecol 20:293–302

    CAS  PubMed  Article  Google Scholar 

  • Krivobok S, Thomasson F, Seigle-Murandi F, Steiman R, Bottex-Gauthier C (1994) 6-Allyl-5,6-dihydro-5-hydroxypyran-2-one, a lactone produced by a new Drechslera species: specified 1H and 13C NMR assignments, mutagenic and immunomodulating testings. Pharmazie 49:605–607

    CAS  PubMed  Google Scholar 

  • Logrieco A, Moreti A, Solfrizzo M (2009) Alternaria toxins and plant diseases: an overview of origin, occurrence and risks. World Mycotoxin J 2:129–140

    CAS  Article  Google Scholar 

  • Macias-Rubalcava ML, Hernandez-Bautista BE, Jimenez-Estrada M, Gonzalez MC, Glenn AE, Hanlin RT, Hernandez-Ortega S, Saucedo-Garcia A, Muria-Gonzalez JM, Anaya AL (2008) Napthoquinone spiroketal with allelochemical activity from the newly discovered endophytic fungus Edenia gomezpomae. Phytochemistry 69:1185–1196

    CAS  PubMed  Article  Google Scholar 

  • Michel A, Johnson RD, Duke SO, Scheffler BE (2004) Dose–response relationships between herbicides with different modes of action and growth of Lemna paucicostata: An improved ecotoxicological method. Environ Toxicol Chem 23:1074–1079

    CAS  PubMed  Article  Google Scholar 

  • Rodriguez R, Redman R (2008) More than 400 million years of evolution and some plants still can’t make it on their own: plant stress tolerance via fungal symbiosis. J Exp Bot 59:1109–1114

    CAS  PubMed  Article  Google Scholar 

  • Roemer T, Xu D, Singh SB, Parish CA, Harris G, Wang H, Davies JE, Bills GF (2011) Confronting the challenges of natural product-based antifungal discovery. Chem Biol 18:148–164

    CAS  PubMed  Article  Google Scholar 

  • Sauter H (2012) Strobilurins and other complex III inhibitors. In Modern crop protection compounds (2nd Edt.) W. Kraemer, ed., Wiley-VCH Verlag GmbH & Co., KGaA, Weinheim, Germany, pp. 584–627.

  • Schlessinger RH, Gillman KW (1999) Asymmetric total synthesis of (+)-phomalactone, (+)-actylphomalactone and (+)-asperlin utilizing a novel syn-selective C4-oxa-vinylogous urethane. Tetrahedron Lett 40:1257–1260

    CAS  Article  Google Scholar 

  • Soytong K, Sibounnavong P, Kanokmedhakul K, Kanokmedhakul S (2014) Biological active compounds of Scleroderma citrinum that inhibit plant pathogenic fungi. J Agric Technol 10:79–86

    CAS  Google Scholar 

  • Stergiopoulos I, Collemare J, Mehrabi R, De Wit PJGM (2013) Phytotoxic secondary metabolites and peptides produced by plant pathogenic Dothideomycete fungi. FEMS Microbiol Rev 37:67–93

    CAS  PubMed  Article  Google Scholar 

  • Strange RN (2007) Phytotoxins produced by microbial plant pathogens. Nat Prod Rep 24:127–144

    CAS  PubMed  Article  Google Scholar 

  • Strobel G, Kenfield D, Bunkers G, Sugawara F, Clardy J (1991) Phytotoxins as potential herbicides. Experientia 47:819–826

    CAS  Article  Google Scholar 

  • Trisuwan K, Rukachaisirikul V, Sukpondma Y, Preedanon S, Phongpaichit S, Sakayaroj J (2009) Pyrone derivatives from the marine-derived fungus Nigrospora sp. PSU-F18. Phytochemistry 70:554–557

    CAS  PubMed  Article  Google Scholar 

  • Verma VC, Kharwar RN, Strobel GA (2009) Chemical and functional diversity of natural products from plant associated endophytic fungi. Nat Prod Commun 4:1511–1532

    CAS  PubMed  Google Scholar 

  • Wedge DE, Nagel DG (2000) A new 2D-TLC bioautography method for the discovery of novel antifungal agents to control plant pathogens. J Nat Prod 63:1050–1054

    CAS  PubMed  Article  Google Scholar 

  • Wedge DE, Kuhajek JM (1998) A microbioassay for fungicide discovery. SAAS Bull Biochem Biotechnol 11:1–7

    CAS  Google Scholar 

  • White TJ, Bruns T, Lee S, Taylor J (1990) Amplification and direct sequencing of fungal ribosomal RNA genes for phylogenetics. In PCR Protocols: A guide to Methods and Applications. 315–322. Academic Press: San Diego, USA

  • Wu H-Y, Wang Y-L, Tan J-L, Zhu C-Y, Li D-X, Huang R, Zhang K-Q, Niu X-M (2012) Regulation of the growth of cotton bollworms by metabolites from the entomopathogenic fungus Paecilomyces cateniobliquus. J Agric Food Chem 60:5604–5608

    CAS  PubMed  Article  Google Scholar 

  • Wu S-H, Chen Y-W, Shao S-C, Wang L-D, Yu Y, Li Z-Y, Yang L-Y, Li S-L, Huang R (2009) Two new solanapyrone analogues from the endophytic fungus Nigrospora sp. YB-141 of Azadirachta indica. Chem & Biodivers 6:79–85

    CAS  Article  Google Scholar 

  • Yamamoto I, Suide H, Hemmi T, Yamano T (1970) Antimicrobial α, β-unsaturated δ-lactones from molds. Takeda Kenkyusho Ho 29:1–10

    CAS  Google Scholar 

  • Zhang HW, Song YC, Tan RX (2006) Biology and chemistry of endophytes. Nat Prod Rep 23:753–771

    CAS  PubMed  Article  Google Scholar 

  • Zheng LP, Zhang Z, Xie LQ, Yuan HY, Zhang YQ (2013) Antifungal activity of endophyte cultures of Morus alba L. against phytopathogenic fungi. Advanced Materials Research 641–642:615–618

    Article  Google Scholar 

Download references

Acknowledgments

We thank Jason Martin, Eric Briscoe, Linda Robertson and Ramona Pace for technical assistance.

Author information

Affiliations

Authors

Corresponding author

Correspondence to Kumudini M. Meepagala.

Rights and permissions

Reprints and Permissions

About this article

Verify currency and authenticity via CrossMark

Cite this article

Meepagala, K.M., Johnson, R.D., Techen, N. et al. Phomalactone from a Phytopathogenic Fungus Infecting ZINNIA elegans (ASTERACEAE) Leaves. J Chem Ecol 41, 602–612 (2015). https://doi.org/10.1007/s10886-015-0602-x

Download citation

  • Received:

  • Revised:

  • Accepted:

  • Published:

  • Issue Date:

  • DOI: https://doi.org/10.1007/s10886-015-0602-x

Keywords

  • Phomalactone
  • Catenioblin A
  • Phytotoxin
  • Asteraceae
  • Nigrospora sphaerica
  • Zinnia elegans