Skip to main content

The Plume Also Rises: Trajectories of Pheromone Plumes Issuing from Point Sources in an Orchard Canopy at Night

Abstract

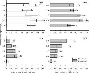
The trajectories of pheromone plumes in canopied habitats, such as orchards, have been little studied. We documented the capture of male navel orangeworm moths, Amyelois transitella, in female-baited traps positioned at 5 levels, from ground level to the canopy top, at approximately 6 m above ground, in almond orchards. Males were captured in similar proportions at all levels, suggesting that they do not favor a particular height during ranging flight. A 3-D sonic anemometer was used to establish patterns of wind flow and temperature at 6 heights from 2.08 to 6.65 m in an almond orchard with a 5 m high canopy, every 3 h over 72 h. The horizontal velocity of wind flow was highest above the canopy, where its directionality also was the most consistent. During the time of A. transitella mating (0300–0600), there was a net vertical displacement upward. Vertical buoyancy combined with only minor reductions in the distance that plumes will travel in the lower compared to the upper canopy suggest that the optimal height for release of pheromone from high-release-rate sources, such as aerosol dispensers (“puffers”), that are deployed at low densities (e.g., 3 per ha.) would be at mid or low in the canopy, thereby facilitating dispersion of disruptant throughout the canopy. Optimal placement of aerosol dispensers will vary with the behavioral ecology of the target pest; however, our results suggest that current protocols, which generally propose dispenser placement in the upper third of the canopy, should be reevaluated.

This is a preview of subscription content, access via your institution.

Fig. 1
Fig. 2
Fig. 3
Fig. 4
Fig. 5
Fig. 6
Fig. 7
Fig. 8

References

  • Aylor DE, Parlange J-Y, Granett J (1976) Turbulent dispersion of disparlure in the forest and male gypsy moth response. Environ Entomol 5:1026–1032

    Google Scholar 

  • Baker TC, Cardé RT (1979) Endogenous and exogenous factors affecting periodicities of female calling and male sex pheromone responses in Grapholitha molesta. J Insect Physiol 25:943–950

    Article  Google Scholar 

  • Baldocchi DD, Hutchison BA (1987) Turbulence in an almond orchard: vertical variations in turbulent statistics. Boundary-Layer Meteor 40:127–146

    Article  Google Scholar 

  • Baldocchi DD, Hutchison BA (1988) Turbulence in an almond orchard: spatial variations in spectra and coherence. Boundary-Layer Meteor 42:293–311

    Article  Google Scholar 

  • Batschelet E (1981) Circular statistics in biology. Academic, London

    Google Scholar 

  • Bentley WJ, Hasey JK, Day KR, Rice RE, Pickel C (2012) Insects and mites. In: UC IPM Pest management guidelines: peach. University of California ANR Publ 3454, pp. 14–57

  • Brady J, Gibson G, Packer MJ (1989) Odour movement, wind direction, and the problem of host-finding by tsetse flies. Physiol Entomol 14:369–380

    Article  Google Scholar 

  • Burks CS, Brandl DG (2004) Seasonal abundance of the navel orangeworm, Amyelois transitella, in figs and the effect of peripheral aerosol dispensers on sexual communication. J Insect Sci 4(40):1–8

    Google Scholar 

  • Burks CS, Higbee BS, Brandl DG (2005) Mating disruption for suppression of navel orangeworm damage in almonds. In: Proc 33rd Almond Industry Conf, Dec 7–8, 2005, Modesto, CA, pp. 1–7

  • Burks CS, Higbee BS, Brandl DG (2006) Mating disruption for suppression of navel orangeworm damage in almonds. In: Proc 34th Almond Industry Conf, Dec 6–7, 2006, Modesto, CA, pp. 1–19

  • Caprile JL, Wunderlich LR, Vossen PM, Coates WW, Andris HL, Varela LG, Bentley WJ, Pickel C (2011) Insects and mites. In: UC IPM pest management guidelines: apple. University of California ANR Publ 3432, pp. 6–55

  • Cardé RT, Hagaman TE (1984) Mate location strategies of gypsy moths in dense populations. J Chem Ecol 10:25–31

    Article  Google Scholar 

  • Cardé RT, Minks AK (1995) Control of moth pests by mating disruption: successes and constraints. Annu Rev Entomol 40:559–585

    Article  Google Scholar 

  • Cardé RT, Willis MA (2008) Navigational strategies used by flying insects to find distant, wind-borne sources of odor. J Chem Ecol 43:854–866

    Article  Google Scholar 

  • Cardé RT, Cardé AM, Girling RD (2012) Observations on the flight paths of the day-flying moth Virbia lamae during periods of mate location: do males have a strategy for contacting the pheromone plume? J Anim Ecol 81:268–276

    PubMed  Article  Google Scholar 

  • Castrovillo PJ, Cardé RT (1979) Environmental regulation of female calling and male pheromone response periodicities in the codling moth (Laspeyresia pomonella). J Insect Physiol 25:659–667

    Article  Google Scholar 

  • Coffelt JA, Vick KW, Sower LL, McClellan WT (1979) Sex pheromone mediated behavior of the navel orangeworm, Amyelois transitella. Environ Entomol 8:587–590

    Google Scholar 

  • David CT, Kennedy JS, Ludlow AR, Perry JN, Wall C (1982) A reappraisal of insect flight towards a distant point source of wind-borne odor. J Chem Ecol 8:1207–1215

    Article  Google Scholar 

  • Doane CC (1968) Aspects of mating behavior of the gypsy moth. Ann Entomol Soc Am 61:768–773

    Google Scholar 

  • Doncaster CP, Davey AJH (2007) Analysis of variance and covariance: how to choose and construct models for the life sciences. Cambridge University Press, Cambridge

    Book  Google Scholar 

  • Elkinton JS, Cardé RT (1983) Appetitive flight behaviour of male gypsy moths (Lepidoptera: Lymantriidae). Environ Entomol 12:1702–1707

    Google Scholar 

  • Elkinton JS, Schal C, Ono T, Cardé RT (1987) Pheromone puff trajectory and upwind flight of male gypsy moths in a forest. Physiol Entomol 12:399–406

    Article  Google Scholar 

  • Fares Y, Sharpe PJH, Magnuson CE (1983) Pheromone dispersion in forests. J Theor Biol 84:355–359

    Google Scholar 

  • Greenfield MD (1981) Moth sex pheromones: an evolutionary perspective. Fla Entomol 64:4–17

    Article  Google Scholar 

  • Higbee BS, Burks CS (2008) Effects of mating disruption treatment on navel orangeworm (Lepidoptera: Pyralidae) sexual communication and damage in almonds and pistachio. J Econ Entomol 101:1633–1642

    PubMed  Article  Google Scholar 

  • Kuenen LPS, Brandl D, Rice RE (2005) Modification of assembly of Pherocon® IC traps speeds trap liner changes and reduces in-field preparation time. Can Entomol 137:117–119

    Article  Google Scholar 

  • Landolt PJ, Curtis CE (1982) Effects of temperature on the circadian rhythm of navel orangeworm sexual activity. Environ Entomol 11:107–110

    Google Scholar 

  • Murlis J, Elkinton JS, Cardé RT (1992) Odor plumes and how insects use them. Annu Rev Entomol 37:505–532

    Article  Google Scholar 

  • Oke TR (2003) Boundary layer climates. Routledge, London

    Google Scholar 

  • Schal C (1982) Intraspecific vertical stratification as a mate-finding mechanism in tropical cockroaches. Science 215:1405–1407

    PubMed  Article  CAS  Google Scholar 

  • Shaw RH (1982) Wind movement within canopies. In: Hatfield JL, Thomason IJ (eds) Biometeorology in integrated pest management. Academic, New York, pp 17–41

    Google Scholar 

  • Shorey HS, Gerber RG (1995) Use of puffers for disruption of sex pheromone communication among almond moths (Lepidoptera: Pyralidae) in almonds, pistachios, and walnuts. Environ Entomol 25:1154–1157

    Google Scholar 

  • Sibbett GS, Flaherty DL, Kelley KM, Rice RE, Dibble JE (1993) Knowing location of pests in walnuts should help disrupt mating, egg laying. California Agric, May-June, 13–15

  • Tebbets JS, Curtis CE, Fries RD (1978) Mortality of immature stages of the navel orangeworm stored at 3.5°C. J Econ Entomol 71:875–876

    Google Scholar 

  • Thistle HW, Peterson H, Allwine G, Lamb B, Strand T, Holstein EH, Sheap (2004) Surrogate pheromone plumes in three forest trunk spaces: composite statistics and case studies. Forest Sci 50:610–625

    Google Scholar 

  • Weissling TJ, Knight AL (1995) Vertical distribution of adult codling moths in pheromone-treated and untreated plots. Entomol Exp Appl 77:271–275

    Article  Google Scholar 

  • Williams DT, Straw N, Townsend M, Wilkinson AS, Mullins A (2013) Monitoring oak processionary moth Thaumetopoea processionea L. using pheromone traps: the influence of pheromone lure source, trap design and height above the ground on capture rates. Agric Forest Entomol 15:126–134

    Article  Google Scholar 

  • Zalom FG, Pickel C, Bentley WJ, Haviland DR, Van Steenwyk RA, Rice RE, Hendricks LC, Coviello RL, Freeman MW (2012) Insects and mites. In: UC IPM Pest management guidelines: Almond. University of California ANR Publ 3431, pp. 10–52

Download references

Acknowledgments

We are grateful to Paramount Farming Co., the Almond Board of California, and the California Pistachio Research Commission for support. Candice Rogers, Johnny Magana, Cesar Higuera, and Emmanuel Higuera provided excellent technical assistance.

Author information

Affiliations

Authors

Corresponding author

Correspondence to Ring T. Cardé.

Electronic supplementary material

Below is the link to the electronic supplementary material.

Suppl. Figure 1
figure 9

A. The sonic anemometer rig, used to measure orthogonal wind components and temperature, situated between two rows of almond trees. The rig consisted of: 1. the anemometer head; 2. the control box; 3. the aluminum tripod. B. The tripod fully extended, holding the anemometer head at 6.65 m above ground level. (EPS 108132 kb) (GIF 13869 kb)

Suppl. Figure 2
figure 10

Mean wind direction recorded within (<5 m) and above (>5 m) the canopy of an almond orchard. Measurements were taken over 5 min periods at six different heights above ground level every 3 h between 13.7 and 16.7.2010. Arrows indicate the mean wind direction and the length of each arrow represents the mean vector length (r-value) of the corresponding mean direction. (GIF 64 kb)

Suppl. Figure 3
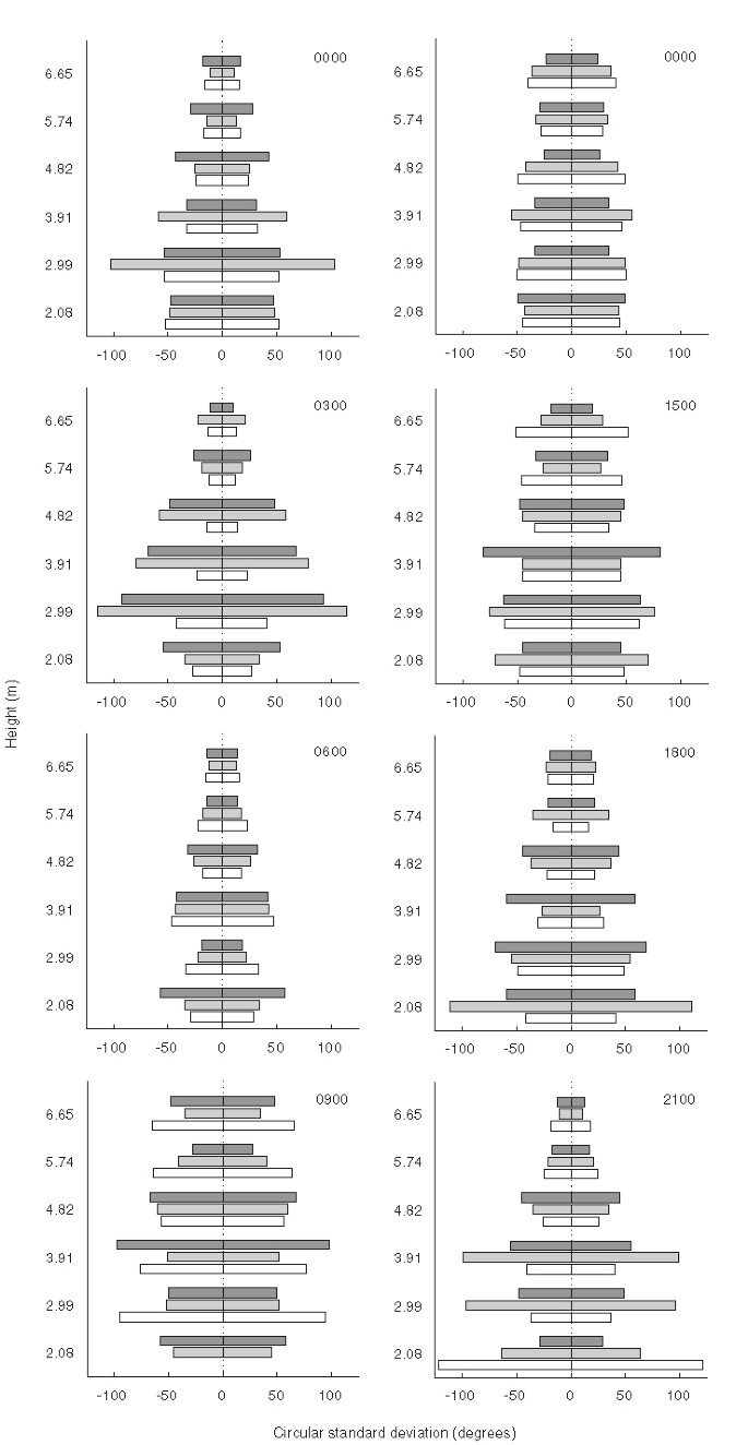
figure 11

Circular standard deviation of the mean wind direction, in degrees, recorded over a 5 min period within (<5 m) and above (>5 m) the canopy of an almond orchard. Measurements were taken at six different heights above ground level every 3 h between 13.7 and 16.7. For each measurement, mean wind direction is adjusted to zero degrees to allow for direct comparison of standard deviations. White bars represent measurements taken on day block 1, light grey day block 2 and dark grey day block 3. (JPEG 152 kb)

Suppl. Figure 4
figure 12

The percentage of time that wind blew at different vertical vectors, over a 5 min period, within (<5 m) and above (>5 m) the canopy of an almond orchard. Measurements were taken at six different heights above ground level every 3 h between 13.7 and 16.7.2010. Positive angles equate to the wind blowing upwards at that angle, negative angles downward and the hashed line horizontal. Within each plot a semi-circle depicts the mean directional vector, within the vertical plane, for each measurement height at that time point on that day. The line dividing the semi-circle equates to a completely horizontal vector of zero degrees. The shade of the arrowheads indicate the measurement height, a black head representing 2.08 m, a white head 6.65 m and increments of grey the four heights in between. (JPEG 207 kb)

Suppl. Figure 5
figure 13

Example of plume dispersion of TiCl4 from a 1-cm-long cotton wick (lower left) mounted on a horizontal 2-cm diameter pipe placed in the interior canopy of an almond tree. Photographs were taken on August 4, 2009 at 22:30. The movement of the plume is gradually upward. (JPEG 924 kb)

High resolution image (EPS 108132 kb)

High resolution image (EPS 735 kb)

High resolution image (EPS 1255 kb)

High resolution image (TIFF 478618 kb)

Rights and permissions

Reprints and Permissions

About this article

Cite this article

Girling, R.D., Higbee, B.S. & Cardé, R.T. The Plume Also Rises: Trajectories of Pheromone Plumes Issuing from Point Sources in an Orchard Canopy at Night. J Chem Ecol 39, 1150–1160 (2013). https://doi.org/10.1007/s10886-013-0341-9

Download citation

  • Received:

  • Revised:

  • Accepted:

  • Published:

  • Issue Date:

  • DOI: https://doi.org/10.1007/s10886-013-0341-9

Keywords

  • Amyelois transitella
  • Lepidoptera
  • Pyralidae
  • Mating disruption
  • Orientation
  • Odor plume