Skip to main content

Phenolic Compounds of the Inner Bark of Betula pendula: Seasonal and Genetic Variation and Induction by Wounding

Abstract

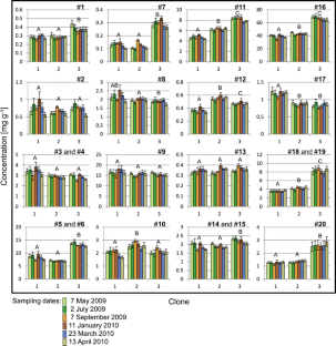
The contents of individual phenolic compounds in the inner bark of silver birch (Betula pendula Roth) were analyzed by HPLC-DAD. Samples from 21 mature trees originating from three micropropagated parent trees were collected six times over a 1-year period. Significant seasonal variation in the quantities of ten compounds and four chromatographically unresolved compound pairs was found. A majority of the compounds also exhibited significant quantitative variation among birch clones. There were no qualitative differences associated with the season or among the clones. However, wounding of the bark induced the production of new types of bark phenolics: several ellagitannins were detected in the callus tissues of birch for the first time.

This is a preview of subscription content, access via your institution.

Fig. 1
Fig. 2
Fig. 3
Fig. 4

References

  • Atkinson, M. D. 1992. Betula pendula Roth (B. verrucosa Ehrh) and B. pubescens Ehrh. J. Ecol. 80:837–870.

    Article  Google Scholar 

  • Barbehenn, R. V., Jones, C. P., Karonen, M., and Salminen, J.-P. 2006a. Tannin composition affects the oxidative activities of tree leaves. J. Chem. Ecol. 32:2235–2251.

    PubMed  Article  CAS  Google Scholar 

  • Barbehenn, R. V., Jones, C. P., Hagerman, A. E., Karonen, M., and Salminen, J.-P. 2006b. Ellagitannins have greater oxidative activities than condensed tannins and galloyl glucoses at high pH: potential impact on caterpillars. J. Chem. Ecol. 32:2253–2267.

    PubMed  Article  CAS  Google Scholar 

  • Brasier, C. M. 1990. China and the origins of Dutch elm disease: an appraisal. Plant Pathol. 39:5–16.

    Article  Google Scholar 

  • Coleman, J. S. and Jones, C. G. 1991. A phytocentric perspective of phytochemical induction by herbivores, pp. 3–45, in D. W. Tallamy and M. J. Raupp (eds.), Phytochemical Induction by Herbivores. Wiley, New York.

    Google Scholar 

  • Evensen, P. C., Solheim, H., Høiland, K., and Stenersen, J. 2000. Induced resistance of Norway spruce, variation of phenolic compounds and their effects on fungal pathogens. Forest Pathol. 30:97–108.

    Article  Google Scholar 

  • Eyles, A., Davies, N. W., Yuan, Z. Q., and Mohammed, C. 2003. Host responses to natural infection by Cytonaema sp. in the aerial bark of Eucalyptus globulus. Forest Pathol. 33:317–331.

    Article  Google Scholar 

  • Eyles, A., Bonello, P., Ganley, R., and Mohammed, C. 2010. Induced resistance to pests and pathogens in trees. New Phytol. 185:893–908.

    PubMed  Article  Google Scholar 

  • Haslam, E. 2007. Vegetable tannins, pp. 984–987, in K. Roberts (ed.), Handbook of Plant Science. Wiley, Chichester.

    Google Scholar 

  • Julkunen-Tiitto, R., Rousi, M., Bryant, J., Sorsa, S., Keinänen, M., and Sikanen, H. 1996. Chemical diversity of several Betulaceae species: comparison of phenolics and terpenoids in northern birch stems. Trees 11:16–22.

    Article  Google Scholar 

  • Karonen, M., Parker, J., Agrawal, A., and Salminen, J.-P. 2010. First evidence of hexameric and heptameric ellagitannins in plants detected by liquid chromatography/electrospray ionisation mass spectrometry. Rapid Commun. Mass Spectrom. 24:3151–3156.

    PubMed  Article  CAS  Google Scholar 

  • Karonen, M., Liimatainen, J., and Sinkkonen, J. 2011. Birch inner bark procyanidins can be resolved with enhanced sensitivity by hydrophilic interaction HPLC-MS. J. Sep. Sci. 34:3158–3165.

    PubMed  Article  CAS  Google Scholar 

  • Laitinen, M.-L., Julkunen-Tiitto, R., and Rousi, M. 2002. Foliar phenolic composition of European white birch during bud unfolding and leaf development. Physiol. Plant. 114:450–460.

    PubMed  Article  CAS  Google Scholar 

  • Laitinen, M.-L., Julkunen-Tiitto, R., Yamaji, K., Heinonen, J., and Rousi, M. 2004. Variation in birch bark secondary chemistry between and within clones: implications for herbivory by hares. Oikos 104:316–326.

    Article  CAS  Google Scholar 

  • Laitinen, M.-L., Julkunen-Tiitto, R., Tahvanainen, J., Heinonen, J., and Rousi, M. 2005a. Variation in birch (Betula pendula) shoot secondary chemistry due to genotype, environment, and ontogeny. J. Chem. Ecol. 31:697–717.

    PubMed  Article  CAS  Google Scholar 

  • Laitinen, J., Julkunen-Tiitto, R., Rousi, M., Heinonen, J., and Tahvanainen, J. 2005b. Ontogeny and environment as determinants of the secondary chemistry of three species of white birch. J. Chem. Ecol. 31:2243–2262.

    PubMed  Article  CAS  Google Scholar 

  • Lieutier, F., Brignolas, F., Sauvard, D., Yart, A., Galet, C., Brunet, M., and van de Sype, H. 2003. Intra- and inter-provenance variability in phloem phenols of Picea abies and relationship to a bark beetle-associated fungus. Tree Physiol. 23:247–256.

    Google Scholar 

  • Liimatainen, J., Sinkkonen, J., Karonen, M., and Pihlaja, K. 2008. Two new phenylbutanoids from inner bark of Betula pendula. Magn. Reson. Chem. 46:195–198.

    PubMed  Article  CAS  Google Scholar 

  • Liimatainen, J., Karonen, M., Sinkkonen, J., Helander, M., and Salminen, J.-P. 2012a. Characterization of phenolic compounds from inner bark of Betula pendula. Holzforschung 66:171–181.

    Article  CAS  Google Scholar 

  • Liimatainen, J., Karonen, M., and Sinkkonen, J. 2012b. Procyanidin xylosides from the bark of Betula pendula. Phytochemistry 76:178–183.

    PubMed  Article  CAS  Google Scholar 

  • Linnakoski, R., de Beer, Z. W., Rousi, M., Niemelä, P., Pappinen, A., and Wingfield, M. J. 2008. Fungi, including Ophiostoma karelicum sp. nov., associated with Scolytus ratzeburgi infesting birch in Finland and Russia. Mycol. Res. 112:1475–1488.

    PubMed  Article  Google Scholar 

  • Linnakoski, R., de Beer, Z. W., Rousi, M., Solheim, H., and Wingfield, M. J. 2009. Ophiostoma denticiliatum sp. nov. and other Ophiostoma species associated with the birch bark beetle in southern Norway. Persoonia 23:9–15.

    PubMed  Article  CAS  Google Scholar 

  • Lundgren, L. N., Pan, H., Theander, O., Eriksson, H., Johansson, U., and Svenningsson, M. 1995. Development of a new chemical method for distinguishing between Betula pendula and Betula pubescens in Sweden. Can. J. For. Res. 25:1097–1102.

    Article  CAS  Google Scholar 

  • Mithöfer, A., Wanner, G., and Boland, W. 2005. Effects of feeding Spodoptera littoralis on lima bean leaves. II. Continuous mechanical wounding resembling insect feeding is sufficient to elicit herbivory-related volatile emission. Plant Physiol. 137:1160–1168.

    PubMed  Article  Google Scholar 

  • Moilanen, J. and Salminen, J.-P. 2008. Ecologically neglected tannins and their biologically relevant activity: chemical structures of plant ellagitannins reveal their in vitro oxidative activity at high pH. Chemoecology 18:73–83.

    Google Scholar 

  • Muilenburg, V. L., Phelan, P. L., Bonello, P., and Herms, D. A. 2011. Inter- and intra-specific variation in stem phloem phenolics of paper birch (Betula papyrifera) and European white birch (Betula pendula). J. Chem. Ecol. 37:1193–1202.

    PubMed  Article  CAS  Google Scholar 

  • Nielsen, D. G., Muilenburg, V. L., and Herms, D. A. 2011. Interspecific variation in resistance of Asian, European, and North American birches (Betula spp.) to bronze birch borer (Coleoptera: Buprestidae). Environ. Entomol. 40:648–653.

    PubMed  Article  Google Scholar 

  • Ockels, F. S., Eyles, A., McPherson, B. A., Wood, D. L., and Bonello, P. 2007. Phenolic chemistry of coast live oak response to Phytophthora ramorum infection. J. Chem. Ecol. 33:1721–1732.

    PubMed  Article  CAS  Google Scholar 

  • Ossipov, V., Salminen, J.-P., Ossipova, S., Haukioja, E., and Pihlaja, K. 2003. Gallic acid and hydrolysable tannins are formed in birch leaves from an intermediate compound of the shikimate pathway. Biochem. System. Ecol. 31:3–16.

    Article  CAS  Google Scholar 

  • Ostrofsky, W. D., Shortle, W., and Blanchard, R. O. 1984. Bark phenolics of American beech (Fagus grandifolia) in relation to the beech bark disease. Eur. J. For. Path. 14:52–59.

    Article  CAS  Google Scholar 

  • Poteri, M., Helander, M., Saikkonen, K., and Elamo, P. 2001. Effect of Betula pendula clone and leaf age on Melampsoridium betulinum rust infection in a field trial. Forest Pathol. 31:177–185.

    Article  Google Scholar 

  • Raulo, J. 1981. Koivukirja. Gummerus, Jyväskylä.

    Google Scholar 

  • Rousi, M., Tahvanainen, J., Henttonen, H., Herms, D. A., and Uotila, I. 1997. Clonal variation in susceptibility of white birches (Betula spp.) to mammalian and insect herbivores. For. Sci. 43:396–402.

    Google Scholar 

  • Saalas, U. 1949. Suomen Metsähyönteiset. WSOY, Helsinki.

    Google Scholar 

  • Salminen, J.-P. 2002. Birch leaf hydrolysable tannins: chemical, biochemical and ecological aspects. Ph.D. dissertation. University of Turku.

  • Salminen, J.-P. and Karonen, M. 2011. Chemical ecology of tannins and other phenolics: we need a change in approach. Funct. Ecol. 25:325–338.

    Article  Google Scholar 

  • Salminen, J.-P., Ossipov, V., Loponen, J., Haukioja, E., and Pihlaja, K. 1999. Characterisation of hydrolysable tannins from leaves of Betula pubescens by high-performance liquid chromatography – mass spectrometry. J. Chromatogr. A 864:283–291.

    Article  CAS  Google Scholar 

  • Salminen, J.-P., Ossipov, V., Haukioja, E., and Pihlaja, K. 2001. Seasonal variation in the content of hydrolysable tannins in leaves of Betula pubescens. Phytochemistry 57:15–22.

    PubMed  Article  CAS  Google Scholar 

  • Salminen, J.-P., Ossipov, V., and Pihlaja, K. 2002. Distribution of hydrolysable tannins in the foliage of Finnish birch species. Z. Naturforsch. 57c:248–256.

    Google Scholar 

  • Salminen, J.-P., Roslin, T., Karonen, M., Sinkkonen, J., Pihlaja, K., and Pulkkinen, P. 2004. Seasonal variation in the content of hydrolyzable tannins, flavonoid glycosides, and proanthocyanidins in oak leaves. J. Chem. Ecol. 30:1693–1711.

    PubMed  Article  CAS  Google Scholar 

  • Šmite, E., Lundgren, L. N., and Andersson, R. 1993. Arylbutanoid and diarylheptanoid glycosides from inner bark of Betula pendula. Phytochemistry 32:365–369.

    Article  Google Scholar 

  • Šmite, E., Pan, H., and Lundgren, L. N. 1995. Lignan glycosides from inner bark of Betula pendula. Phytochemistry 40:341–343.

    Article  Google Scholar 

  • Sunnerheim-Sjöberg, K. and Knutsson, P.-G. 1995. Platyphylloside: metabolism and digestibility reduction in vitro. J. Chem. Ecol. 21:1339–1348.

    Article  Google Scholar 

  • Valkama, E., Salminen, J.-P., Koricheva, J., and Pihlaja, K. 2004. Changes in leaf trichomes and epicuticular flavonoids during leaf development in three birch taxa. Ann. Bot. 94:233–242.

    PubMed  Article  CAS  Google Scholar 

  • Waterman, P. G. and Mole, S. 1994. pp. 44–65, Analysis of Phenolic Plant Metabolites. Blackwell Scientific Publications, Oxford.

    Google Scholar 

  • Ylioja, T., Schulman, E., Rousi, M., and Velling, P. 1995. Susceptibility of white birch (Betula spp.) hybrids to Phytobia fly. Icel. Agric. Sci. 9:125–133.

    Google Scholar 

Download references

Acknowledgments

This work was kindly supported by grants from the Emil Aaltonen Foundation, the Alfred Kordelin Foundation, the Finnish Cultural Foundation, the Niemi Foundation, and the Palomaa-Erikoski Scholarship Fund. Johanna Moilanen, Anu Tuominen, Matti Vihakas, and the anonymous reviewers are acknowledged for helpful comments on the manuscript.

Author information

Affiliations

Authors

Corresponding author

Correspondence to Jaana Liimatainen.

Rights and permissions

Reprints and Permissions

About this article

Cite this article

Liimatainen, J., Karonen, M., Sinkkonen, J. et al. Phenolic Compounds of the Inner Bark of Betula pendula: Seasonal and Genetic Variation and Induction by Wounding. J Chem Ecol 38, 1410–1418 (2012). https://doi.org/10.1007/s10886-012-0199-2

Download citation

  • Received:

  • Revised:

  • Accepted:

  • Published:

  • Issue Date:

  • DOI: https://doi.org/10.1007/s10886-012-0199-2

Keywords

  • Betula pendula
  • HPLC-DAD
  • Inner bark
  • Phenolics
  • Quantification
  • Seasonal variation