Skip to main content

Increased Incidence of Fatigue in Patients with Primary Immunodeficiency Disorders: Prevalence and Associations Within the US Immunodeficiency Network Registry

Abstract

Introduction

Patients with primary immunodeficiency (PID) often report fatigue, yet this symptom has not been studied in PID. Fatigue affects 6–7.5% of healthy adults. The goal of this study is to estimate the prevalence of fatigue in patients with PID and investigate its associated factors.

Methods

We analyzed 2537 PID patients registered in USIDNET to determine responses to the field “fatigue” in the core registry form. Demographics, immune phenotypes, and comorbid conditions were compared between fatigued and non-fatigued patients to identify relevant associations and potential drivers. A focused analysis was performed for patients with predominantly antibody deficiency disorders (PADs).

Results

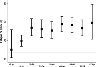
Fatigue was reported in 25.9% (95% CI 23.7–28.3) of PAD patients, compared to 6.4% (95% CI 4.9–8.2) of non-PAD. Patients with common variable immunodeficiency (CVID) had the highest prevalence of fatigue (p < 0.001) among all PID diagnoses. Other factors that were associated with a higher rate of fatigue among PAD patients included female sex, higher BMI, depression, bronchiectasis, and autoimmunity. Additionally, fatigued PAD patients had lower absolute lymphocyte, CD3, CD4, and CD8 counts compared to non-fatigued patients.

Conclusion

Our findings suggest that fatigue is overrepresented in PAD patients. Prospective studies to estimate prevalence, risk factors, and fatigue etiology in PID are warranted, so therapeutic interventions can be considered.

This is a preview of subscription content, access via your institution.

Fig. 1
Fig. 2
Fig. 3
Fig. 4

Abbreviations

PID:

Primary immune deficiency disorder

PAD:

primary antibody deficiency

QoL:

quality of life

USIDnet:

US Immunodeficiency Network

CVID:

common variable immunodeficiency

DGS:

DiGeorge syndrome

MAS:

miscellaneous antibody deficiency

AGAMMA:

agammaglobulinemia

CGD:

chronic granulomatous disease

SCID:

severe combined immunodeficiency disorder

ALPS:

autoimmune lymphoproliferative syndrome

APCED:

autoimmune polyendocrinopathy with candidiasis and ectodermal dystrophy

IPEX:

immune dysregulation, polyendocrinopathy, enteropathy X-linked

HIGM:

hyperIgM syndrome

ALC:

Absolute lymphocyte count

IgG:

immunoglobulin G

IVIG:

intravenous immunoglobulin G

SCIG:

subcutaneous immunoglobulin G

IBD:

inflammatory bowel disease

IDF:

immune deficiency foundation

TNF:

tumor necrosis factor

STAT:

signal transducer and activator of transcription

BMI:

body mass index

CFS:

chronic fatigue syndrome

References

  1. Bonilla FA, et al. Practice parameter for the diagnosis and management of primary immunodeficiency. J Allergy Clin Immunol. 2015;136(5):1186–205. e78

    Article  PubMed  Google Scholar 

  2. Bousfiha A, et al. The 2015 IUIS Phenotypic Classification for Primary Immunodeficiencies. J Clin Immunol. 2015;35(8):727–38.

    Article  PubMed  PubMed Central  Google Scholar 

  3. Bousfiha AA, et al. Primary immunodeficiency diseases worldwide: more common than generally thought. J Clin Immunol. 2013;33(1):1–7.

    Article  PubMed  Google Scholar 

  4. Kobrynski L, Powell RW, Bowen S. Prevalence and morbidity of primary immunodeficiency diseases, United States 2001-2007. J Clin Immunol. 2014;34(8):954–61.

    Article  PubMed  PubMed Central  Google Scholar 

  5. Busse PJ, Razvi S, Cunningham-Rundles C. Efficacy of intravenous immunoglobulin in the prevention of pneumonia in patients with common variable immunodeficiency. J Allergy Clin Immunol. 2002;109(6):1001–4.

    CAS  Article  PubMed  Google Scholar 

  6. Orange JS, et al. Use of intravenous immunoglobulin in human disease: a review of evidence by members of the Primary Immunodeficiency Committee of the American Academy of Allergy, Asthma and Immunology. J Allergy Clin Immunol. 2006;117(4 Suppl):S525–53.

    CAS  Article  PubMed  Google Scholar 

  7. Roifman CM, et al. Benefit of intravenous IgG replacement in hypogammaglobulinemic patients with chronic sinopulmonary disease. Am J Med. 1985;79(2):171–4.

    CAS  Article  PubMed  Google Scholar 

  8. Jiang F, Torgerson TR, Ayars AG. Health-related quality of life in patients with primary immunodeficiency disease. Allergy Asthma Clin Immunol. 2015;11:27.

    Article  PubMed  PubMed Central  Google Scholar 

  9. Efficace F, et al. Chronic fatigue is the most important factor limiting health-related quality of life of chronic myeloid leukemia patients treated with imatinib. Leukemia. 2013;27(7):1511–9.

    CAS  Article  PubMed  Google Scholar 

  10. Efficace F, et al. Prognostic value of self-reported fatigue on overall survival in patients with myelodysplastic syndromes: a multicentre, prospective, observational, cohort study. Lancet Oncol. 2015;16(15):1506–14.

    Article  PubMed  Google Scholar 

  11. Gripp S, et al. Survival prediction in terminally ill cancer patients by clinical estimates, laboratory tests, and self-rated anxiety and depression. J Clin Oncol. 2007;25(22):3313–20.

    Article  PubMed  Google Scholar 

  12. Fink AM, et al. Fatigue, inflammation, and projected mortality in heart failure. J Card Fail. 2012;18(9):711–6.

    CAS  Article  PubMed  PubMed Central  Google Scholar 

  13. Moreh E, Jacobs JM, Stessman J. Fatigue, function, and mortality in older adults. J Gerontol A Biol Sci Med Sci. 2010;65(8):887–95.

    Article  PubMed  Google Scholar 

  14. Stridsman C, et al. Fatigue Affects Health Status and Predicts Mortality Among Subjects with COPD: Report from the Population-Based OLIN COPD Study. COPD. 2015;12(2):199–206.

    Article  PubMed  Google Scholar 

  15. Groenvold M, et al. Psychological distress and fatigue predicted recurrence and survival in primary breast cancer patients. Breast Cancer Res Treat. 2007;105(2):209–19.

    Article  PubMed  Google Scholar 

  16. USIDnet. from USIDNET.org. Available at: http://www.usidnet.org/.

  17. Walker EA, Katon WJ, Jemelka RP. Psychiatric disorders and medical care utilization among people in the general population who report fatigue. J Gen Intern Med. 1993;8(8):436–40.

    CAS  Article  PubMed  Google Scholar 

  18. Afari N, Buchwald D. Chronic fatigue syndrome: a review. Am J Psychiatry. 2003;160(2):221–36.

    Article  PubMed  Google Scholar 

  19. Health, N.I.o.M. Major Depression Among Adults. 2010. Available from: http://www.nimh.nih.gov/health/statistics/prevalence/majordepression-among-adults.shtml.

  20. Lawrie SM, et al. A population-based incidence study of chronic fatigue. Psychol Med. 1997;27(2):343–53.

    CAS  Article  PubMed  Google Scholar 

  21. Huang IC, et al. The relationships between fatigue, quality of life, and family impact among children with special health care needs. J Pediatr Psychol. 2013;38(7):722–31.

    Article  PubMed  PubMed Central  Google Scholar 

  22. Rhee H. Relationships between physical symptoms and pubertal development. J Pediatr Health Care. 2005;19(2):95–103.

    PubMed  Google Scholar 

  23. Rhee H, et al. Prevalence of recurrent physical symptoms in U.S. adolescents. Pediatr Nurs. 2005;31(4):314–9. 350

    PubMed  Google Scholar 

  24. Varni JW, et al. The PedsQL in pediatric cancer: reliability and validity of the Pediatric Quality of Life Inventory Generic Core Scales, Multidimensional Fatigue Scale, and Cancer Module. Cancer. 2002a;94(7):2090–106.

    Article  PubMed  Google Scholar 

  25. Varni JW, Burwinkle TM, Szer IS. The PedsQL Multidimensional Fatigue Scale in pediatric rheumatology: reliability and validity. J Rheumatol. 2004;31(12):2494–500.

    PubMed  Google Scholar 

  26. Varni JW, et al. The PedsQL in pediatric rheumatology: reliability, validity, and responsiveness of the Pediatric Quality of Life Inventory Generic Core Scales and Rheumatology Module. Arthritis Rheum. 2002b;46(3):714–25.

    Article  PubMed  Google Scholar 

  27. Kanani A, Schellenberg R, Stark D. A pilot study of quality of life, mood, sleepiness and fatigue in patients with primary immunodeficiency receiving IVIG. Journal of Allergy and Clinical Immunology. 2007;119(1):S251.

    Article  Google Scholar 

  28. Misbah S, et al. Subcutaneous immunoglobulin: opportunities and outlook. Clin Exp Immunol. 2009;158(Suppl 1):51–9.

    CAS  Article  PubMed  PubMed Central  Google Scholar 

  29. Berger M. Subcutaneous administration of IgG. Immunol Allergy Clin North Am. 2008;28(4):779–802. viii

    Article  PubMed  Google Scholar 

  30. Foundation, I.D. Treatment Experiences and Preferences of Patients with Primary Immune Deficiency Diseases: First National Survey. 2003. Available from: https://primaryimmune.org/wp-content/uploads/2011/04/Treatment-Experiences-and-Preferences-of-Patients-with-Primary-Immune-Deficiency-Disease-First-National-Survey-2002.pdf. Cited 23 March 2015

  31. Kerr J, et al. Is dosing of therapeutic immunoglobulins optimal? A review of a three-decade long debate in europe. Front Immunol. 2014;5:629.

    Article  PubMed  PubMed Central  Google Scholar 

  32. Abolhassani H, et al. Home-based subcutaneous immunoglobulin versus hospital-based intravenous immunoglobulin in treatment of primary antibody deficiencies: systematic review and meta analysis. J Clin Immunol. 2012;32(6):1180–92.

    CAS  Article  PubMed  Google Scholar 

  33. Rojavin MA, Hubsch A, Lawo JP. Quantitative Evidence of Wear-Off Effect at the End of the Intravenous IgG (IVIG) Dosing Cycle in Primary Immunodeficiency. J Clin Immunol. 2016;36(3):210–9.

    CAS  Article  PubMed  PubMed Central  Google Scholar 

  34. Quality., C.f.B.H.S.a. Behavioral health trends in the United States: Results from the 2014 National Survey on Drug Use and Health. (HHS Publication No. SMA 15-4927, NSDUH Series H-50). 2015.

  35. Leone SS. A disabling combination: fatigue and depression. Br J Psychiatry. 2010;197(2):86–7.

    Article  PubMed  Google Scholar 

  36. Parker AJ, Wessely S, Cleare AJ. The neuroendocrinology of chronic fatigue syndrome and fibromyalgia. Psychol Med. 2001;31(8):1331–45.

    CAS  Article  PubMed  Google Scholar 

  37. Hickie I, Kirk K, Martin N. Unique genetic and environmental determinants of prolonged fatigue: a twin study. Psychol Med. 1999;29(2):259–68.

    CAS  Article  PubMed  Google Scholar 

  38. Harvey SB, et al. The relationship between fatigue and psychiatric disorders: evidence for the concept of neurasthenia. J Psychosom Res. 2009;66(5):445–54.

    Article  PubMed  PubMed Central  Google Scholar 

  39. Yeh EA. Fatigue in childhood multiple sclerosis. Dev Med Child Neurol. 2016;58(3):218.

    Article  PubMed  Google Scholar 

  40. Mahieu MA, et al. Fatigue, patient reported outcomes, and objective measurement of physical activity in systemic lupus erythematosus. Lupus. 2016.

  41. Jones EA. Fatigue complicating chronic liver disease. Metab Brain Dis. 2004;19(3-4):421–9.

    CAS  Article  PubMed  Google Scholar 

  42. Minnock P, et al. Perceptions of the Cause, Impact and Management of Persistent Fatigue in Patients with Rheumatoid Arthritis Following Tumour Necrosing Factor Inhibition Therapy. Musculoskeletal Care. 2016.

  43. Barroso J, et al. Fatigue in HIV-Infected People: A Three-Year Observational Study. J Pain Symptom Manage. 2015;50(1):69–79.

    Article  PubMed  PubMed Central  Google Scholar 

  44. Swain MG. Fatigue in chronic disease. Clin Sci (Lond). 2000;99(1):1–8.

    CAS  Article  Google Scholar 

  45. van't Leven M, et al. Fatigue and chronic fatigue syndrome-like complaints in the general population. Eur J Public Health. 2010;20(3):251–7.

    Article  PubMed  Google Scholar 

  46. NIH. Unexplained Fatigue in Elderly. 2007.

  47. Furberg H, et al. The prevalence of self-reported chronic fatigue in a U.S. twin registry. J Psychosom Res. 2005;59(5):283–90.

    Article  PubMed  PubMed Central  Google Scholar 

  48. Dinos S, et al. A systematic review of chronic fatigue, its syndromes and ethnicity: prevalence, severity, co-morbidity and coping. Int J Epidemiol. 2009;38(6):1554–70.

    Article  PubMed  Google Scholar 

  49. Jason LA, et al. A community-based study of chronic fatigue syndrome. Arch Intern Med. 1999;159(18):2129–37.

    CAS  Article  PubMed  Google Scholar 

  50. Song S, Jason LA, Taylor RR. The Relationship Between Ethnicity and Fatigue in a Community-Based Sample. Journal of Gender, Culture and Health. 1999;4(4):255–68.

    Article  Google Scholar 

  51. Vgontzas AN, Bixler EO, Chrousos GP. Obesity-related sleepiness and fatigue: the role of the stress system and cytokines. Ann N Y Acad Sci. 2006;1083:329–44.

    CAS  Article  PubMed  Google Scholar 

  52. Flores S, et al. Examining the impact of obesity on individuals with chronic fatigue syndrome. Workplace Health Saf. 2013;61(7):299–307.

    Article  PubMed  PubMed Central  Google Scholar 

  53. Das UN. Is obesity an inflammatory condition? Nutrition. 2001;17(11-12):953–66.

    CAS  Article  PubMed  Google Scholar 

  54. Vgontzas AN, et al. Elevation of plasma cytokines in disorders of excessive daytime sleepiness: role of sleep disturbance and obesity. J Clin Endocrinol Metab. 1997;82(5):1313–6.

    CAS  Article  PubMed  Google Scholar 

  55. Lim W, et al. The association of obesity, cytokine levels, and depressive symptoms with diverse measures of fatigue in healthy subjects. Arch Intern Med. 2005;165(8):910–5.

    Article  PubMed  Google Scholar 

  56. Fukuda K, et al. The chronic fatigue syndrome: a comprehensive approach to its definition and study. International Chronic Fatigue Syndrome Study Group. Ann Intern Med. 1994;121(12):953–9.

    CAS  Article  PubMed  Google Scholar 

  57. Echteld MA, et al. Multidimensional fatigue and its correlates in hospitalised advanced cancer patients. Eur J Cancer. 2007;43(6):1030–6.

    Article  PubMed  Google Scholar 

  58. Stauder MC, et al. Overall survival and self-reported fatigue in patients with esophageal cancer. Support Care Cancer. 2013;21(2):511–9.

    CAS  Article  PubMed  Google Scholar 

  59. McCabe RM, et al. Fatigue as a Driver of Overall Quality of Life in Cancer Patients. PLoS One. 2015;10(6):e0130023.

    Article  PubMed  PubMed Central  Google Scholar 

  60. Flensner G, et al. Fatigue in relation to perceived health: people with multiple sclerosis compared with people in the general population. Scand J Caring Sci. 2008;22(3):391–400.

    Article  PubMed  Google Scholar 

  61. Seeborg FO, et al. Perceived Health in Patients with Primary Immune Deficiency. J Clin Immunol. 2015;35(7):638–50.

    Article  PubMed  PubMed Central  Google Scholar 

  62. Covinsky KE, et al. Health status versus quality of life in older patients: does the distinction matter? Am J Med. 1999;106(4):435–40.

    CAS  Article  PubMed  Google Scholar 

  63. Efficace F, et al. Patient- versus physician-reporting of symptoms and health status in chronic myeloid leukemia. Haematologica. 2014;99(4):788–93.

    Article  PubMed  PubMed Central  Google Scholar 

  64. Skeath P, et al. The nature of life-transforming changes among cancer survivors. Qual Health Res. 2013;23(9):1155–67.

    Article  PubMed  Google Scholar 

  65. Masten AS, Coatsworth JD. The development of competence in favorable and unfavorable environments. Lessons from research on successful children. Am Psychol. 1998;53(2):205–20.

    CAS  Article  PubMed  Google Scholar 

  66. Watkins ER. Constructive and unconstructive repetitive thought. Psychol Bull. 2008;134(2):163–206.

    Article  PubMed  PubMed Central  Google Scholar 

Download references

Acknowledgments

We grateful acknowledge Ms. Marla Goldsmith USIDNET Registry Manager and Tara Caulder Project Director for their expertise, dedication and support through every step of this project.

Author information

Affiliations

Authors

Corresponding author

Correspondence to Joud Hajjar.

Ethics declarations

Conflict of Interest

The authors declare that they have no conflict of interest.

Rights and permissions

Reprints and Permissions

About this article

Verify currency and authenticity via CrossMark

Cite this article

Hajjar, J., Guffey, D., Minard, C.G. et al. Increased Incidence of Fatigue in Patients with Primary Immunodeficiency Disorders: Prevalence and Associations Within the US Immunodeficiency Network Registry. J Clin Immunol 37, 153–165 (2017). https://doi.org/10.1007/s10875-016-0367-1

Download citation

  • Received:

  • Accepted:

  • Published:

  • Issue Date:

  • DOI: https://doi.org/10.1007/s10875-016-0367-1

Keywords

  • Fatigue
  • Primary immune deficiency disorder
  • USIDnet